Скачать ГОСТ Р 57661-2017 Сталь нержавеющая общего назначения. Часть 3. ПроволокаДата актуализации: 01.01.2021
|
| Обозначение: | ГОСТ Р 57661-2017 |
| Обозначение англ: | GOST R 57661-2017 |
| Статус: | введен впервые |
| Название рус.: | Сталь нержавеющая общего назначения. Часть 3. Проволока |
| Название англ.: | Stainless steels for general purpose. Part 3. Wire |
| Дата добавления в базу: | 01.01.2018 |
| Дата актуализации: | 01.01.2021 |
| Дата введения: | 01.04.2019 |
| Область применения: | Стандарт устанавливает требования для нержавеющей проволоки широкого применения, для которой не существует стандарта на продукцию. Стандарт распространяется на круглую, плоскую и фасонную проволоку (например, квадратного, шестигранного или прямоугольного сечения), изготовленную из наиболее широко используемых типов нержавеющих сталей для устойчивости к общей коррозии и эксплуатации в условиях высокой температуры. Из стандарта исключено следующее: - проволока для высадки, - электродная проволока и - любая проволока, для которой существует соответствующий стандарт на продукцию. |
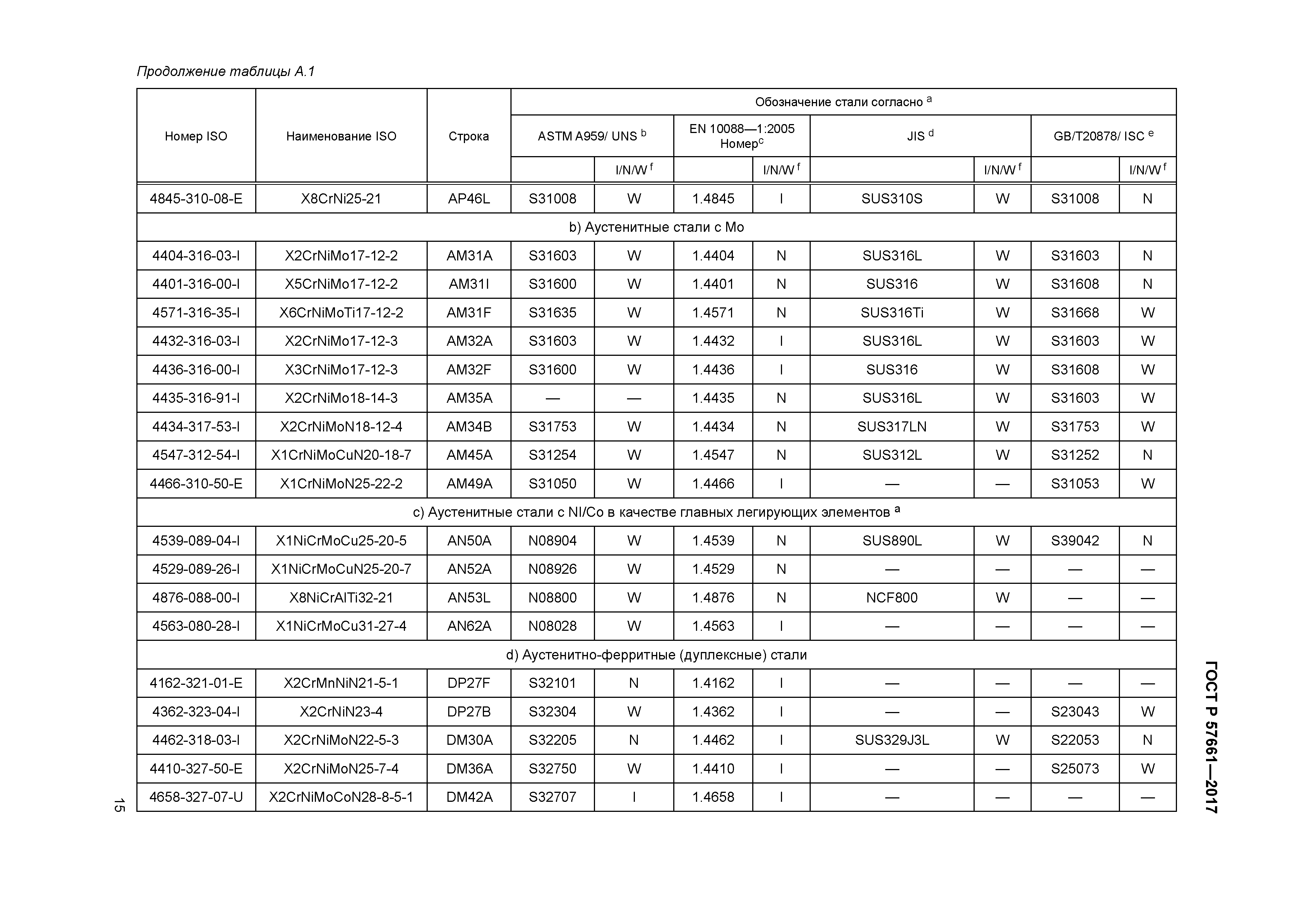
| Оглавление: | 1 Область применения 2 Нормативные ссылки 3 Термины и определения 4 Обозначение 5 Оформление заказа 6 Условия изготовления 6.1 Общие положения 6.2 Условия обработки 6.3 Обработка поверхности 7 Требования 7.1 Технология изготовления 7.2 Условие поставки 7.3 Химический состав 7.4 Механические свойства 7.5 Допуски на размер 8 Контроль, проведение испытаний и соответствие продукции установленным требованиям 8.1 Общие положения 8.2 Методы контроля и проведения испытаний и типы документов контроля 8.3 Специальные контроль и испытания 8.4 Методы испытаний 8.5 Повторные испытания 9 Упаковка и маркировка Приложение А (справочное) Обозначение сталей, данных в таблице 1, и сопоставимые марки сталей, приведенные в стандартах ASTM, EN, JIS и GB Приложение ДА (справочное) Сведения о соответствии ссылочных межгосударственных и национальных стандартов международным стандартам, использованным в качестве ссылочных в примененном международном стандарте Библиография |
| Разработан: | ФГУП ВНИИ СМТ |
| Утверждён: | 14.09.2017 Федеральное агентство по техническому регулированию и метрологии (1107-ст) |
| Издан: | Стандартинформ (2017 г. ) |
| Нормативные ссылки: |























