Скачать Сборник 18. Реставрация и воссоздание инкрустированной поверхности. Отраслевые элементные сметные нормы на ремонтно-реставрационные работы по памятникам истории и культурыДата актуализации: 01.01.2021
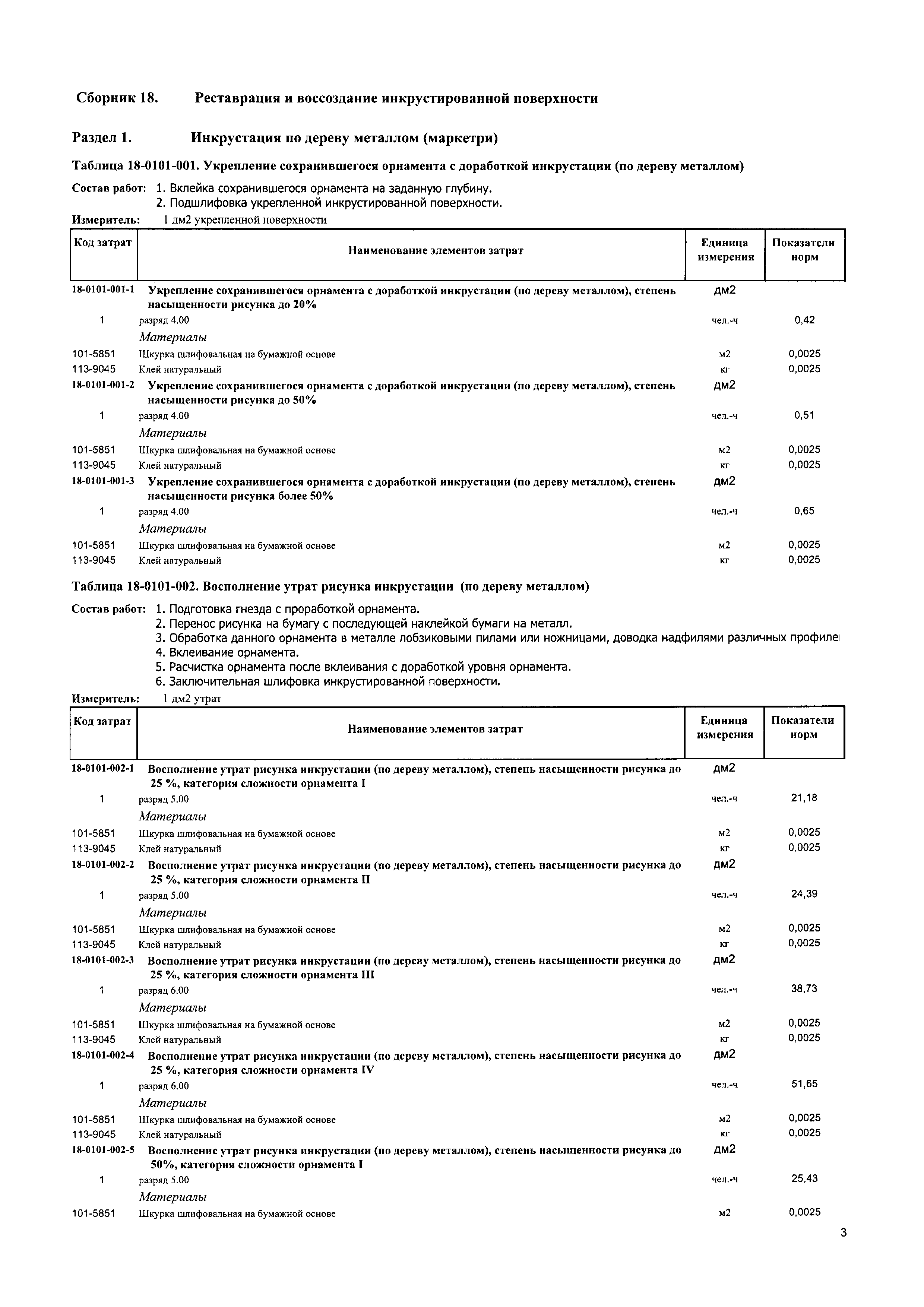
Сборник 18. Реставрация и воссоздание инкрустированной поверхности. Отраслевые элементные сметные нормы на ремонтно-реставрационные работы по памятникам истории и культуры| Статус: | действует | | Название рус.: | Сборник 18. Реставрация и воссоздание инкрустированной поверхности. Отраслевые элементные сметные нормы на ремонтно-реставрационные работы по памятникам истории и культуры | | Дата добавления в базу: | 01.01.2018 | | Дата актуализации: | 01.01.2021 | | Дата введения: | 31.07.2017 | | Область применения: | Сборником предусмотрены работы по реставрации деревянных инкрустированных поверхностей шпоном, медью, бронзой, черепахой | | Утверждён: | 31.07.2017 Министерство строительства и жилищно-коммунального хозяйства Российской Федерации (1094/пр)
| | Издан: | С сайта: (2017 г. )
| | Нормативные ссылки: | |
     
|