Скачать Сборник 15. Реставрация и воссоздание паркетных полов. Отраслевые элементные сметные нормы на ремонтно-реставрационные работы по памятникам истории и культуры

Дата актуализации: 01.01.2021

Сборник 15. Реставрация и воссоздание паркетных полов. Отраслевые элементные сметные нормы на ремонтно-реставрационные работы по памятникам истории и культуры

Статус:действует
Название рус.:Сборник 15. Реставрация и воссоздание паркетных полов. Отраслевые элементные сметные нормы на ремонтно-реставрационные работы по памятникам истории и культуры
Дата добавления в базу:01.01.2018
Дата актуализации:01.01.2021
Дата введения:31.07.2017
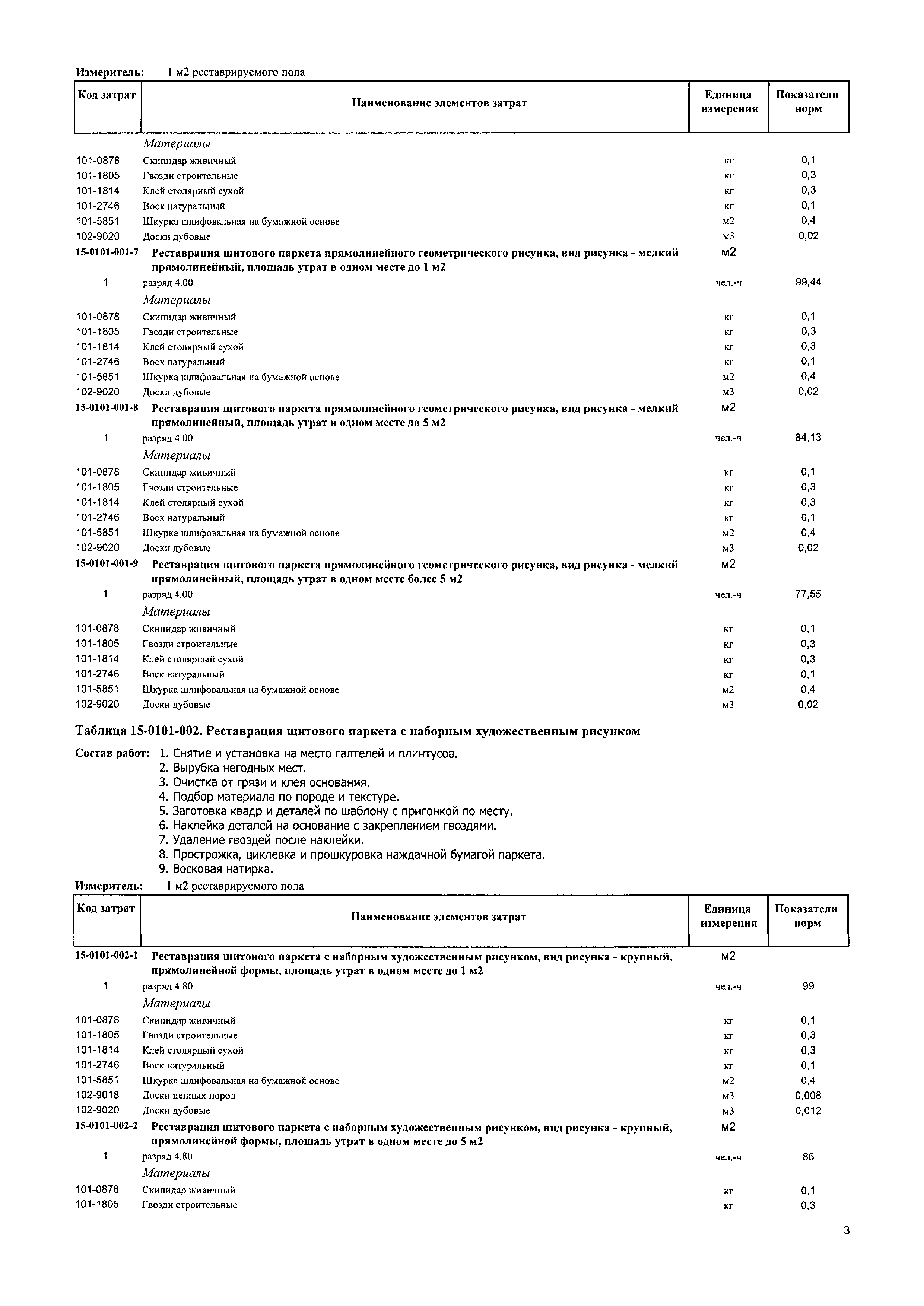
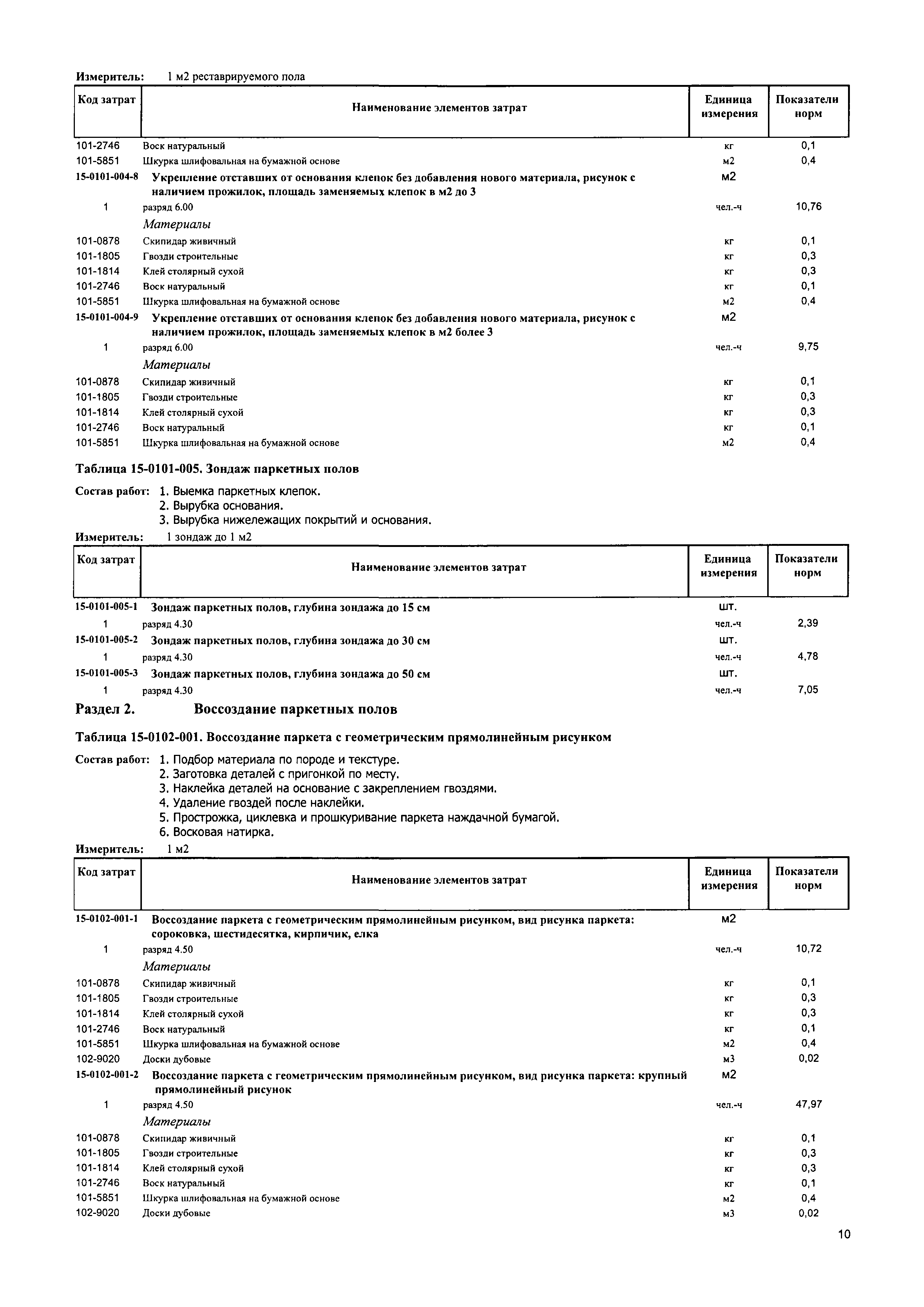
Область применения:Нормами сборника предусмотрена работа по реставрации и воссозданию находящихся в объектах культурного наследия паркетных полов
Утверждён:31.07.2017 Министерство строительства и жилищно-коммунального хозяйства Российской Федерации (1074/пр)
Издан: С сайта: (2017 г. )
Нормативные ссылки: