Скачать ГОСТ 34240-2017 Топлива авиационные. Оценка низшей теплоты сгоранияДата актуализации: 01.01.2021
|
| Обозначение: | ГОСТ 34240-2017 |
| Обозначение англ: | GOST 34240-2017 |
| Статус: | введен впервые |
| Название рус.: | Топлива авиационные. Оценка низшей теплоты сгорания |
| Название англ.: | Aviation fuels. Estimation of net heat of combustion |
| Дата добавления в базу: | 01.01.2019 |
| Дата актуализации: | 01.01.2021 |
| Дата введения: | 01.07.2019 |
| Область применения: | Стандарт устанавливает оценку низшей теплоты сгорания при постоянном давлении, которую выражают в единицах СИ в мегаджоулях на килограмм. Метод является расчетным и применяется только для жидких углеводородных топлив, полученных при переработке нефти и соответствующих требованиям спецификаций на авиационные бензины или авиационные топлива для турбореактивных и реактивных двигателей с ограниченными диапазонами кипения и составами, приведенными в примечании 1. Низшую теплоту сгорания можно оценить по ASTM D 1405 или ASTM D 3338. Метод по ASTM D 1405 предусматривает вычисление по одному из четырех уравнений, зависящих от вида топлива, с прецизионностью, установленной в этом методе; метод по ASTM D 3338 предусматривает вычисление по одному уравнению для авиационного топлива с прецизионностью, установленной в этом стандарте. Значения, установленные в единицах СИ, считают стандартными. Значения в скобках приведены только для информации. В стандарте не предусмотрено рассмотрение всех вопросов обеспечения безопасности, связанных с его использованием. Пользователь стандарта несет ответственность за обеспечение соответствующих мер безопасности и охраны здоровья и определяет целесообразность применения законодательных ограничений перед его использованием. |
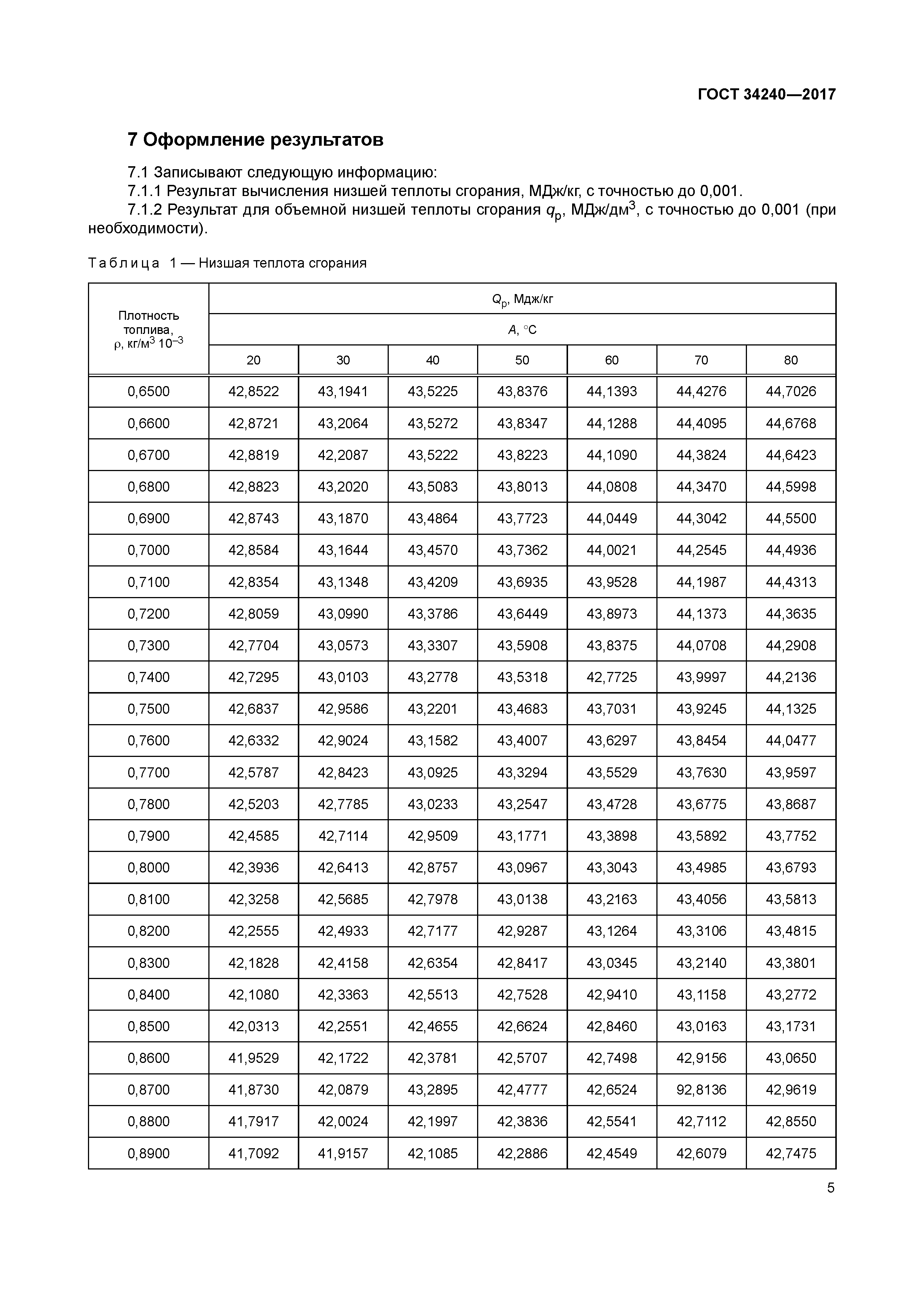
| Оглавление: | 1 Область применения 2 Нормативные ссылки 3 Сущность метода 4 Назначение и применение 5 Проведение испытаний 6 Вычисления 7 Оформление результатов 8 Прецизионность и смещение Приложение ДА (справочное) Сведения о соответствии ссылочных стандартов межгосударственным стандартам |
| Разработан: | ОАО ВНИИНП |
| Утверждён: | 30.08.2017 Межгосударственный Совет по стандартизации, метрологии и сертификации (Inter-Governmental Council on Standardization, Metrology, and Certification 102-П) 03.10.2017 Федеральное агентство по техническому регулированию и метрологии (1306-ст) |
| Издан: | Стандартинформ (2017 г. ) Стандартинформ (2019 г. ) |
| Список изменений: |
|
| Нормативные ссылки: |
|














Текстовое изменение Поправка от 14.03.2018
Текстовое изменение Поправка от 12.02.2020
Текстовое изменение Поправка от 15.04.2020