Скачать Типовые нормы бесплатной выдачи специальной одежды, специальной обуви и других средств индивидуальной защиты работникам авиационной промышленности, занятым на работах с вредными и (или) опасными условиями труда, а также на работах, выполняемых в особых температурных условиях или связанных с загрязнениемДата актуализации: 01.01.2021
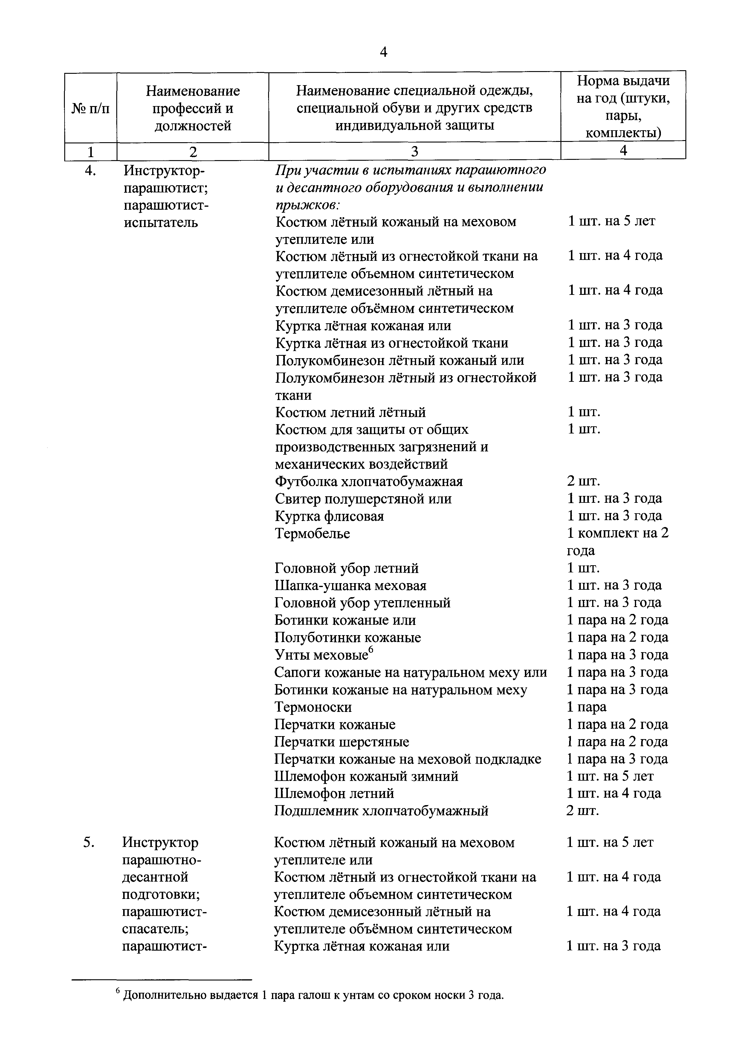
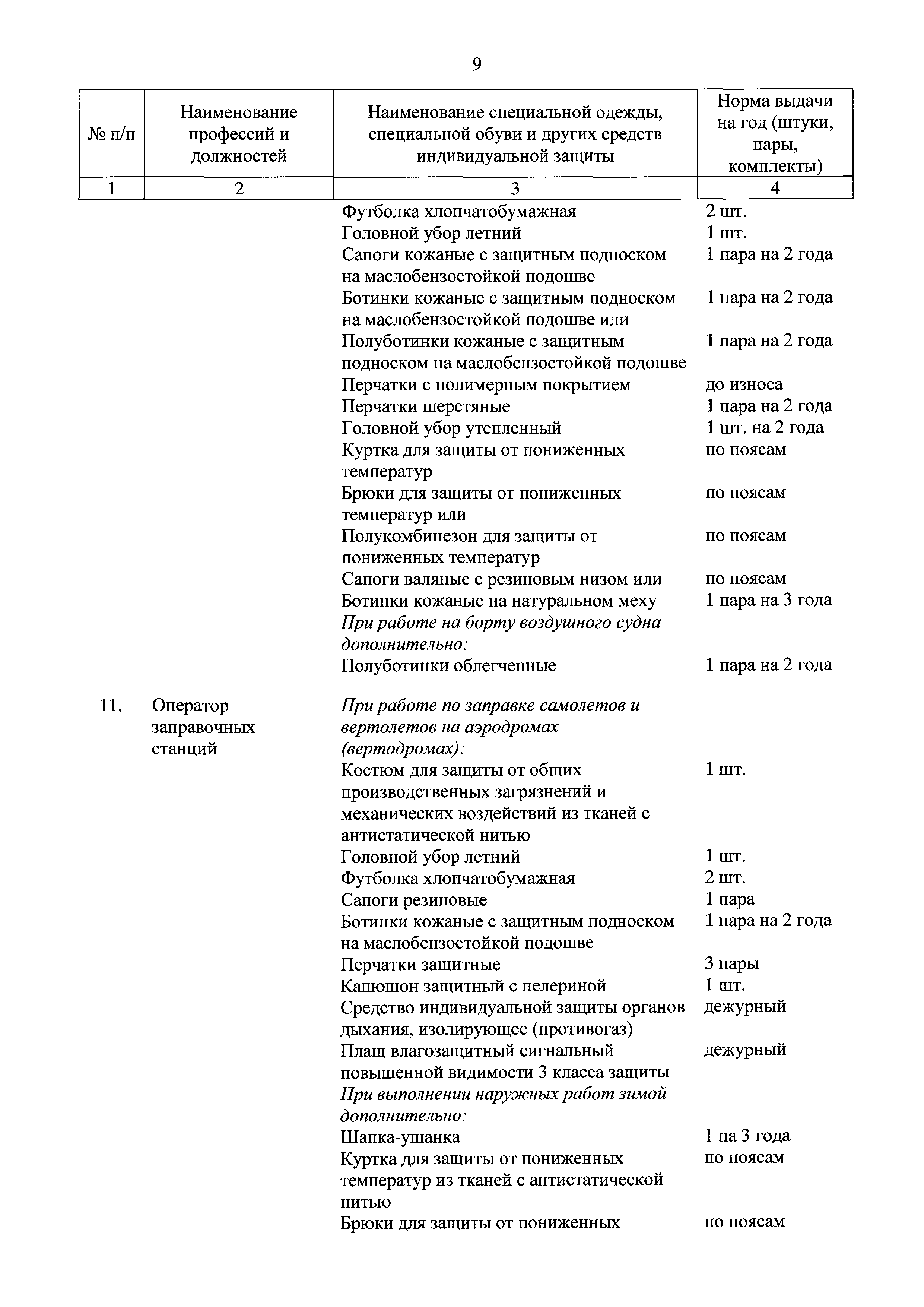
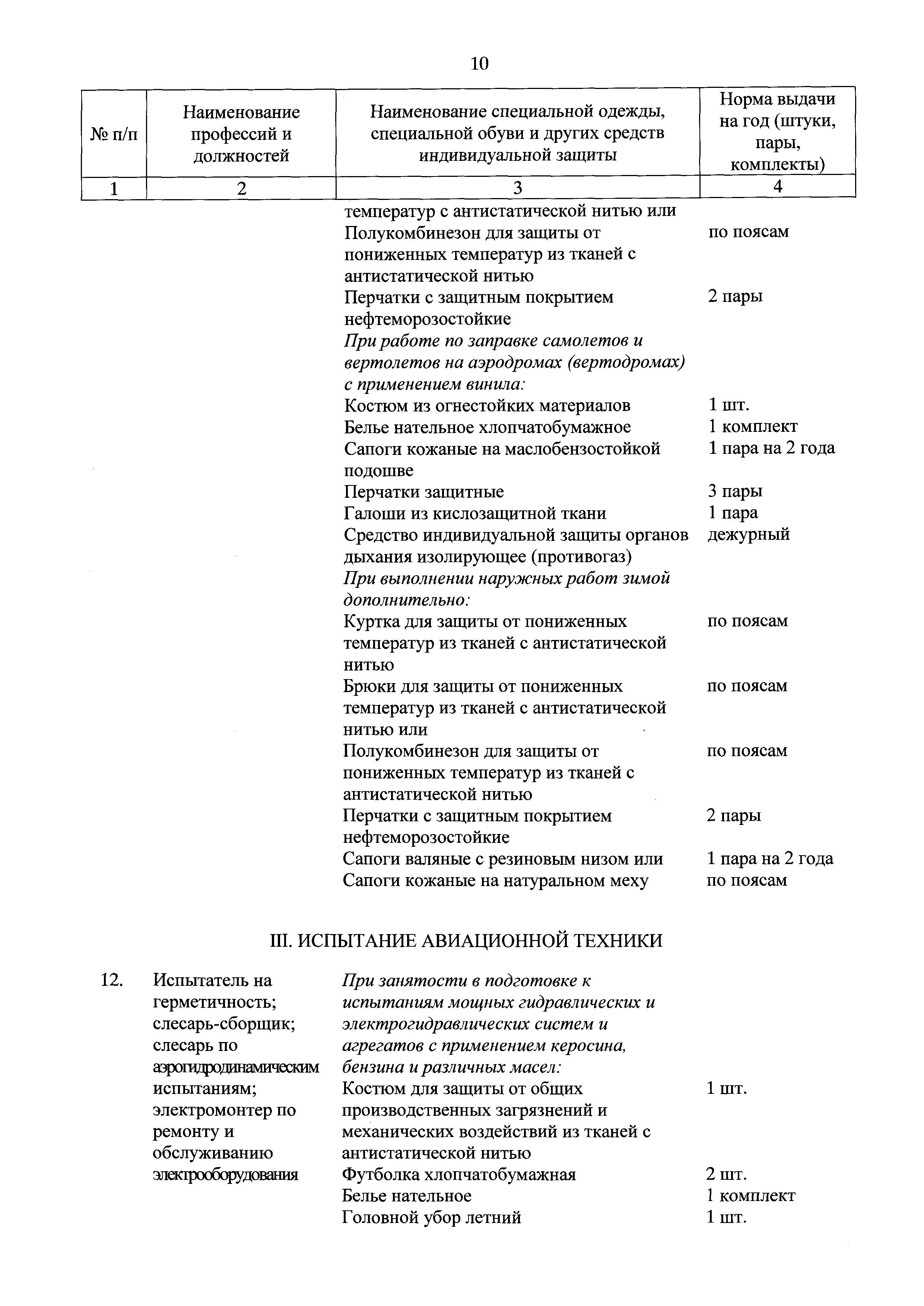
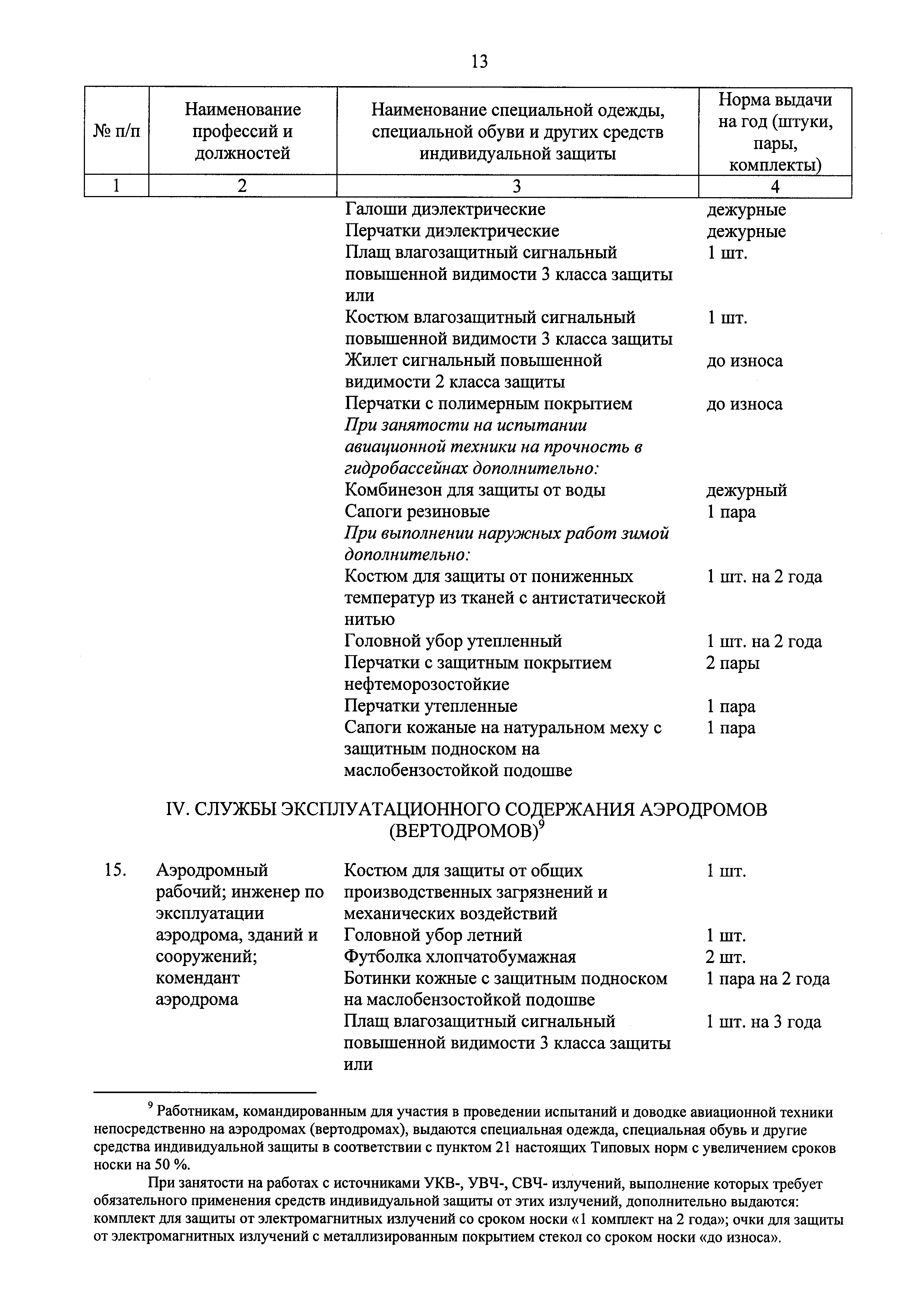
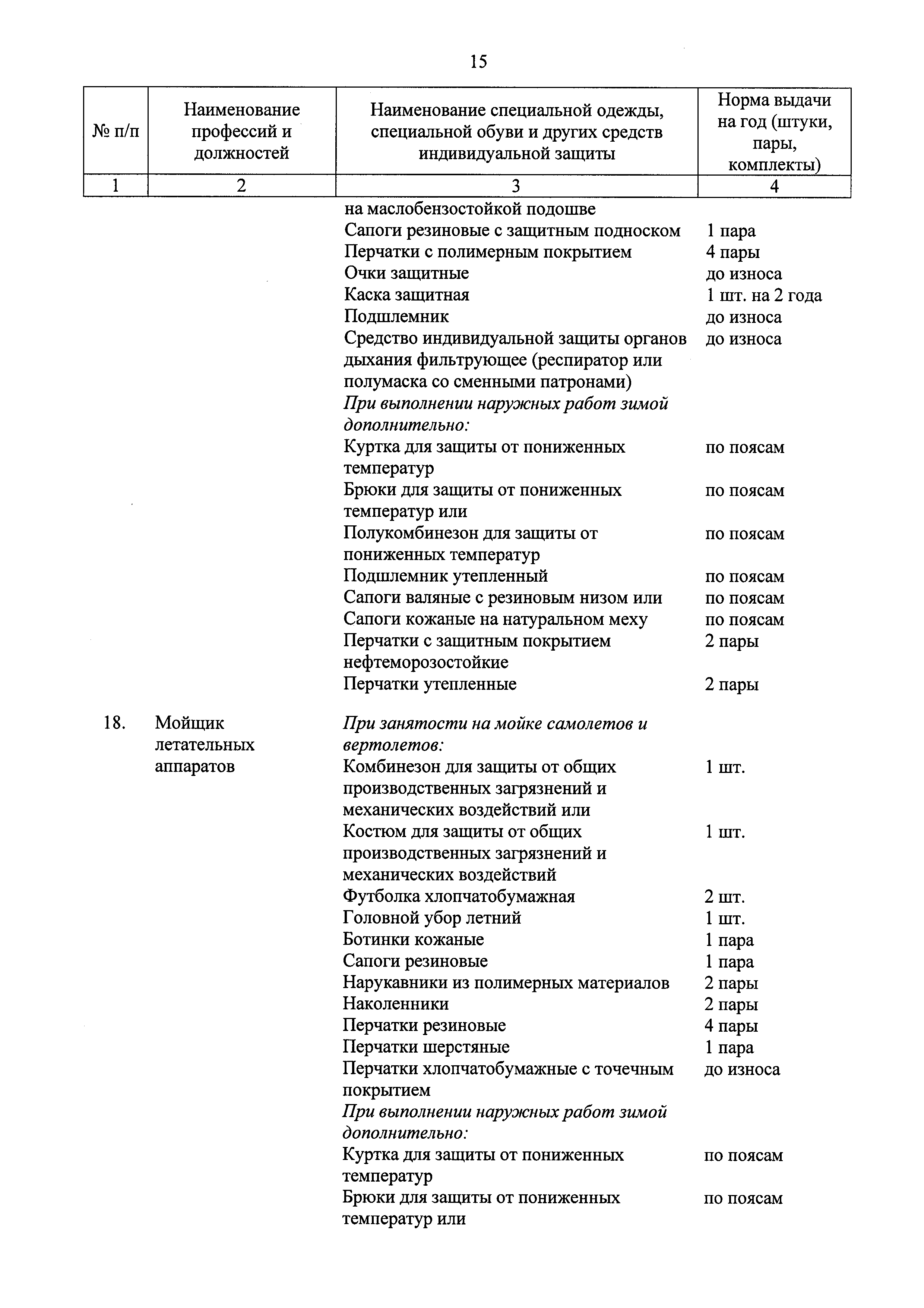
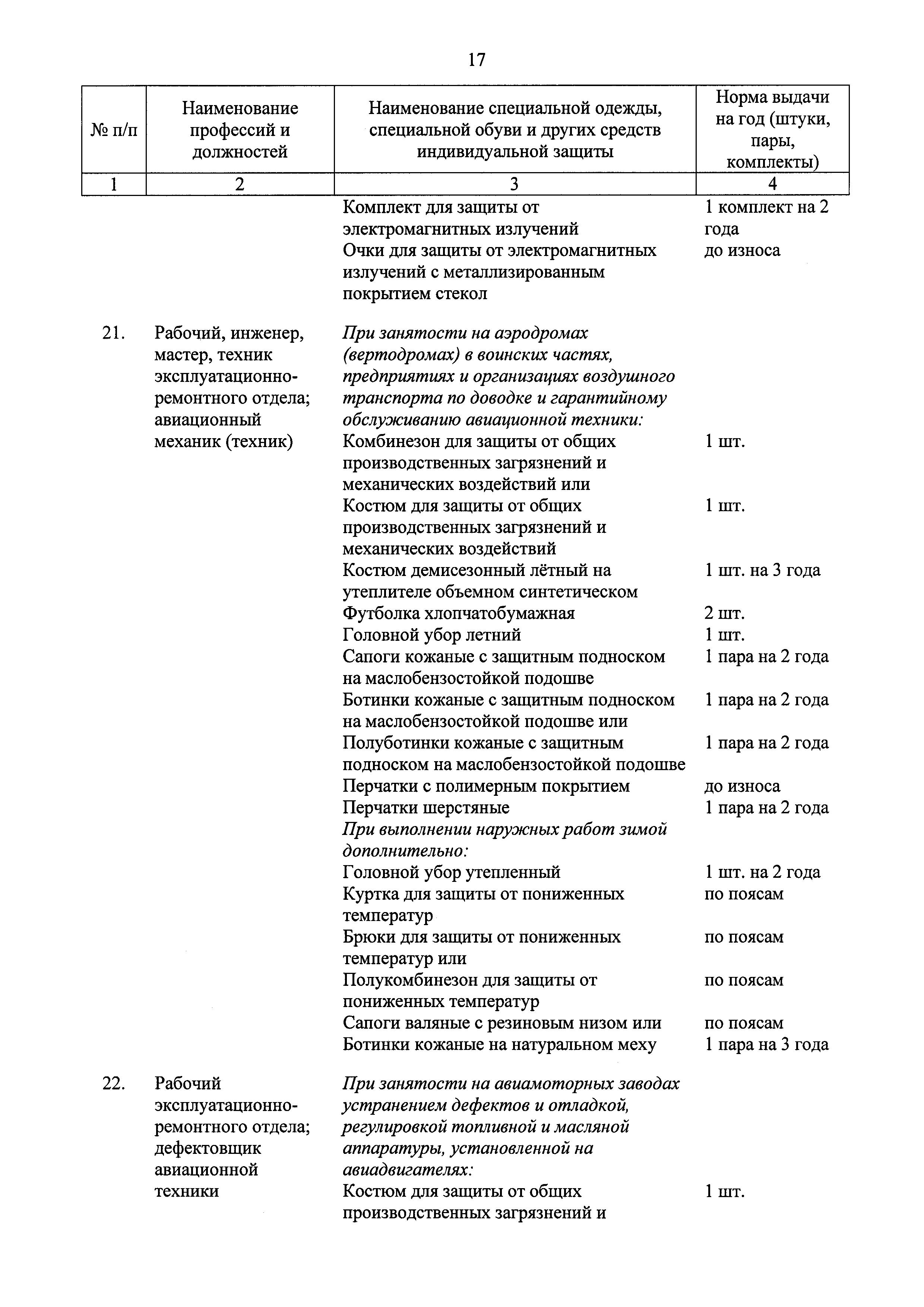
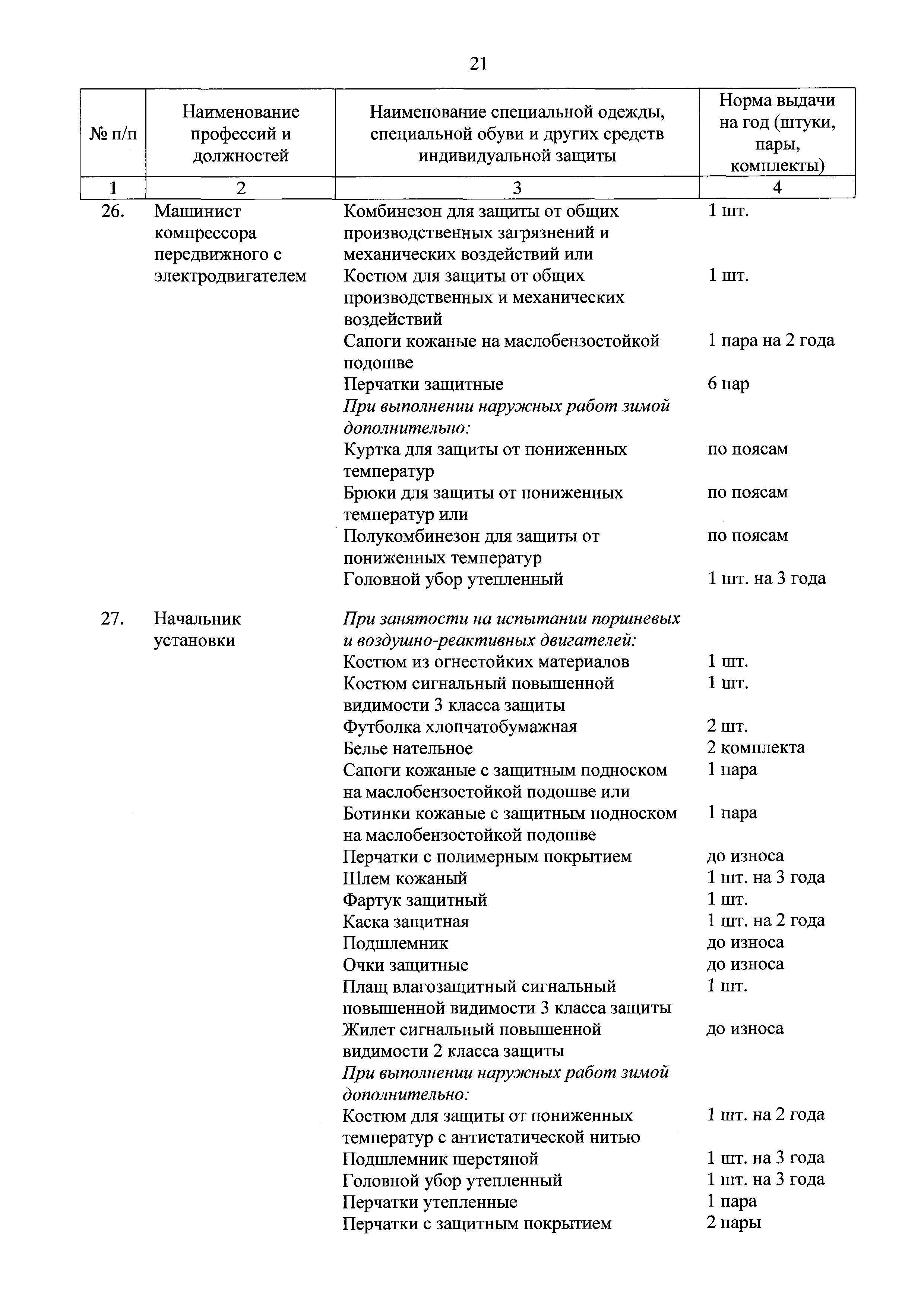
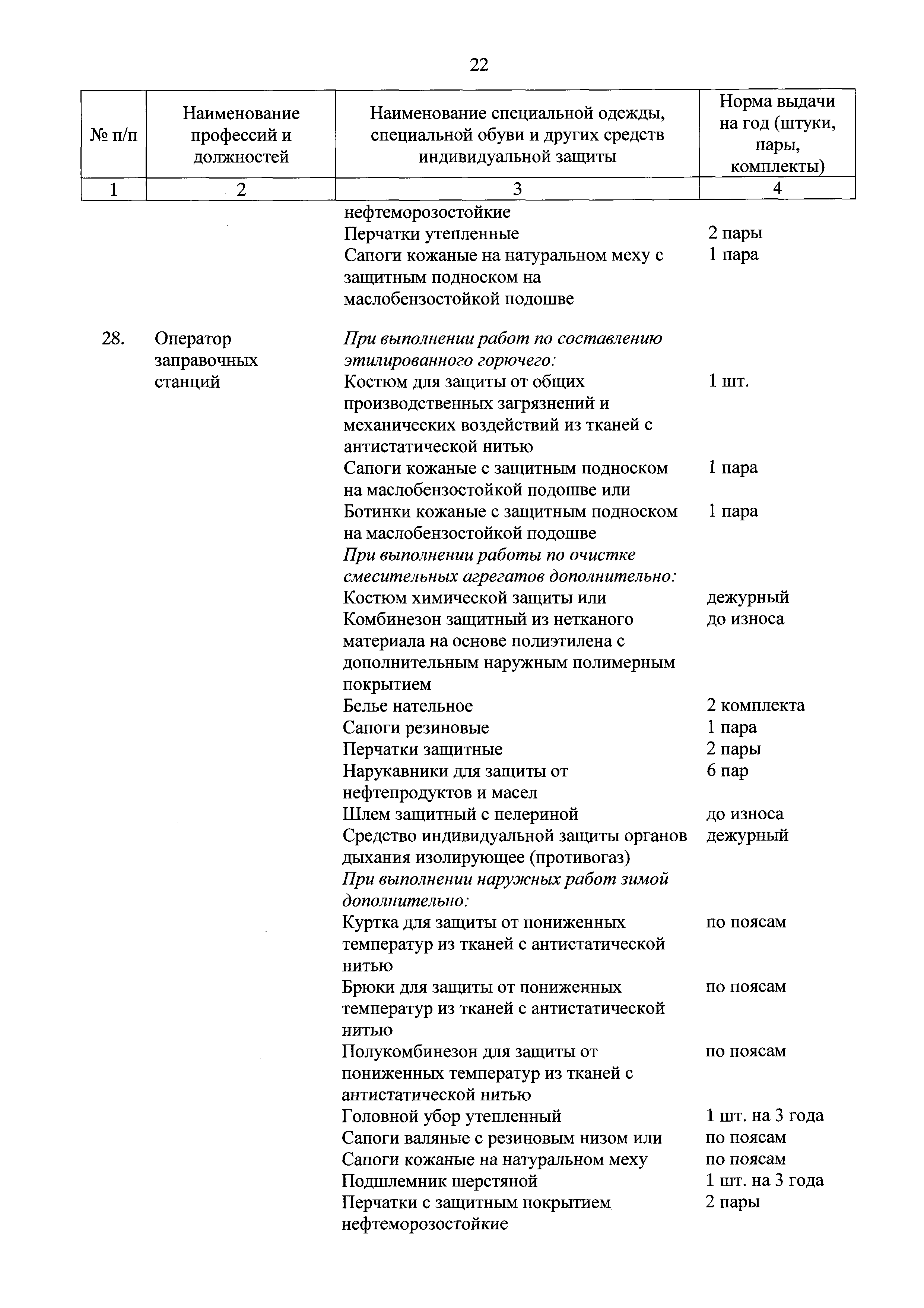
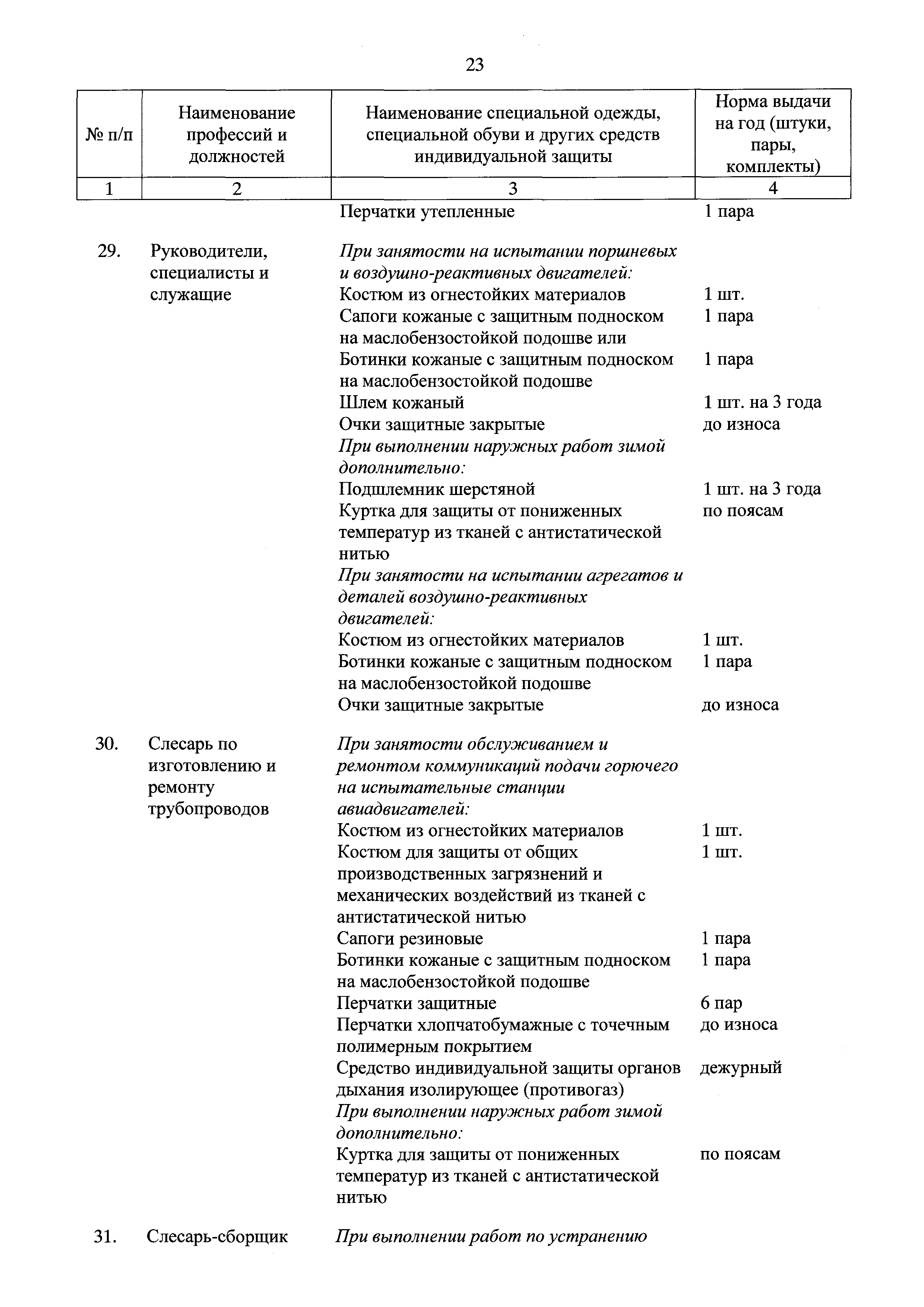
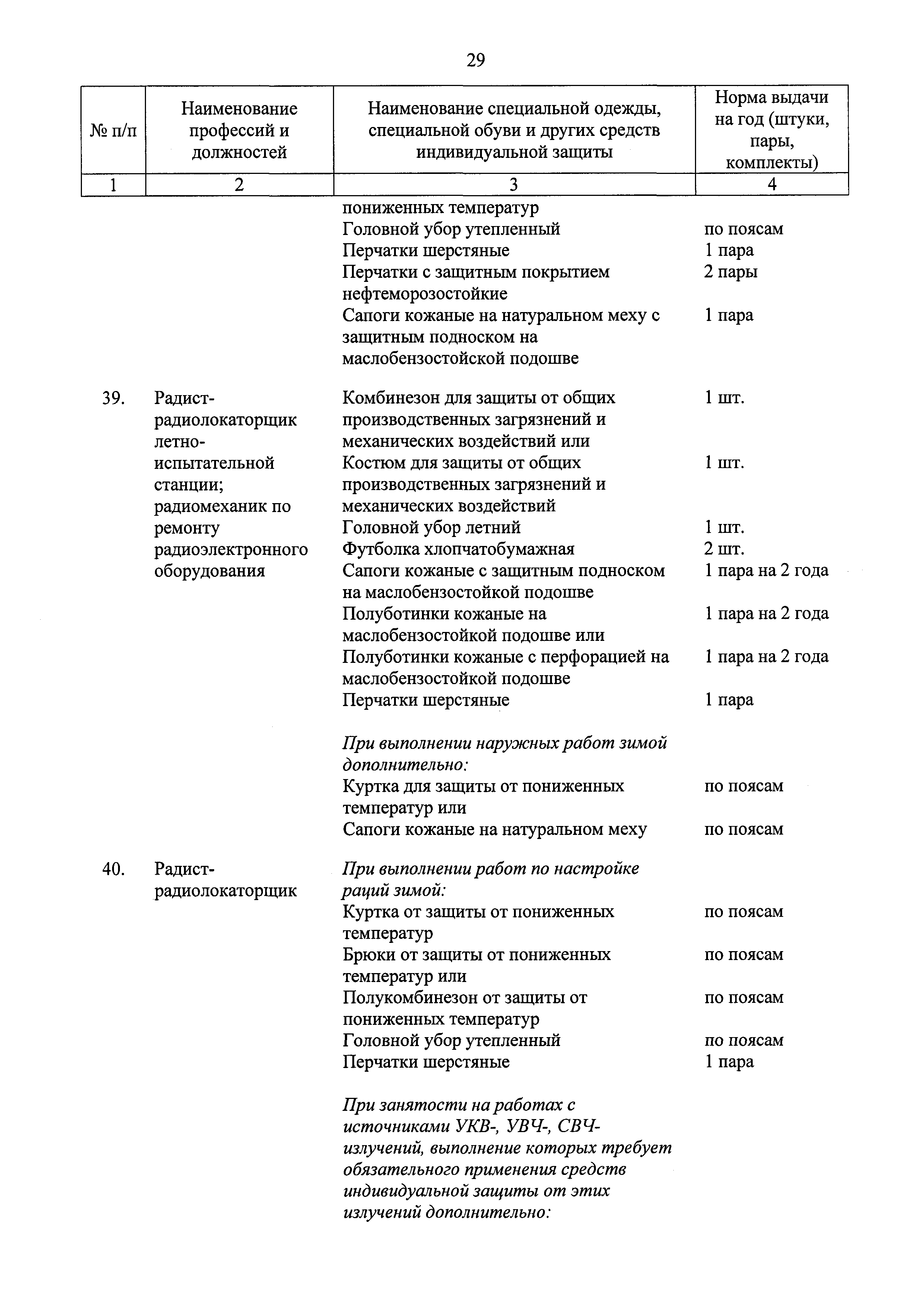
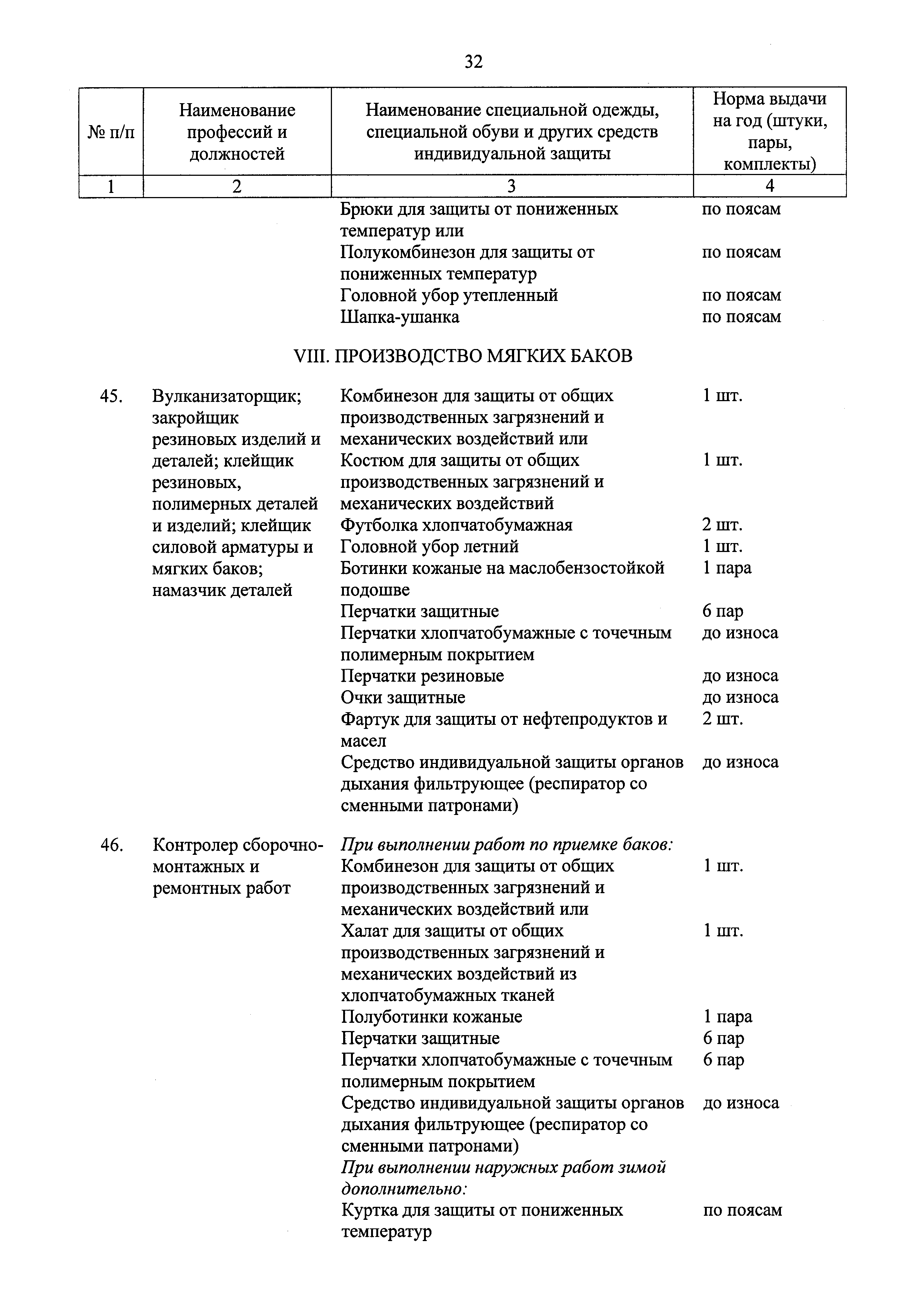
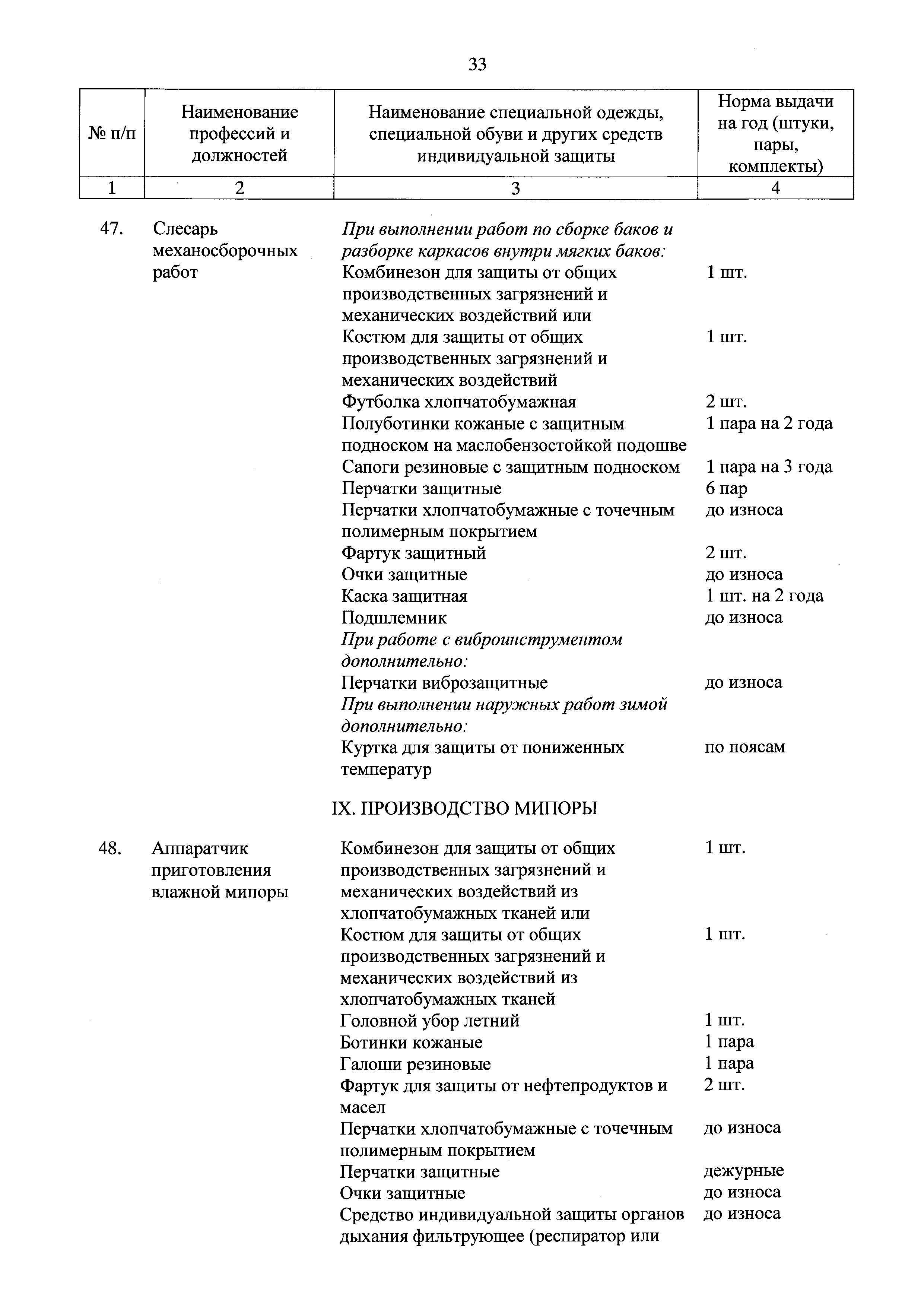
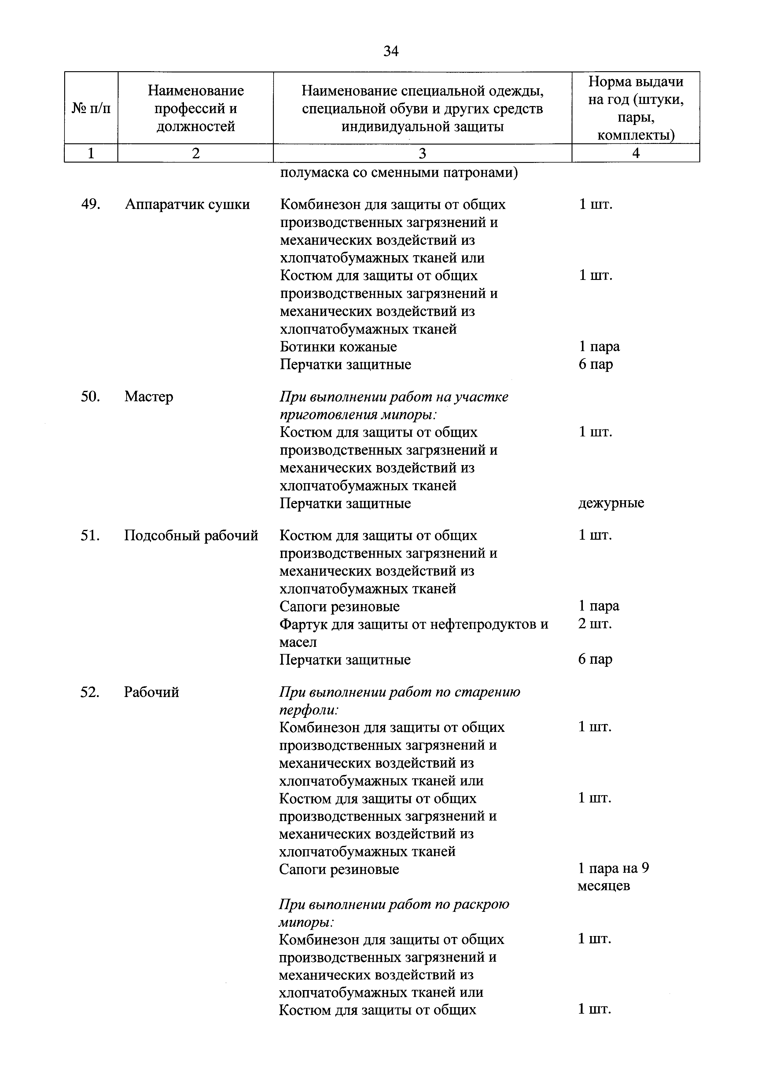
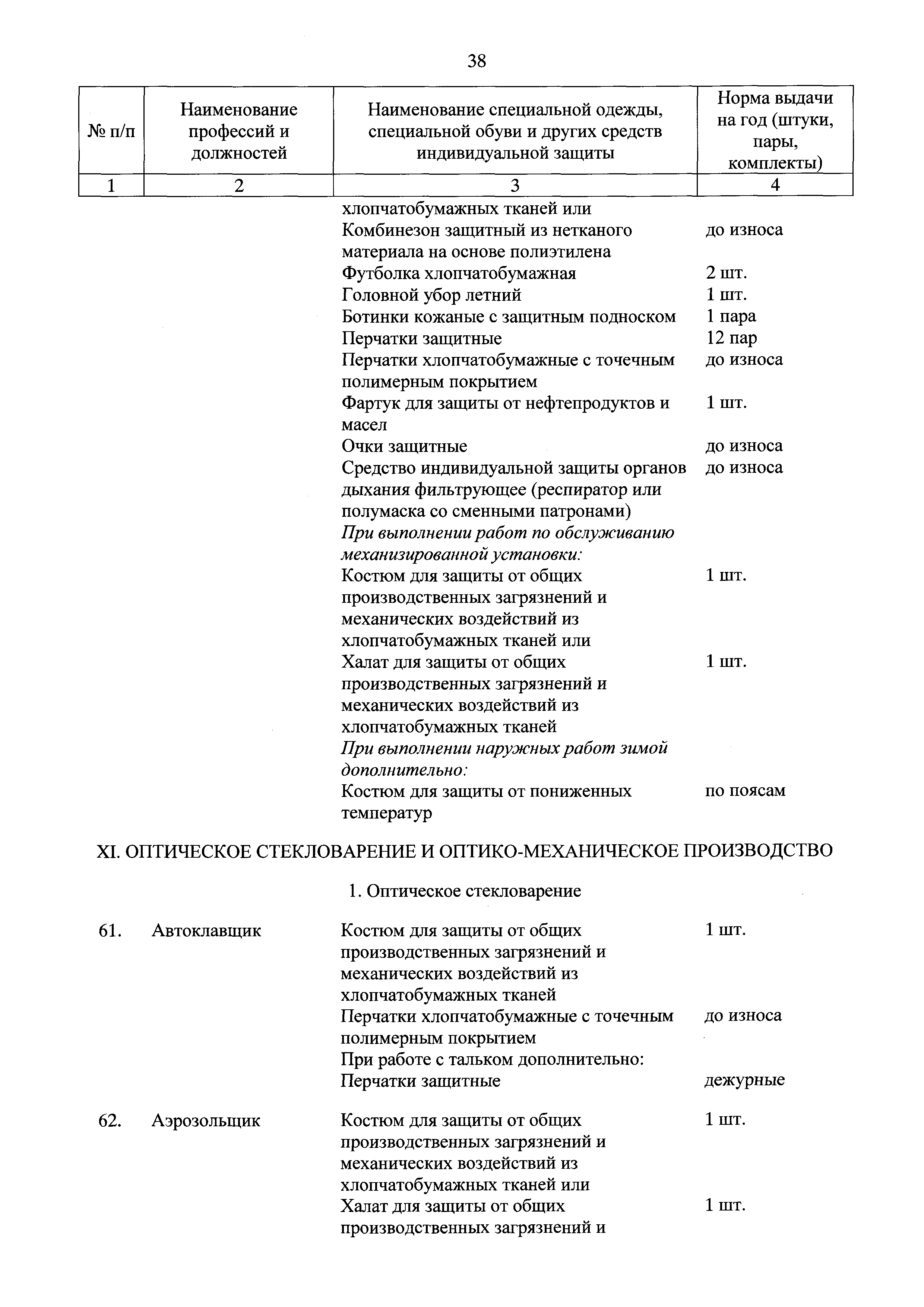
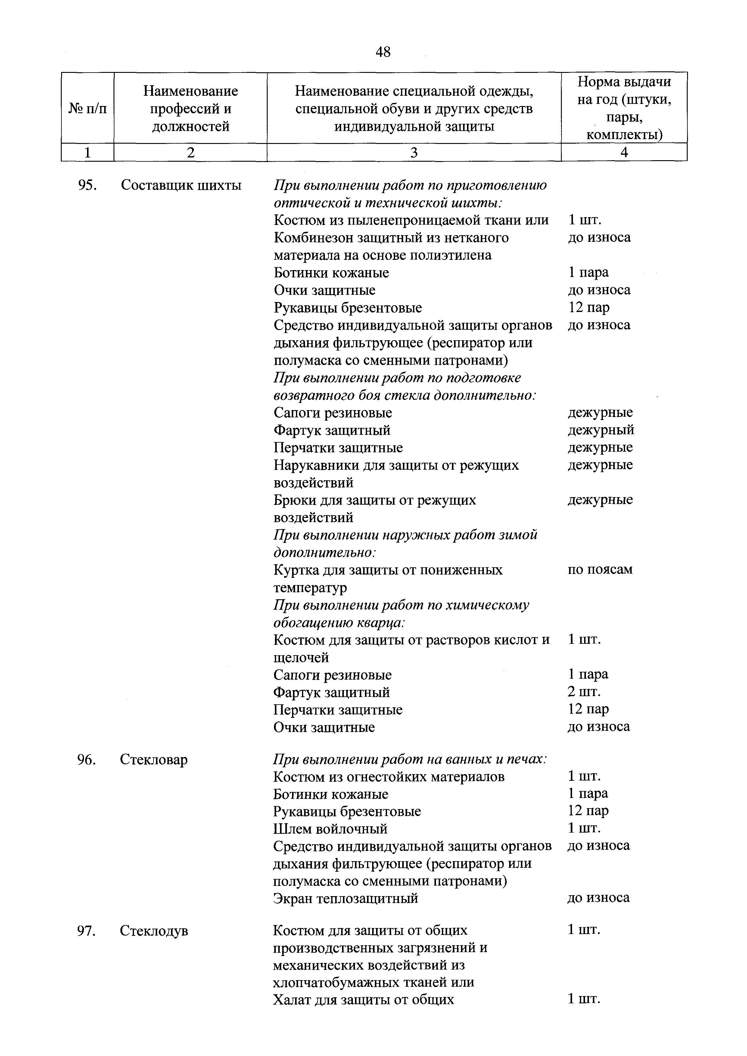
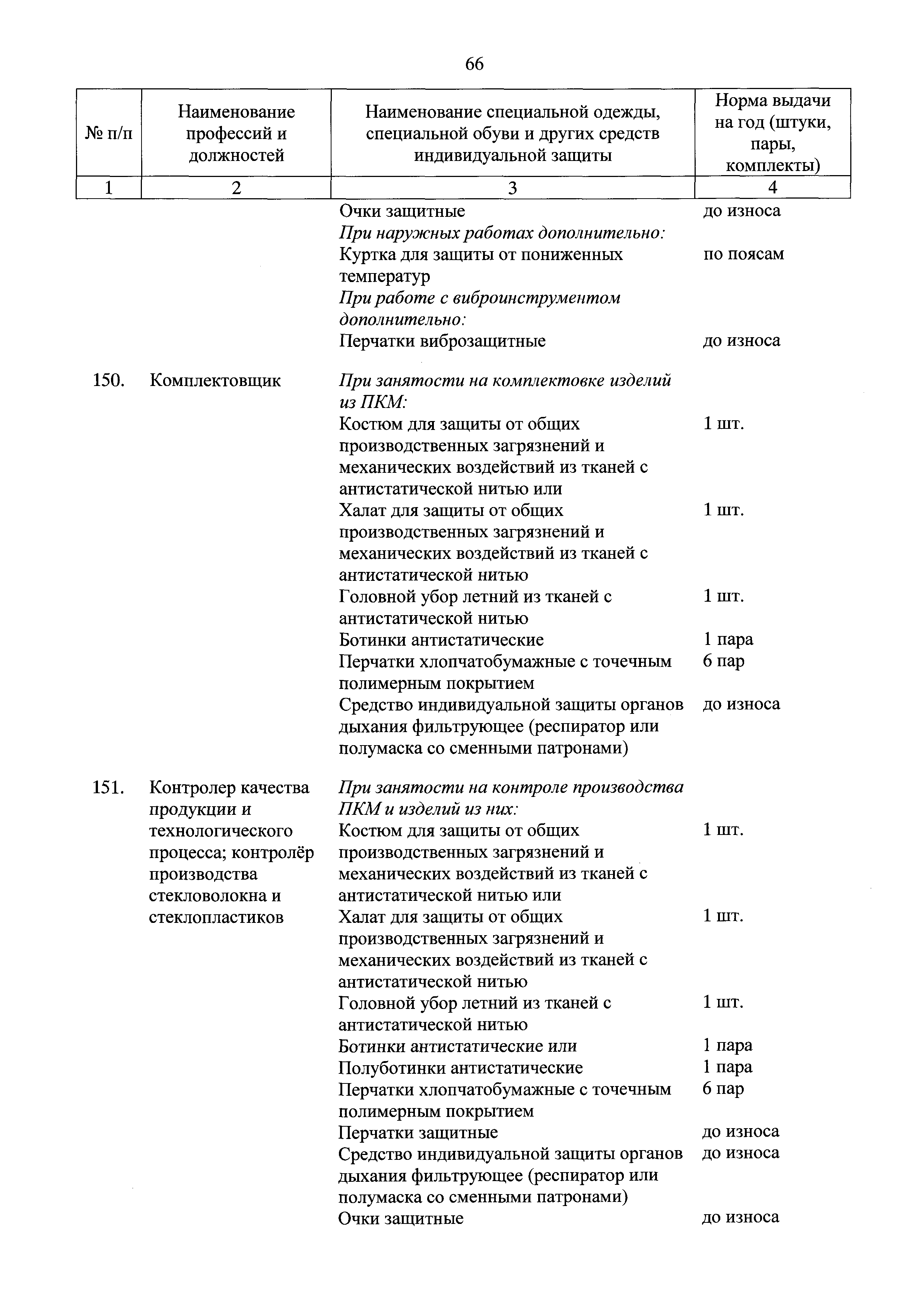
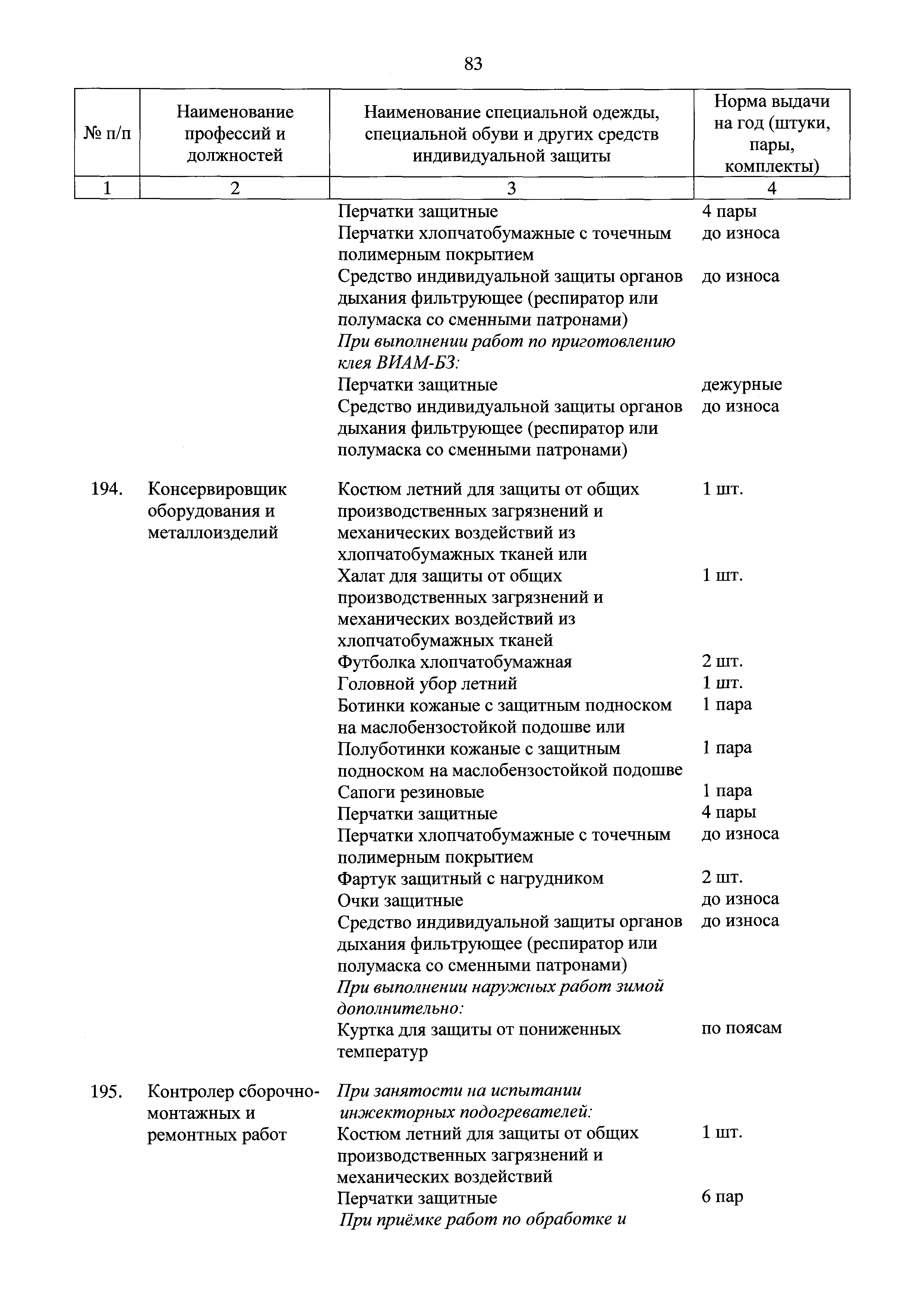
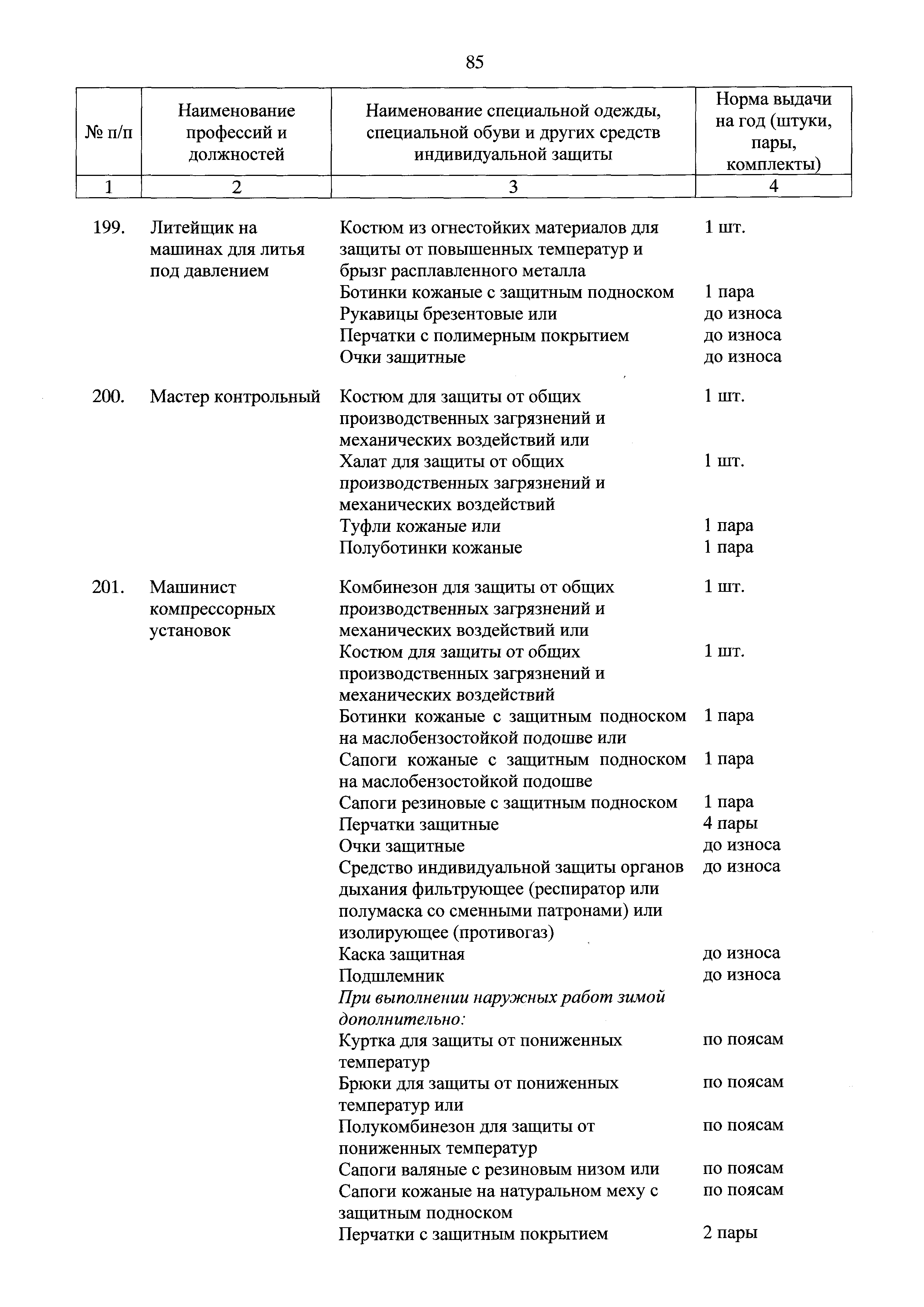
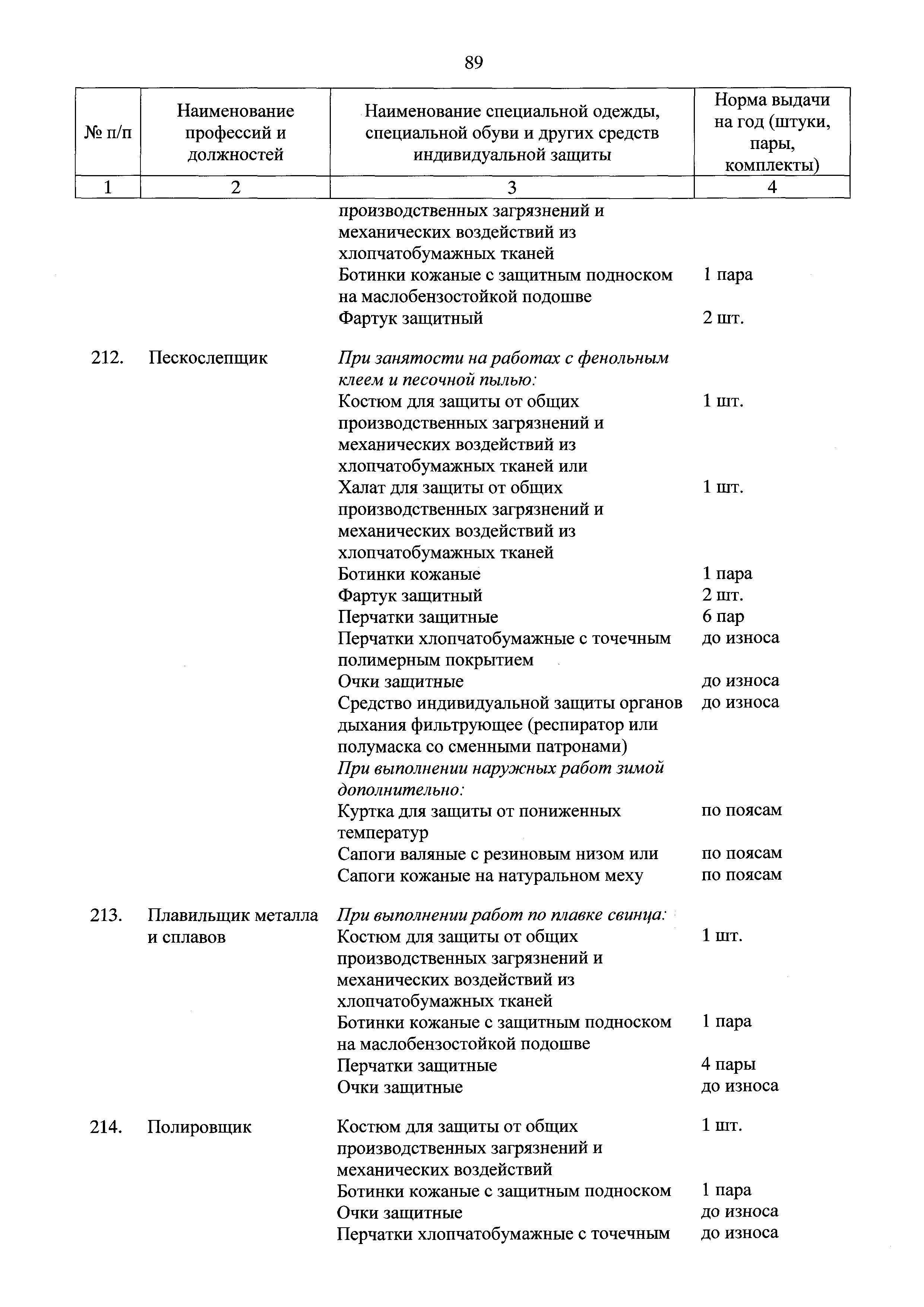
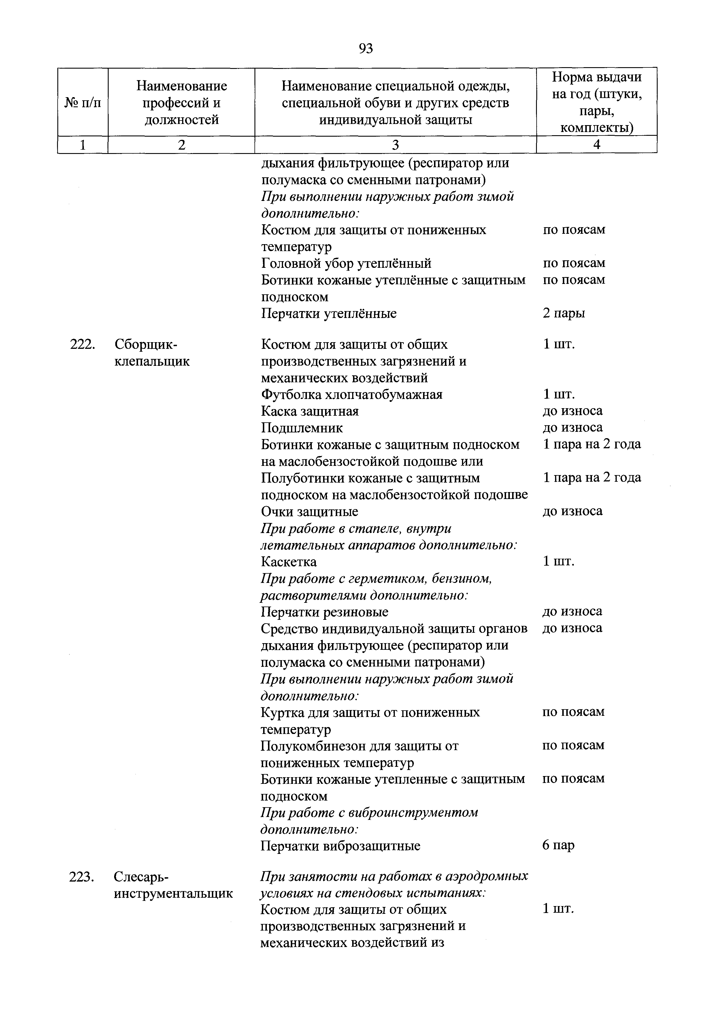
Типовые нормы бесплатной выдачи специальной одежды, специальной обуви и других средств индивидуальной защиты работникам авиационной промышленности, занятым на работах с вредными и (или) опасными условиями труда, а также на работах, выполняемых в особых температурных условиях или связанных с загрязнением| Статус: | действует | | Название рус.: | Типовые нормы бесплатной выдачи специальной одежды, специальной обуви и других средств индивидуальной защиты работникам авиационной промышленности, занятым на работах с вредными и (или) опасными условиями труда, а также на работах, выполняемых в особых температурных условиях или связанных с загрязнением | | Дата добавления в базу: | 01.01.2018 | | Дата актуализации: | 01.01.2021 | | Дата введения: | 01.12.2017 | | Оглавление: | I. Летный состав II. Инженерно-технический состав III. Испытание авиационной техники IV. Службы эксплуатационного содержания аэродромов (вертодромов) V. Персонал испытательных станций авиационных двигателей VI. Персонал испытательных станций двигателей и силовых установок VII. Работники полигона VIII. Производство мягких баков IX. Производство мипоры X. Подразделения неразрушающего контроля XI. Оптическое стекловарение и оптико-механическое производство 1. Оптическое стекловарение 2. Оптико-механическое производство 3. Общие профессии XII. Производство полимерных композиционных материалов (далее - ПКМ) и изделий из них XIII. Производство печатных плат гальваническим способом XIV. Авиаприборостоение. Сборка приборов для ракетно-космической техники XV. Прочие профессии | | Утверждён: | 19.06.2017 Министерство труда и социальной защиты РФ (507н)
| | Издан: | Официальный интернет-портал правовой информации (www.pravo.gov.ru) (от 30.08.2017 г. Номер опубликования: 0001201708300036)
| | Нормативные ссылки: | |
                                                                                                          
|