Скачать ГОСТ Р 57847-2017 Информатизация здоровья. Связь с медицинскими приборами индивидуального контроля состояния здоровья. Часть 10421. Специализация прибора. ПневмотахометрДата актуализации: 01.01.2021
|
| Обозначение: | ГОСТ Р 57847-2017 |
| Обозначение англ: | GOST R 57847-2017 |
| Статус: | введен впервые |
| Название рус.: | Информатизация здоровья. Связь с медицинскими приборами индивидуального контроля состояния здоровья. Часть 10421. Специализация прибора. Пневмотахометр |
| Название англ.: | Health informatics. Personal health device communication. Part 10421. Device specialization. Peak expiratory flow monitor |
| Дата добавления в базу: | 01.01.2019 |
| Дата актуализации: | 01.01.2021 |
| Дата введения: | 01.07.2019 |
| Область применения: | Требования стандарта распространяются на нормативное определение взаимосвязи между индивидуальными приборами мониторинга максимальной скорости выдоха (агентами) и управляющими устройствами (например, сотовыми телефонами, персональными компьютерами, индивидуальными медицинскими приборами или цифровыми приставками), обеспечивающей интероперабельность с автоматическим конфигурированием. В стандарте использованы материалы из других стандартов комплекса ISO/IEEE 11073, включая терминологию, информационные модели, стандарты прикладных профилей и стандарты транспортного уровня. Стандарт определяет использование кодировки специальных терминов, форматов и режимов работы в условиях применения средств телемедицины, ограничивающих возможности базовых конфигураций для обеспечения интероперабельности. Стандарт определяет общую основу функциональности пневмотахометра. Область применения стандарта ограничена индивидуальным контролем дыхания, и поэтому не включает спирометрию, применяемую в больницах. Требования стандарта не распространяются на непрерывный мониторинг и мониторинг в острый период болезни (например при оказании экстренной помощи). Среди приборов индивидуального контроля состояния здоровья, пневмотахометр является прибором, предназначенным для измерения дыхательной функции при таких респираторных заболеваниях, как астма и легочное закупоривание. Способность выявить ухудшение респираторного состояния до того, как возникнет необходимость экстренного вмешательства, повышает качество жизни человека при снижении общей стоимости лечения. Данные о респираторном состоянии накапливаются в персональном приборе мониторинга дыхания и направляются в центральный депозитарий данных для анализа и выполнения необходимых действий лечащим врачом. Эти данные по своей природе являются нерегулярными и передаются через определенные интервалы времени или при возникновении симптомов у пациента. Стандарт определяет моделирование данных и их промежуточный транспортный уровень согласно IEEE 11073-20601-2008, но не определяет метод измерения. Важное предупреждение — Настоящий стандарт не предназначен для того, чтобы обеспечивать безопасность, защищенность, здоровье или защиту окружающей среды. Лица, осуществляющие реализацию настоящего стандарта, несут ответственность за создание надлежащих инструкций или законных требований по обеспечению безопасности, защищенности, экологичности и здоровья. |
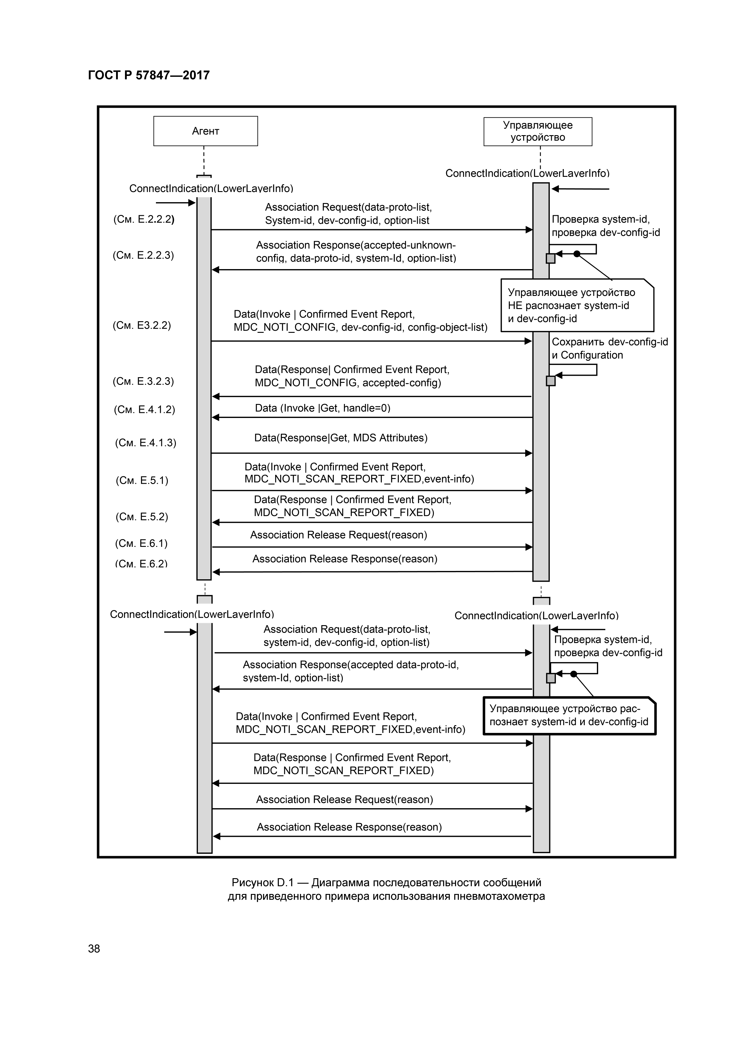
| Оглавление: | 1 Обзор 1.1 Область применения 1.2 Цель 1.3 Контекст 2 Нормативные ссылки 3 Термины, определения, обозначения и сокращения 3.1 Термины и определения 3.2 Обозначения и сокращения 4 Введение в стандарты комплекса ISO/IEEE 11073, посвященные приборам индивидуального контроля состояния здоровья 4.1 Общие положения 4.2 Введение в структуры моделирования IEEE 11073-20601 5 Понятия и методы, используемые в пневмотахометрах 5.1 Общие положения 5.2 PEF 5.3 Личный рекорд 5.4 FEV1 5.5 FEV6 6 Информационная модель предметной области пневмотахометра 6.1 Общие положения 6.2 Расширения классов 6.3 Диаграмма экземпляров объектов 6.4 Типы конфигурации 6.5 Объект MDS (система медицинских приборов) 6.6 Числовые объекты 6.7 Объекты массива проб реального времени 6.8 Объекты перечисления 6.9 Объекты PM-store 6.10 Объекты Scanner 6.11 Объекты расширения классов 6.12 Правила расширяемости информационной модели пневмотахометра 7 Модель сервисов пневмотахометра 7.1 Общие положения 7.2 Сервисы доступа к объектам 7.3 Сервисы отчета о событиях, связанных с доступом к объектам 8 Модель взаимосвязей пневмотахометра 8.1 Общие положения 8.2 Характеристики взаимосвязей 8.3 Процедура установления связи 8.4 Процедура конфигурирования 8.5 Рабочая процедура 8.6 Временная синхронизация 9 Тестовые взаимосвязи 9.1 Поведение при стандартной конфигурации 9.2 Поведение при расширенной конфигурации 10 Соответствие 10.1 Применимость 10.2 Спецификация соответствия 10.3 Уровни соответствия 10.4 Заявления о соответствии реализации Приложение A (справочное) Библиография Приложение B (обязательное) Дополнительные определения из ASN.1 Приложение C (обязательное) Назначение идентификаторов Приложение D (справочное) Примеры последовательности сообщений Приложение E (справочное) Примеры блоков данных протокола обмена Приложение ДА (справочное) Сведения о соответствии ссылочных международных стандартов и документов национальным стандартам |
| Разработан: | ФГАНУ Центральный научно-исследовательский и опытно-конструкторский институт роботехники и технической кибернетики ФБУ Консультационно-внедренческая фирма в области международной стандартизации и сертификации - Фирма ИНТЕРСТАНДАРТ |
| Утверждён: | 27.10.2017 Федеральное агентство по техническому регулированию и метрологии (1533-ст) |
| Издан: | Стандартинформ (2017 г. ) |





















































