Скачать ГОСТ Р ИСО 14046-2017 Экологический менеджмент. Водный след. Принципы, требования и руководящие указанияДата актуализации: 01.01.2021
|
| Обозначение: | ГОСТ Р ИСО 14046-2017 |
| Обозначение англ: | GOST R ISO 14046-2017 |
| Статус: | введен впервые |
| Название рус.: | Экологический менеджмент. Водный след. Принципы, требования и руководящие указания |
| Название англ.: | Environmental management. Water footprint. Principles, requirements and guidelines |
| Дата добавления в базу: | 01.01.2018 |
| Дата актуализации: | 01.01.2021 |
| Дата введения: | 01.01.2018 |
| Область применения: | Стандарт устанавливает принципы, требования и руководящие указания, относящиеся к оценке водного следа продукции, процессов и организаций на основе оценки жизненного цикла. Стандарт устанавливает также принципы, требования и руководящие указания для проведения и представления отчетных данных по оценке водного следа, как в виде самостоятельной оценки, так и в виде части более полной общей экологической оценки. |
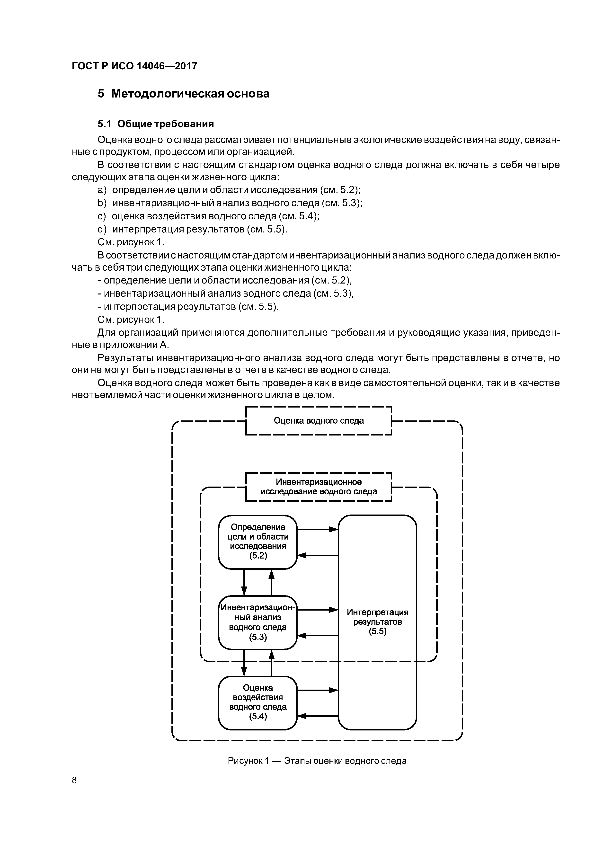
| Оглавление: | 1 Область применения 2 Нормативные ссылки 3 Термины и определения 4 Принципы 5 Методологическая основа 6 Отчетность 7 Критический анализ Приложение А (обязательное) Дополнительные требования и руководящие указания для организаций Приложение ДА (справочное) Сведения о соответствии ссылочных международных стандартов национальным стандартам Библиография |
| Разработан: | АО НИЦ КД ООО НИИ экономики, связи и информатики Интерэкомс |
| Утверждён: | 12.09.2017 Федеральное агентство по техническому регулированию и метрологии (1056-ст) |
| Издан: | Стандартинформ (2017 г. ) |
| Нормативные ссылки: |


































