Скачать Сборник 25. Реставрация и воссоздание предметов декоративно-прикладного искусства из цветных металлов и хрустальных подвесок. Отраслевые элементные сметные нормы на ремонтно-реставрационные работы по памятникам истории и культуры

Дата актуализации: 01.01.2021

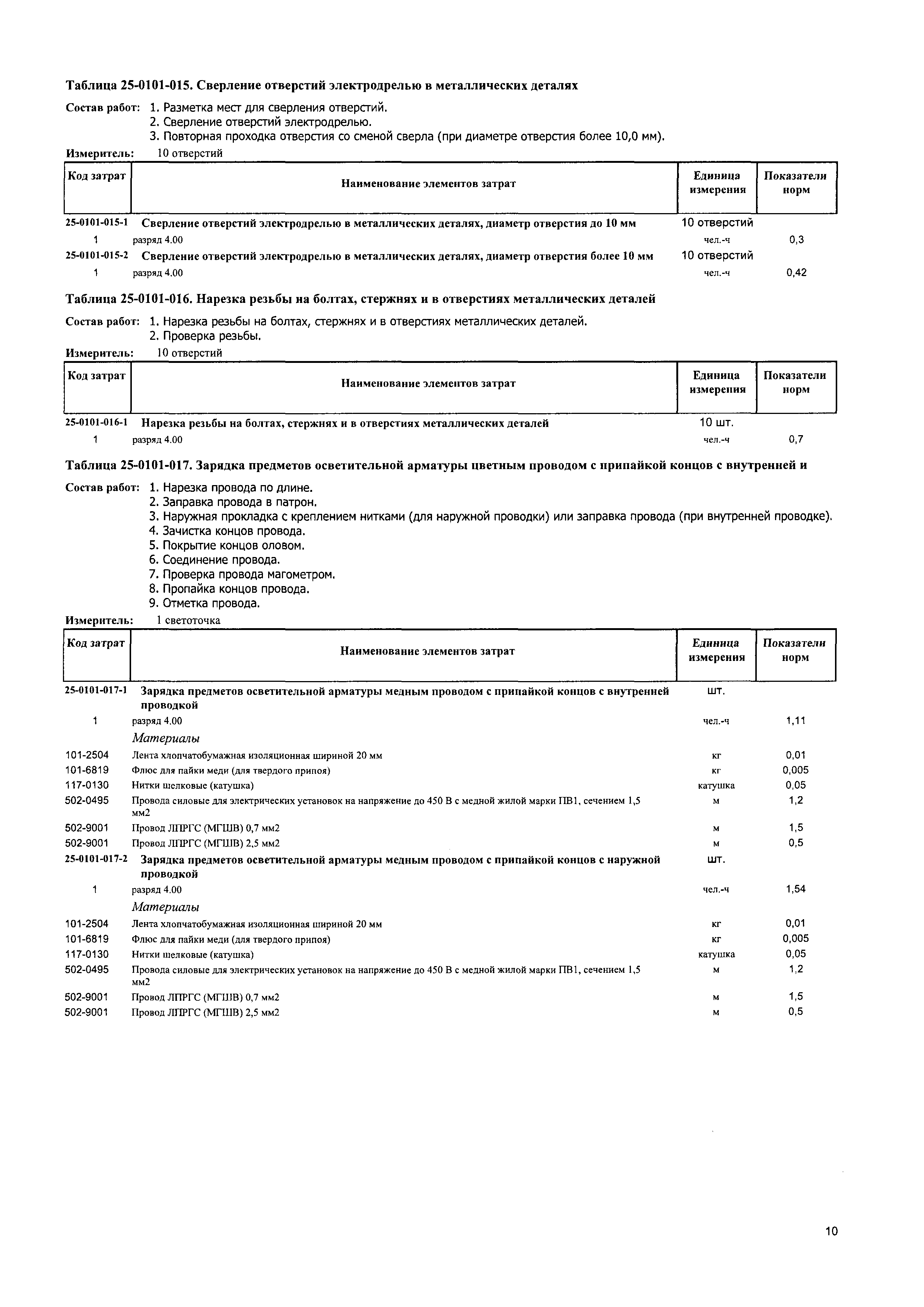
Сборник 25. Реставрация и воссоздание предметов декоративно-прикладного искусства из цветных металлов и хрустальных подвесок. Отраслевые элементные сметные нормы на ремонтно-реставрационные работы по памятникам истории и культуры

Статус:действует
Название рус.:Сборник 25. Реставрация и воссоздание предметов декоративно-прикладного искусства из цветных металлов и хрустальных подвесок. Отраслевые элементные сметные нормы на ремонтно-реставрационные работы по памятникам истории и культуры
Дата добавления в базу:01.01.2018
Дата актуализации:01.01.2021
Дата введения:31.07.2017
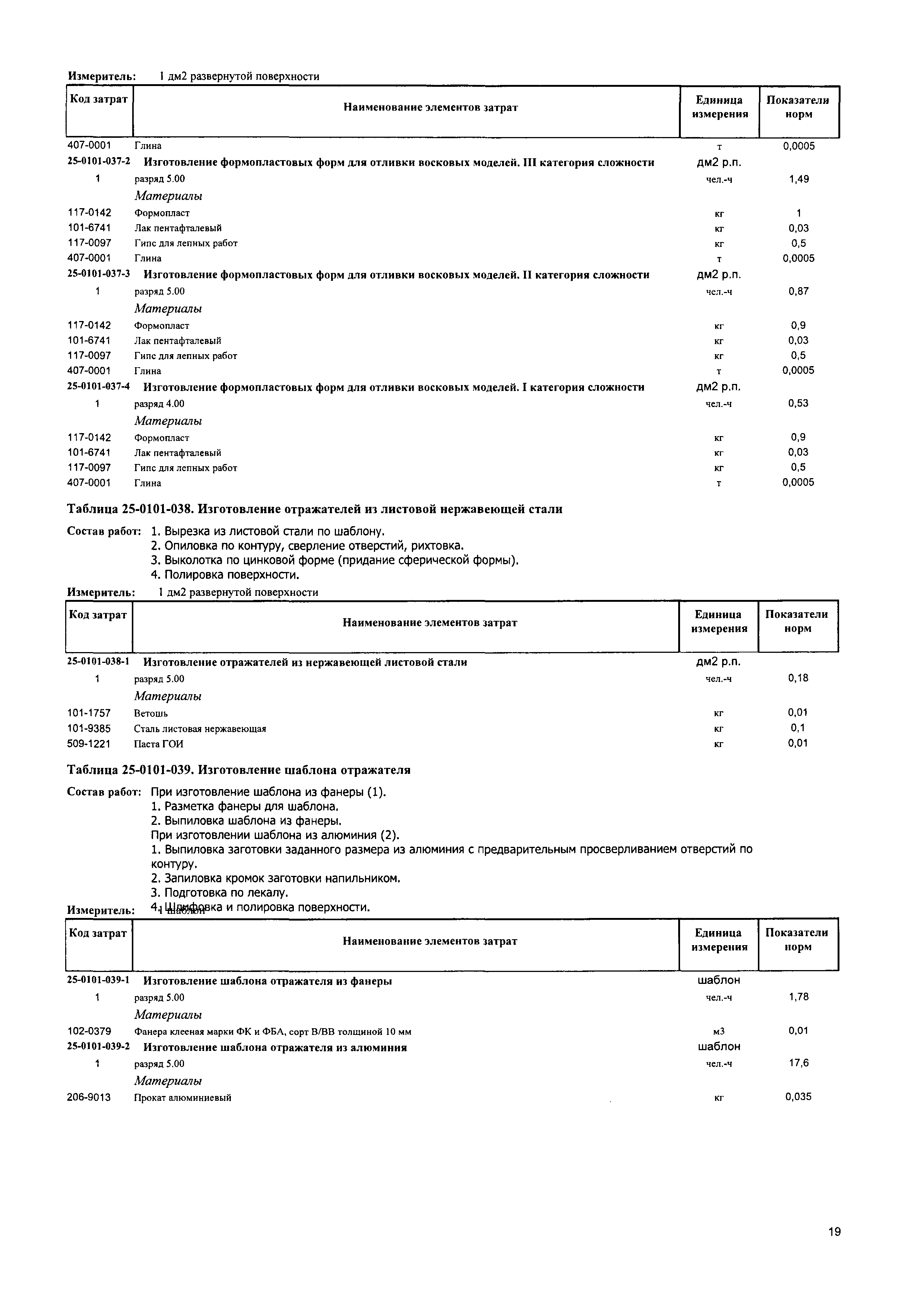
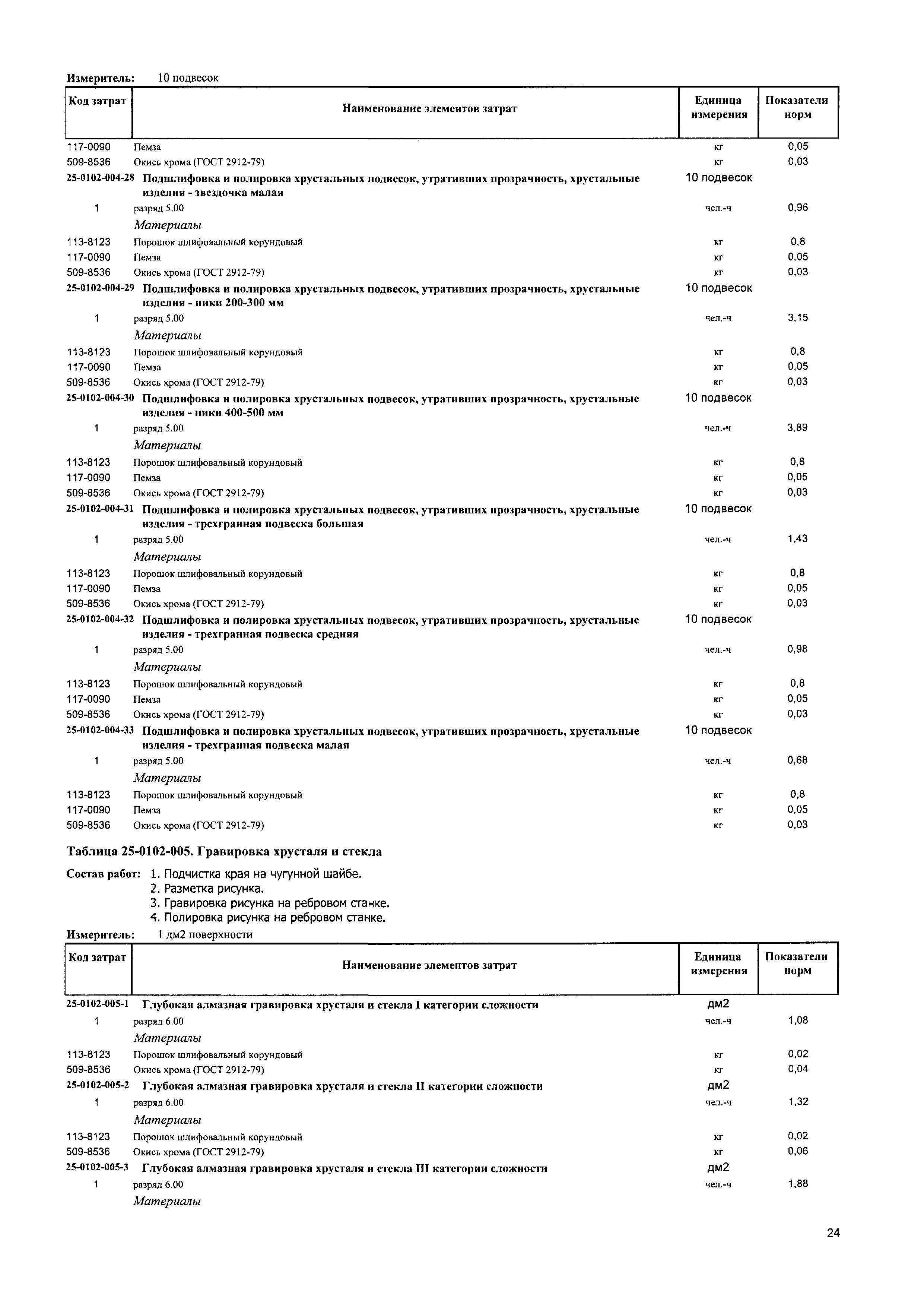
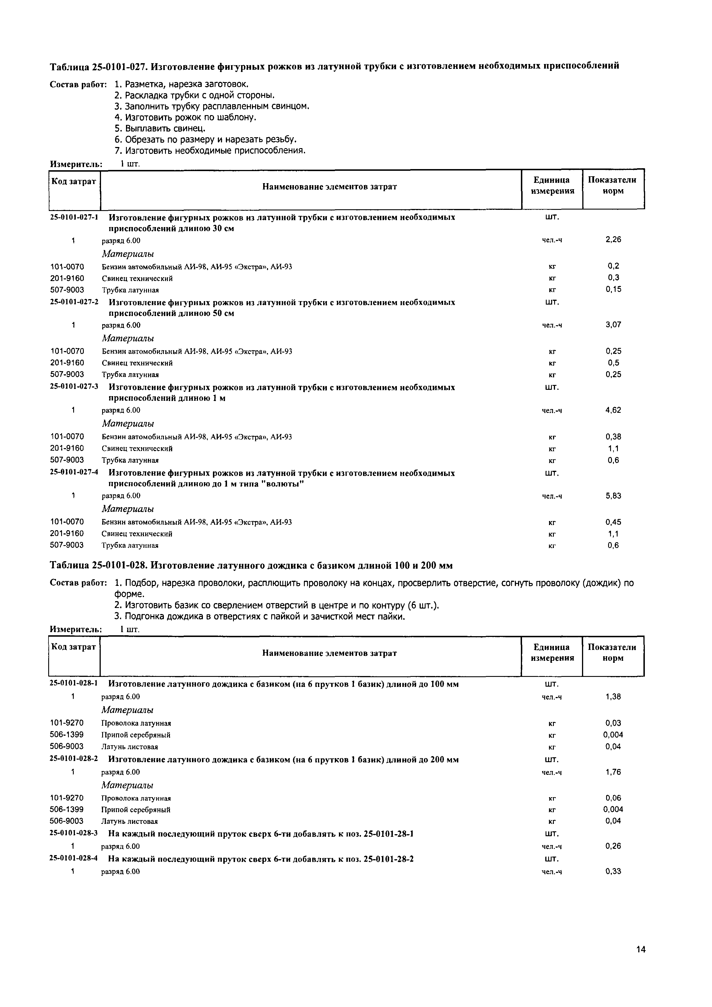
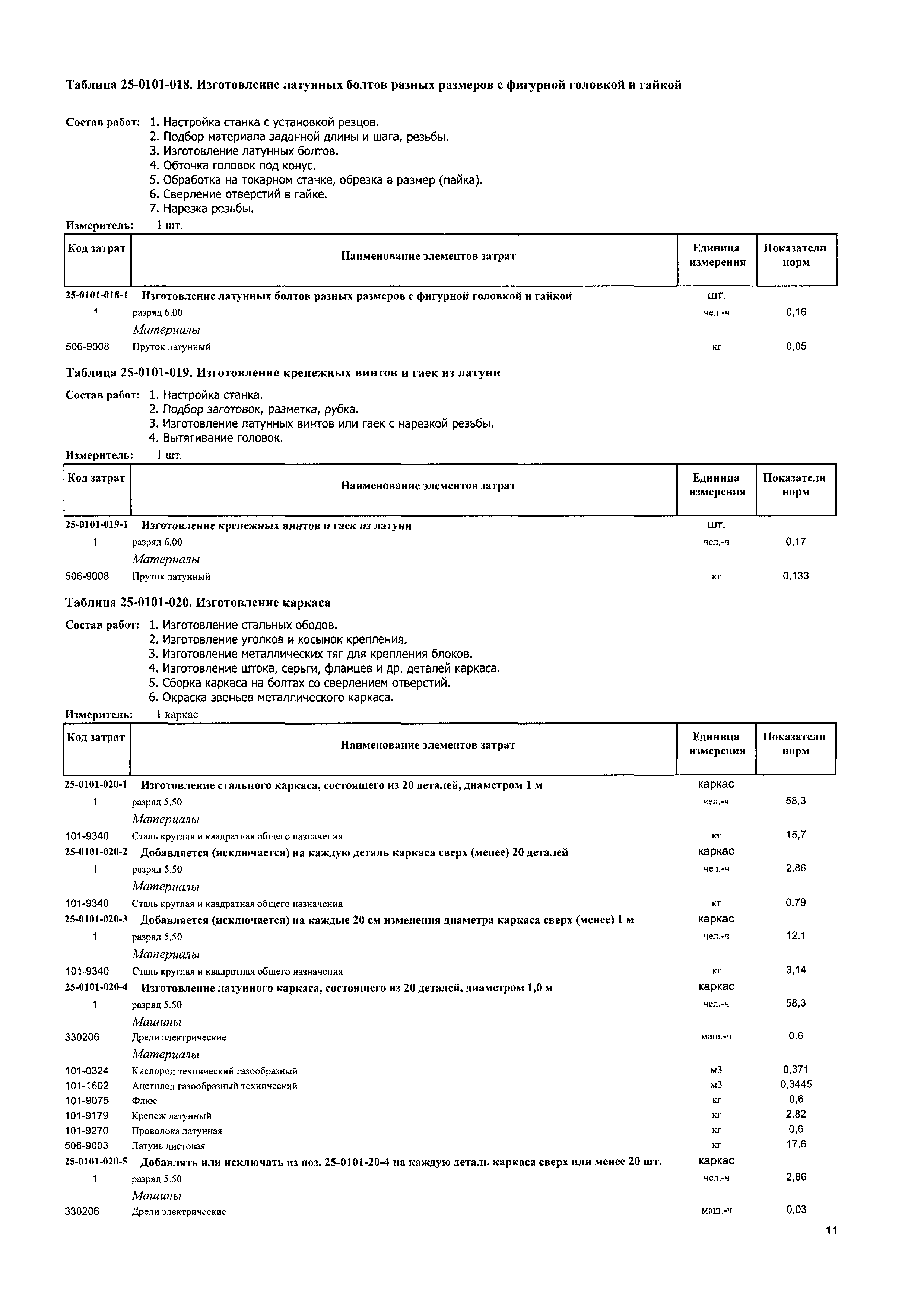
Область применения:Нормами сборника предусмотрены реставрация и воссоздание предметов декоративно-прикладного искусства (люстр, бра, торшеров, канделябров, плафонов, фонарей, жирандолей, светильников, стенников, настольных ламп, накладных деталей мебели, каминов, деревянных облицовок, каминных и настольных часов, музейных экспонатов, деталей художественных оград, лестничных и балконных ограждений, дверных и оконных заполнений и т.п.) из цветных металлов, а также реставрация и воссоздание хрустальных подвесок
Утверждён:31.07.2017 Министерство строительства и жилищно-коммунального хозяйства Российской Федерации (1050/пр)
Издан: С сайта: (2017 г. )
Нормативные ссылки: