Скачать Сборник 27. Реставрация монументальной и станковой живописи. Отраслевые элементные сметные нормы на ремонтно-реставрационные работы по памятникам истории и культуры

Дата актуализации: 01.01.2021

Сборник 27. Реставрация монументальной и станковой живописи. Отраслевые элементные сметные нормы на ремонтно-реставрационные работы по памятникам истории и культуры

Статус:действует
Название рус.:Сборник 27. Реставрация монументальной и станковой живописи. Отраслевые элементные сметные нормы на ремонтно-реставрационные работы по памятникам истории и культуры
Дата добавления в базу:01.01.2018
Дата актуализации:01.01.2021
Дата введения:31.07.2017
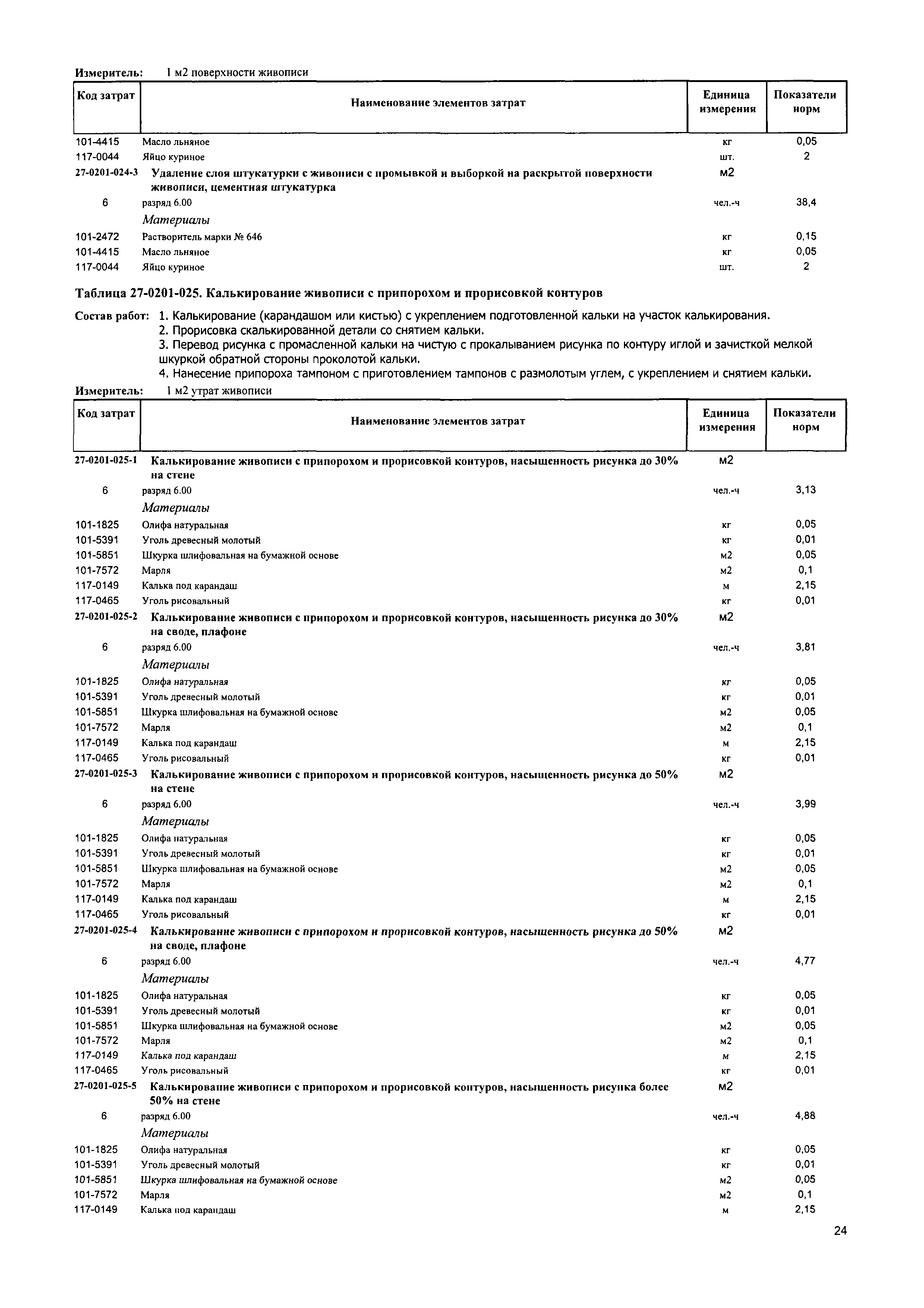
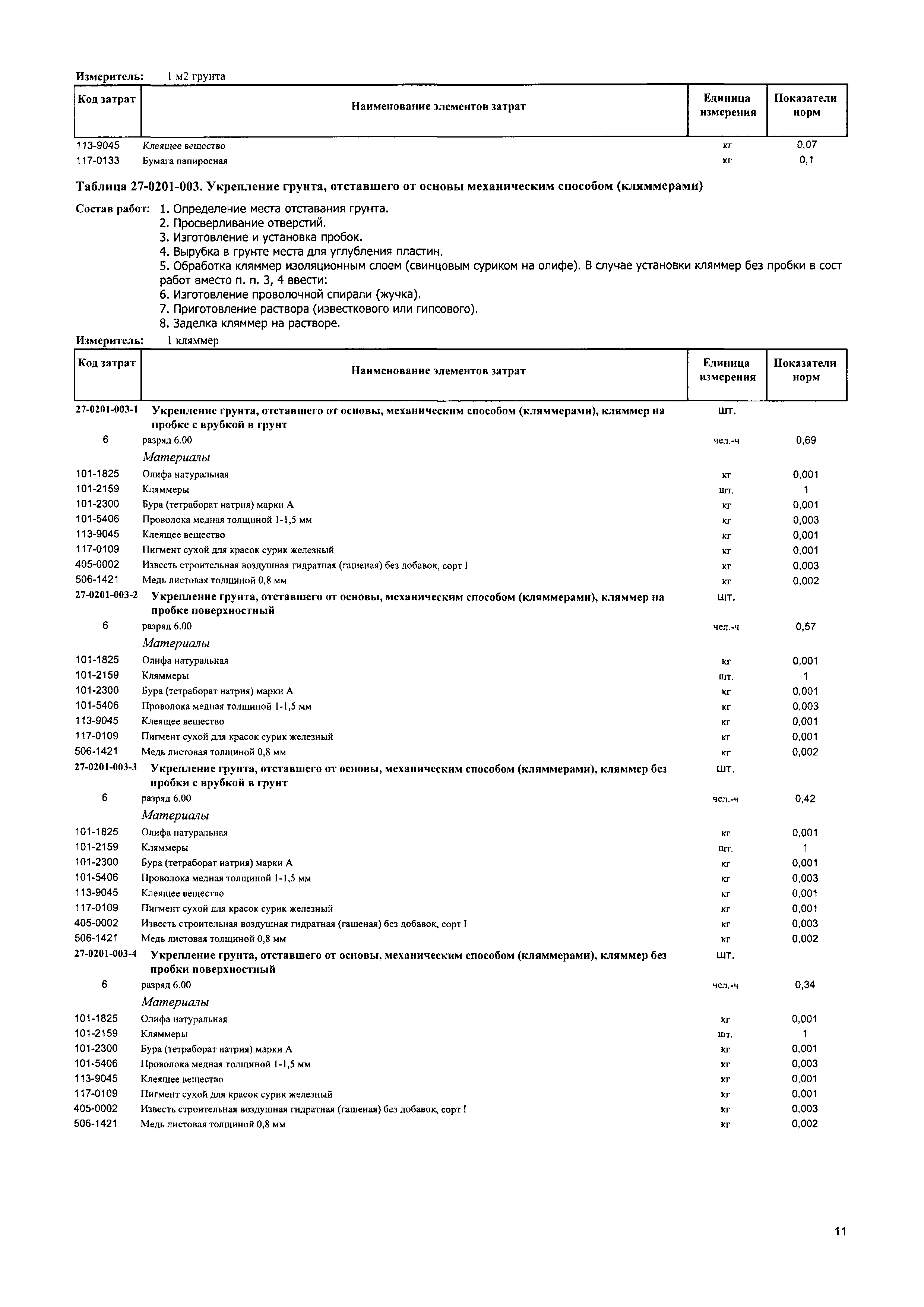
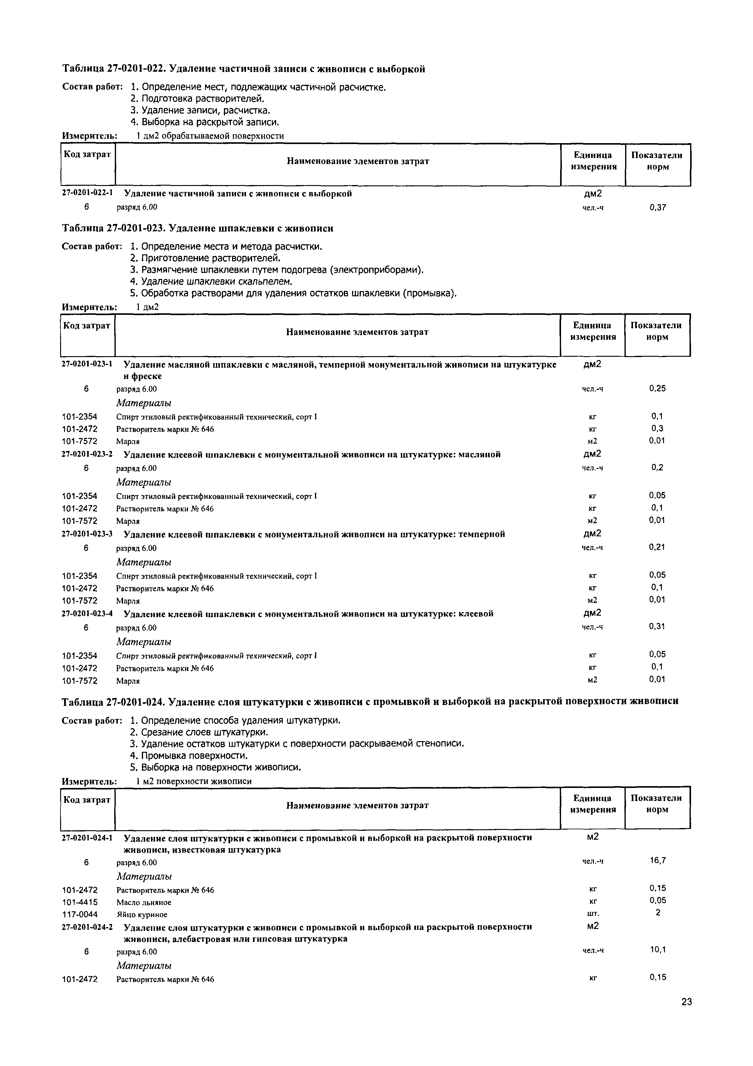
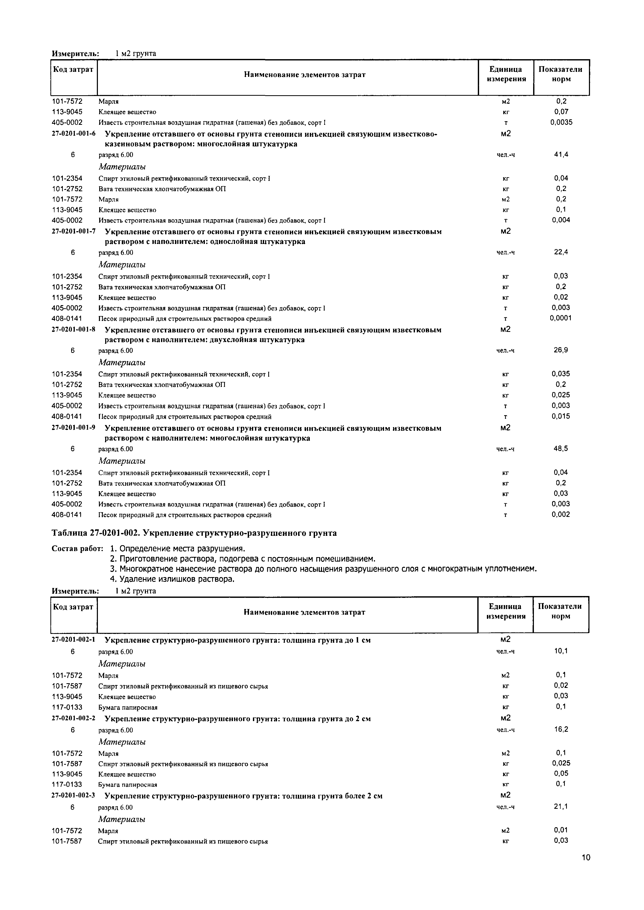
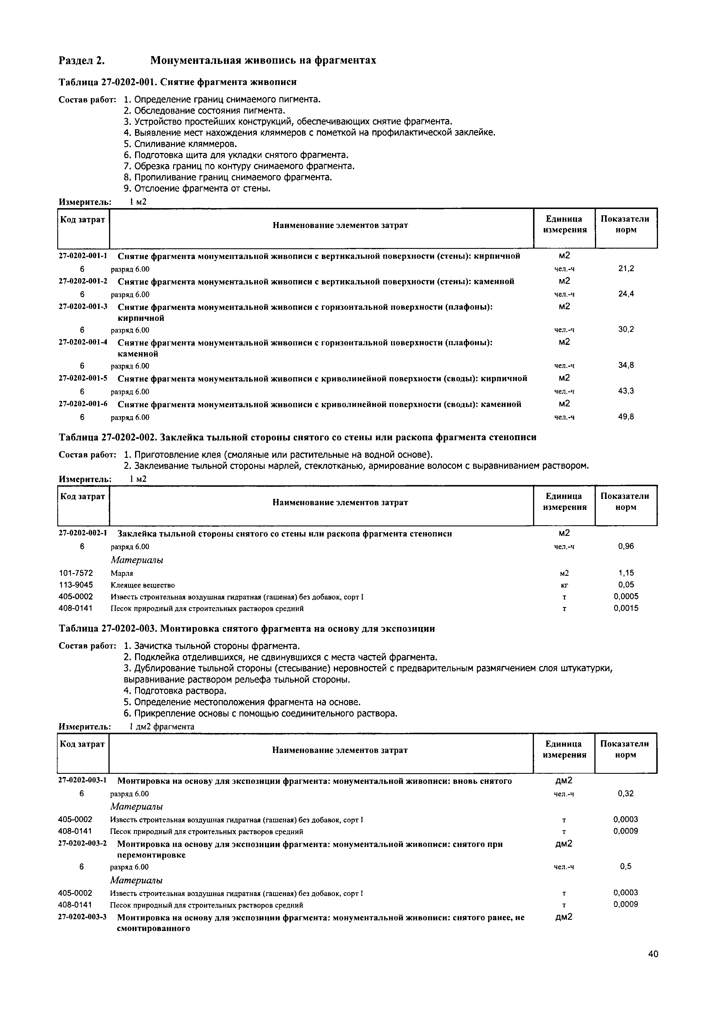
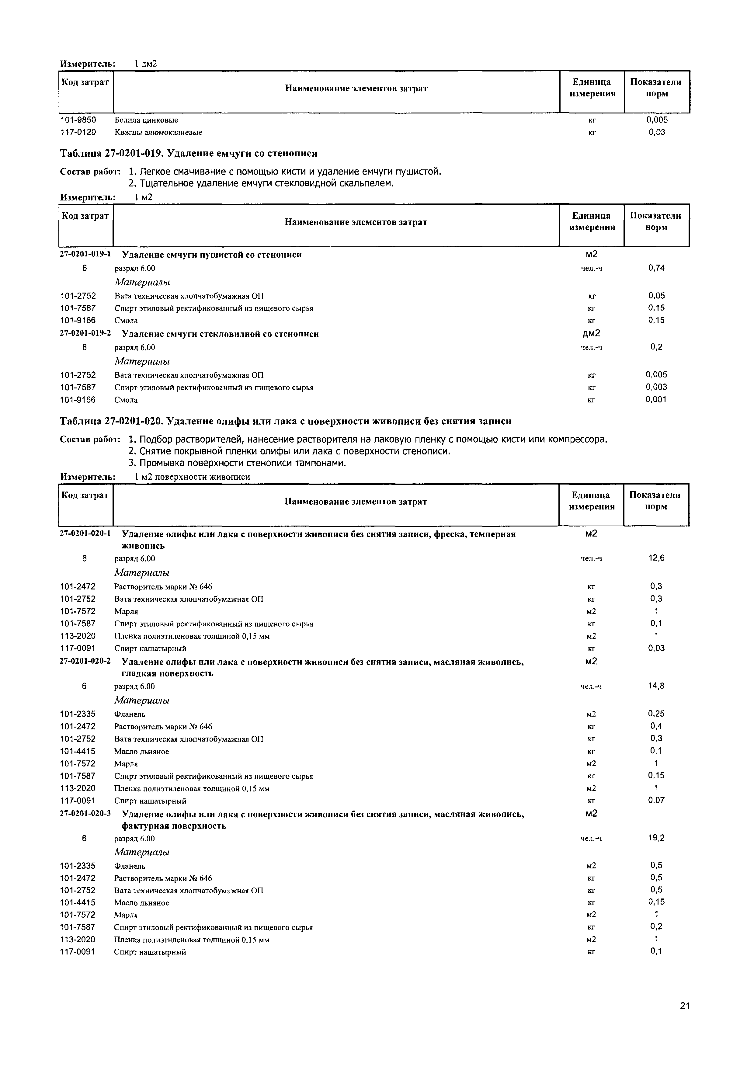
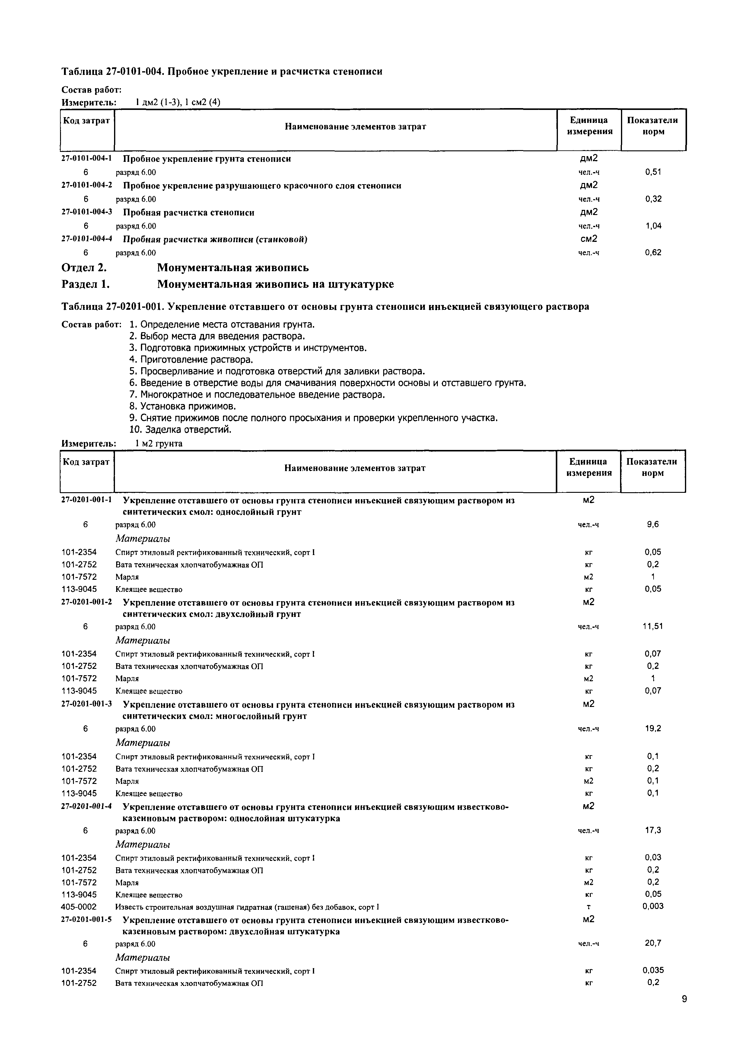
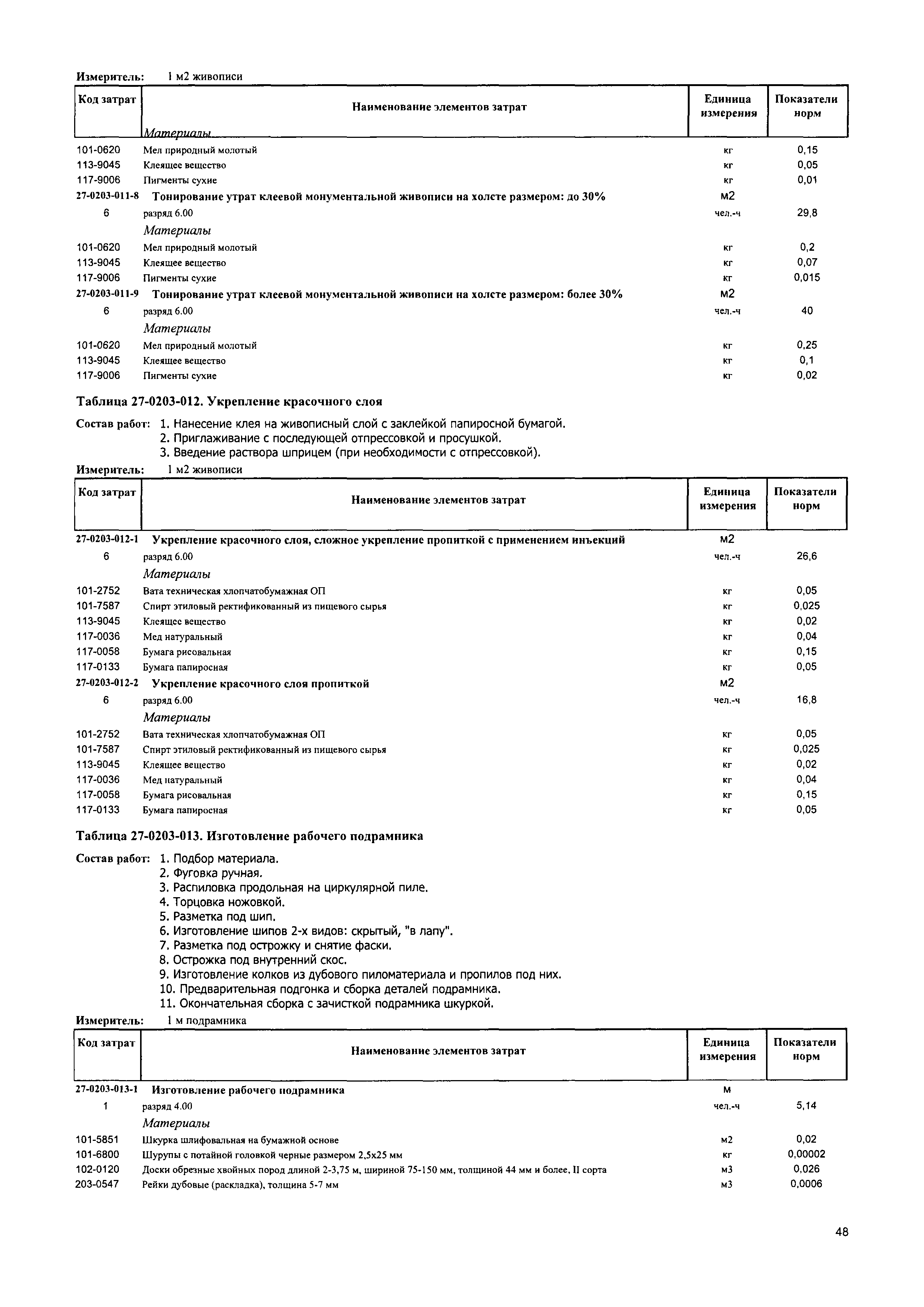
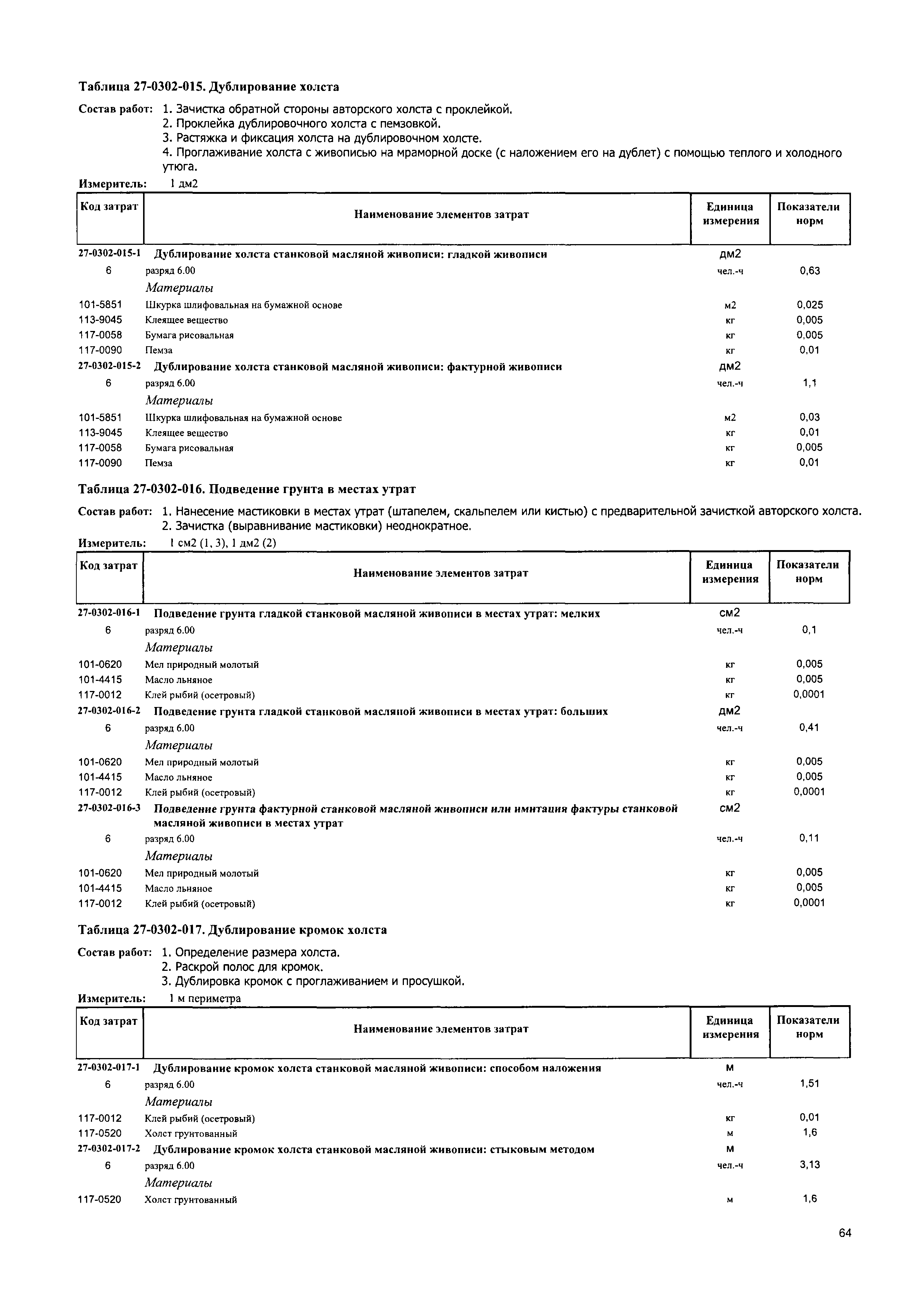
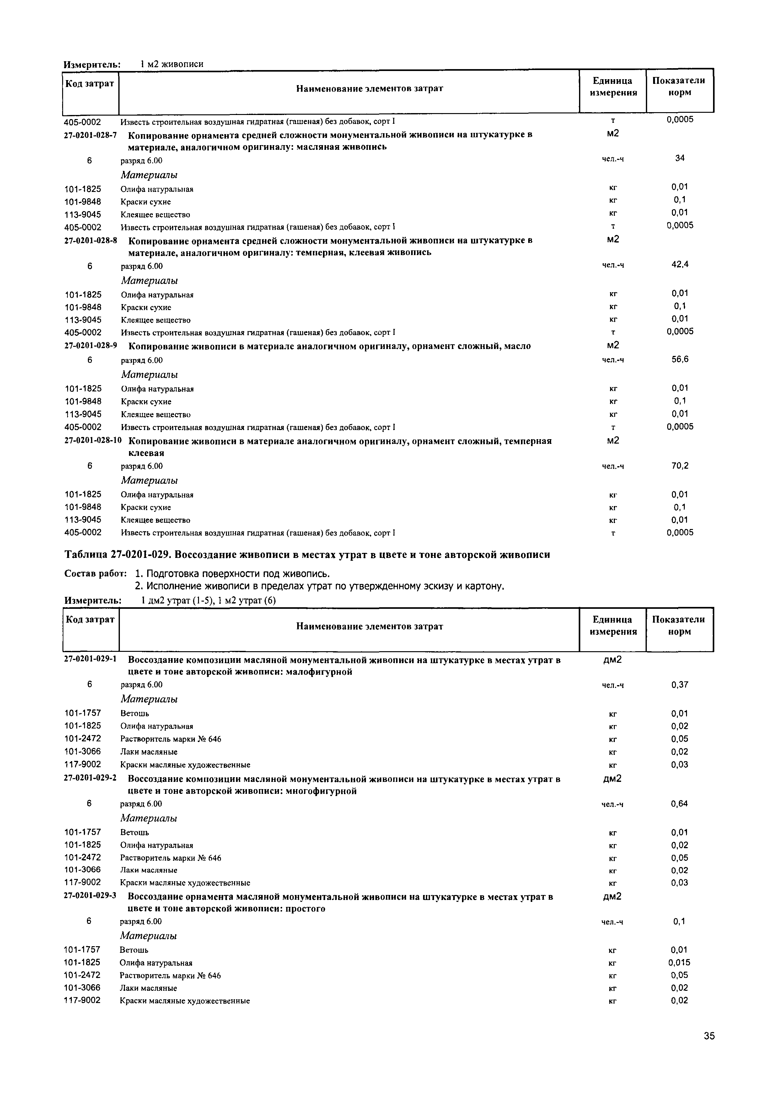
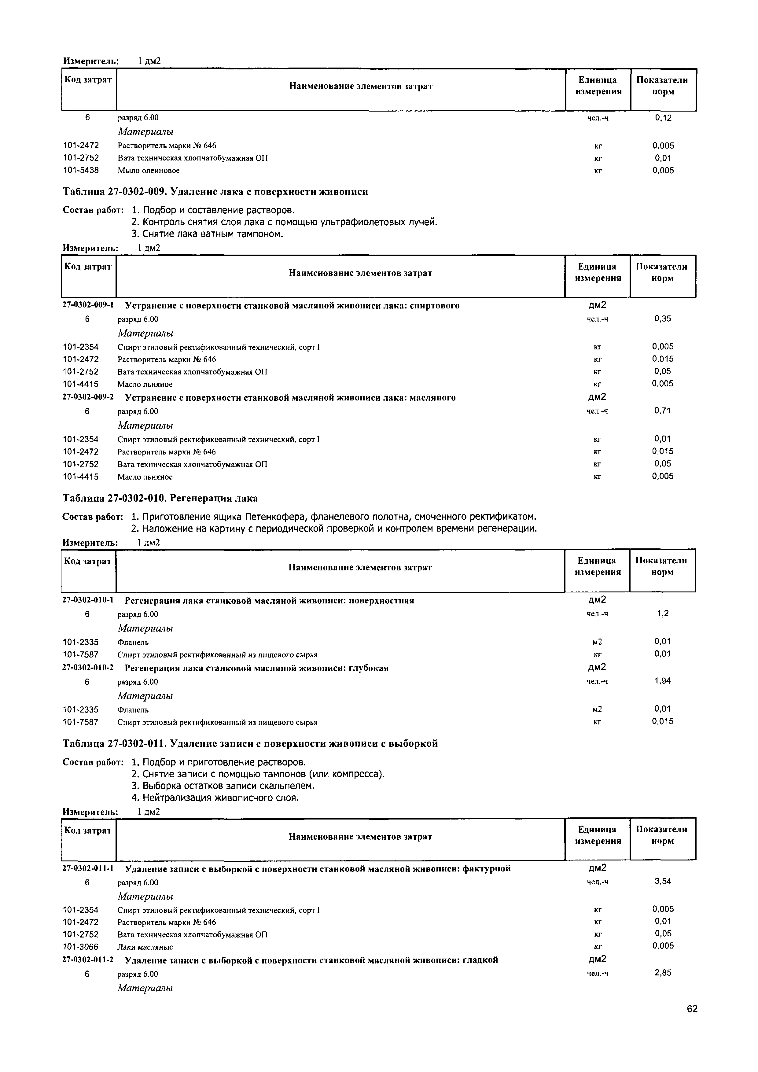
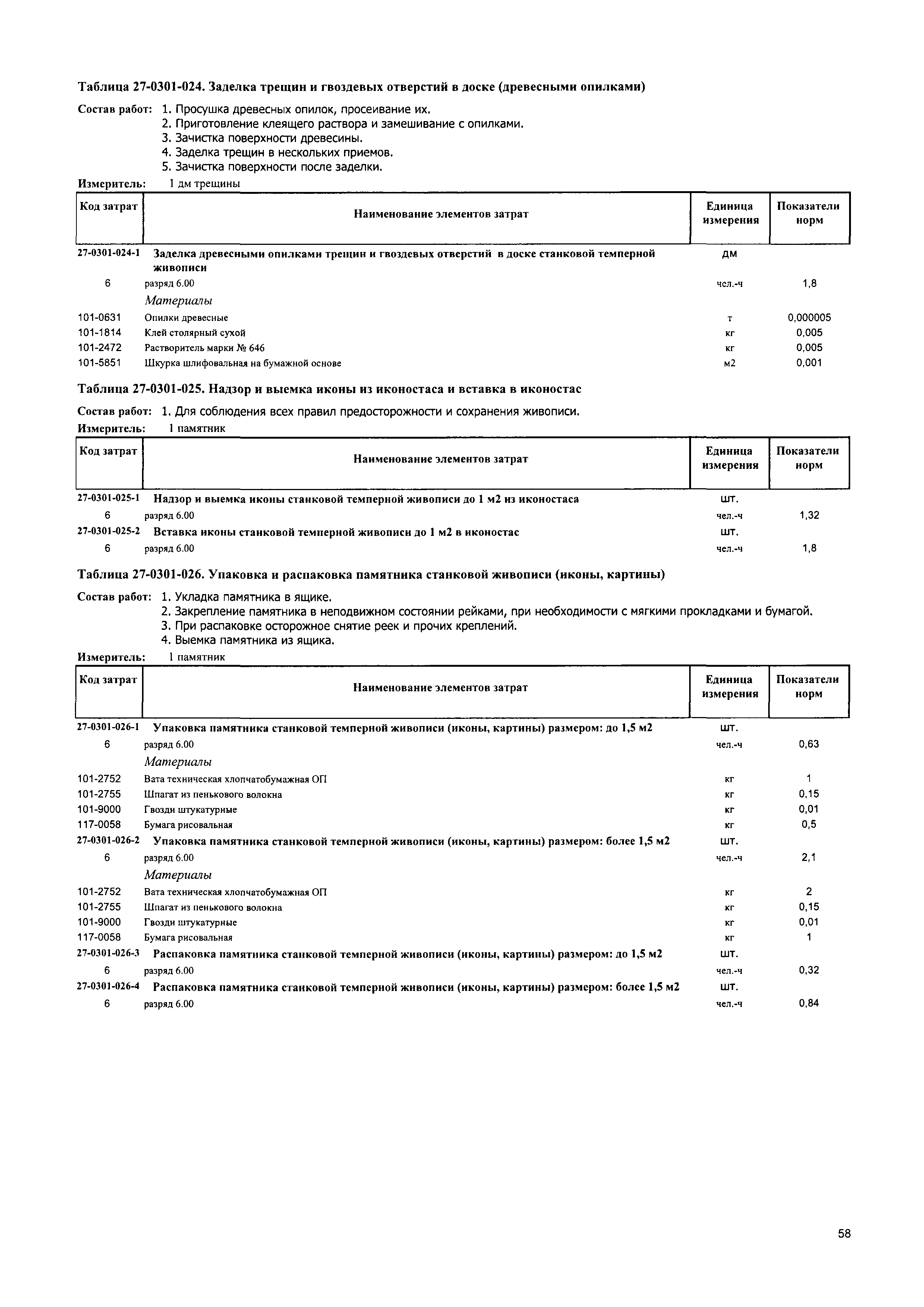
Область применения:Сборник на реставрацию монументальной и станковой живописи включает в себя следующие отделы: Отдел 1. Историко-библиографические, архивные исследования и графические работы. Отдел 2. Монументальная живопись. Отдел 3. Станковая живопись. Сборник охватывает наиболее характерные виды процесса реставрации и воссоздания монументальной живописи: на штукатурке, на фрагментах, на холстах и станковой живописи и предусматривает усредненные условия и методы, включающие весь технологический комплекс реставрационных процессов
Утверждён:31.07.2017 Министерство строительства и жилищно-коммунального хозяйства Российской Федерации (1041/пр)
Издан: С сайта: (2017 г. )
Нормативные ссылки: