Скачать ГОСТ Р ИСО 13442-2017 Шины и ободья для строительных машин. Технические требованияДата актуализации: 01.01.2021
|
| Обозначение: | ГОСТ Р ИСО 13442-2017 |
| Обозначение англ: | GOST R ISO 13442-2017 |
| Статус: | введен впервые |
| Название рус.: | Шины и ободья для строительных машин. Технические требования |
| Название англ.: | Tyres and rims for construction machines. Technical requirements |
| Дата добавления в базу: | 01.01.2018 |
| Дата актуализации: | 01.01.2021 |
| Дата введения: | 01.01.2019 |
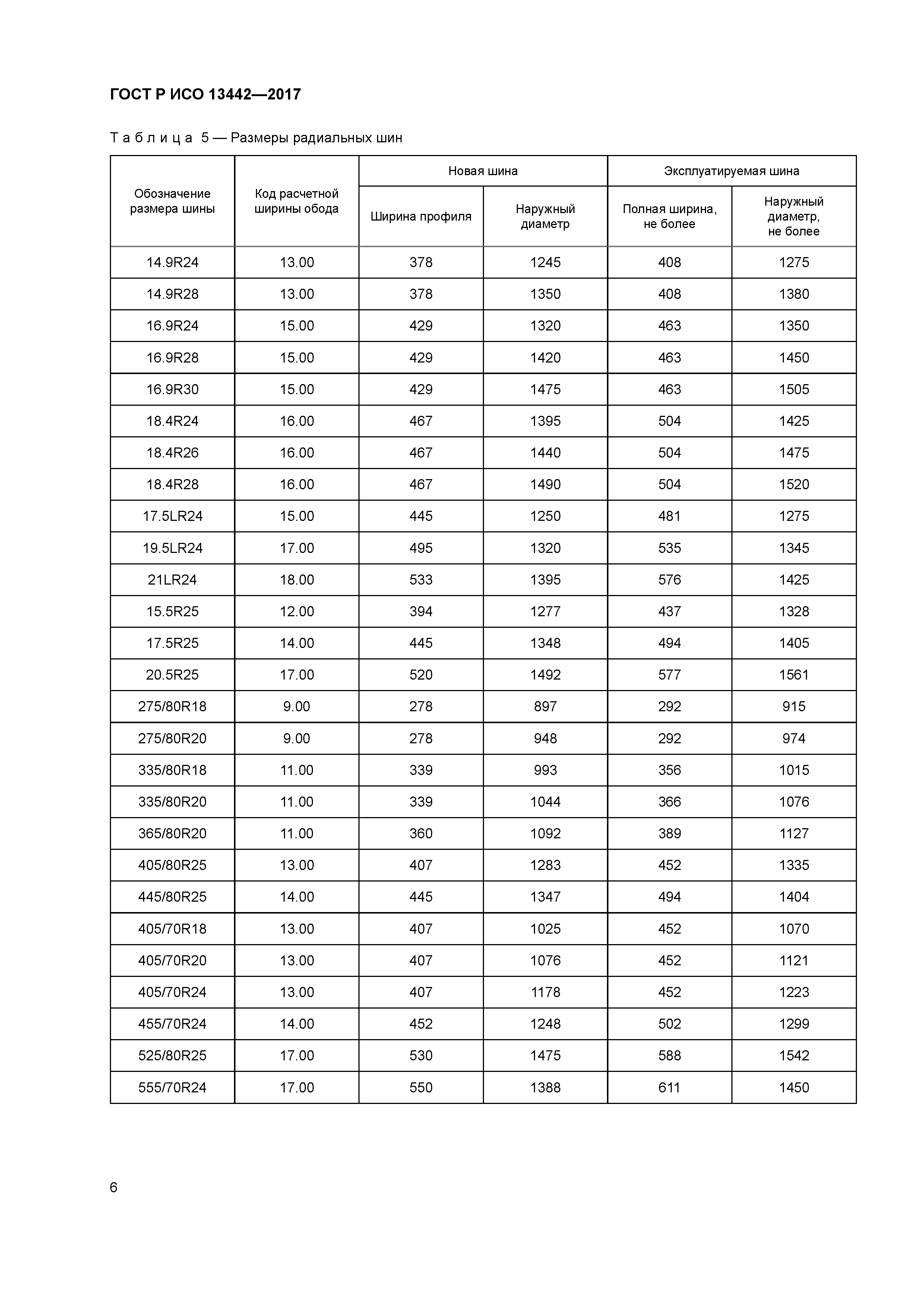
| Область применения: | Стандарт устанавливает обозначение, размеры, индексы нагрузки и индексы скорости шин и ободьев для строительных машин (экскаваторов-погрузчиков, малых самосвалов, погрузчиков, экскаваторов и т. д.), работающих на строительных площадках при выполнении погрузочных и транспортных операций. |
| Оглавление: | 1 Область применения 2 Нормативные ссылки 3 Термины и определения 4 Обозначение и маркировка шин Приложение ДА (справочное) Сведения о соответствии ссылочных международных стандартов национальным и межгосударственным стандартам |
| Разработан: | ФГУП ВНИИ СМТ |
| Утверждён: | 28.07.2011 Федеральное агентство по техническому регулированию и метрологии (769-ст) |
| Издан: | Стандартинформ (2017 г. ) |
| Нормативные ссылки: |














