Скачать ГОСТ Р 57747-2017 Ткани плетеные. Общие технические требования и методы испытаний

Дата актуализации: 01.01.2021

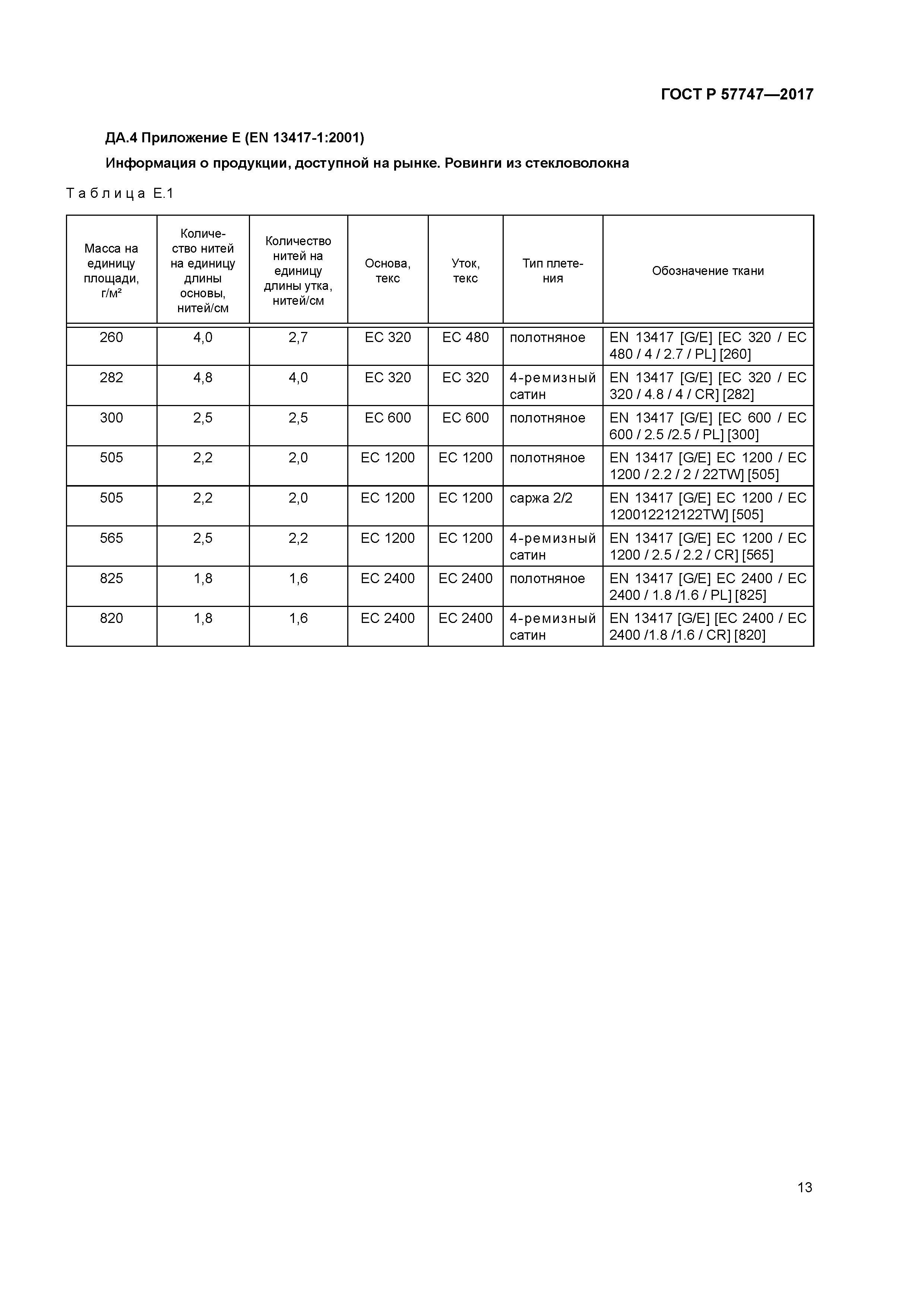
ГОСТ Р 57747-2017

Ткани плетеные. Общие технические требования и методы испытаний

Обозначение: ГОСТ Р 57747-2017
Обозначение англ: GOST R 57747-2017
Статус:введен впервые
Название рус.:Ткани плетеные. Общие технические требования и методы испытаний
Название англ.:Woven fabrics. General technical requirements and test methods
Дата добавления в базу:01.01.2019
Дата актуализации:01.01.2021
Дата введения:01.02.2018
Область применения:Стандарт распространяется на плетеные ткани, предназначенные для армирования пластмасс и композитов, и устанавливает общие технические требования и методы испытаний. Система обозначения плетеных тканей, приведенная в стандарте, применима для тканей, изготовленных из параарамидного, углеродного, полиэтиленового, полиэфирного, керамического волокна и стекловолокна в виде однокруточных, крученых, многокруточных, текстурированных нитей, ровингов, жгутов и т.п. Указанные материалы могут использоваться как отдельно, так и в комбинации с другими материалами (гибридные ткани).
Оглавление:1 Область применения
2 Нормативные ссылки
3 Термины и определения
4 Обозначения
5 Номенклатура показателей
6 Правила приемки
7 Технические требования
8 Показатели, устанавливаемые в нормативных документах и технической документации на продукцию
9 Упаковка
10 Маркировка
Приложение ДА (справочное) Оригинальный текст невключенных структурных элементов примененных европейских стандартов
Приложение ДБ (справочное) Сопоставление структуры настоящего стандарта со структурой примененных в нем европейских стандартов
Приложение ДВ (справочное) Сведения о соответствии ссылочных национальных и межгосударственных стандартов международным стандартам, использованным в качестве ссылочных в примененных европейских стандартах
Разработан: Объединение юридических лиц Союз производителей композитов
ФГУП ВНИИ СМТ
Автономная некомерческая организация Центр нормирования, стандартизации и классификации композитов
АО НПО Стеклопластик
Утверждён:03.10.2017 Федеральное агентство по техническому регулированию и метрологии (1290-ст)
Издан: Стандартинформ (2017 г. )
Нормативные ссылки:
ГОСТ Р 57747-2017ГОСТ Р 57747-2017ГОСТ Р 57747-2017ГОСТ Р 57747-2017ГОСТ Р 57747-2017ГОСТ Р 57747-2017ГОСТ Р 57747-2017ГОСТ Р 57747-2017ГОСТ Р 57747-2017ГОСТ Р 57747-2017ГОСТ Р 57747-2017ГОСТ Р 57747-2017ГОСТ Р 57747-2017ГОСТ Р 57747-2017ГОСТ Р 57747-2017ГОСТ Р 57747-2017ГОСТ Р 57747-2017ГОСТ Р 57747-2017ГОСТ Р 57747-2017ГОСТ Р 57747-2017