Скачать ГОСТ Р 57872-2017 Телевидение вещательное цифровое. Система TV-Anytime. Передача метаданных по двунаправленной сети. Технология замены персонального профиля. Основные параметрыДата актуализации: 01.01.2021
|
| Обозначение: | ГОСТ Р 57872-2017 |
| Обозначение англ: | GOST R 57872-2017 |
| Статус: | введен впервые |
| Название рус.: | Телевидение вещательное цифровое. Система TV-Anytime. Передача метаданных по двунаправленной сети. Технология замены персонального профиля. Основные параметры |
| Название англ.: | Digital Video Broadcasting. System TV-Anytime. Delivery of metadata over a bi-directional network. The technology of changing the personal profile. Basic parameters |
| Дата добавления в базу: | 01.01.2019 |
| Дата актуализации: | 01.01.2021 |
| Дата введения: | 01.08.2018 |
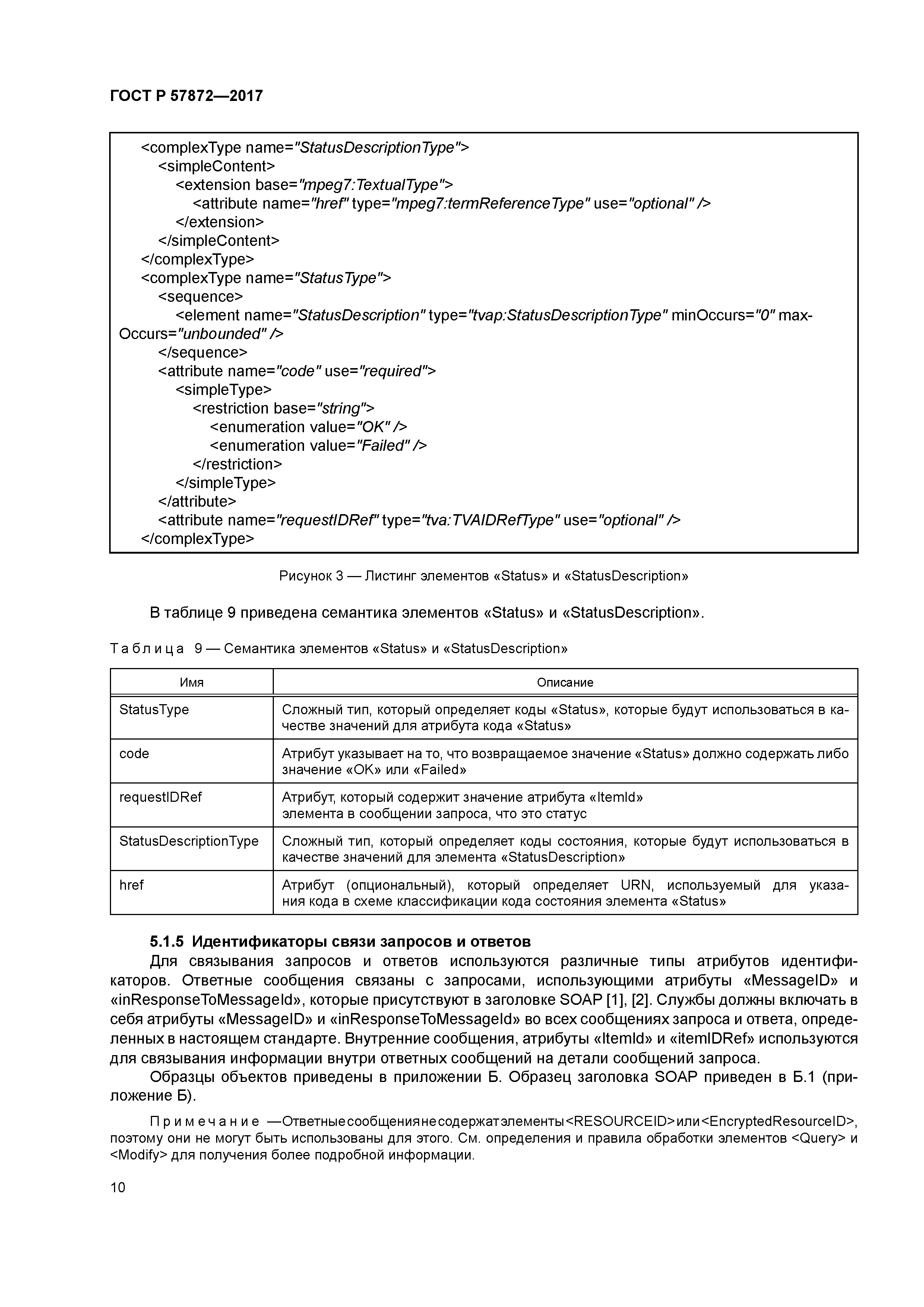
| Область применения: | Стандарт определяет технологии запросов метаданных и представления данных о персональном профиле клиента на основе IP и web-служб. Стандарт специфицирует параметры процесса инициации средств для запроса метаданных TV-Anytime из служб метаданных, базирующихся на IP, а также предоставляет сценарии обслуживания. |
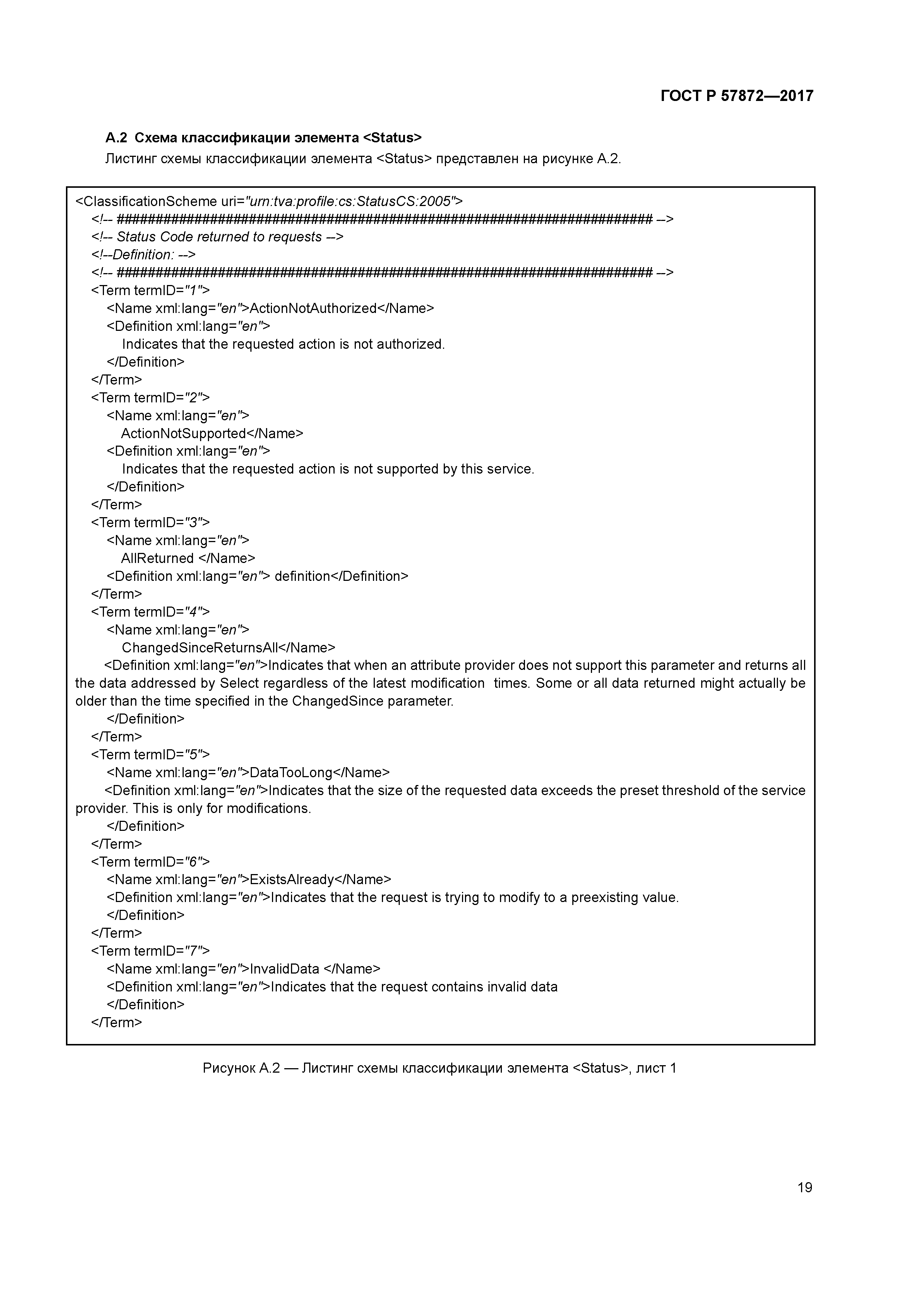
| Оглавление: | 1 Область применения 2 Нормативные ссылки 3 Термины, определения, обозначения и сокращения 3.1 Термины и определения 3.2 Обозначения 3.3 Сокращения 4 Тип службы профиля пользователя TV-Anytime 4.1 Определение типа службы 4.2 Обнаружение местоположения службы идентификации 4.3 Модель данных TV-Anytime 5 Интерфейс сообщения профиля клиента TV-Anytime 5.1 Общие вопросы 5.2 Параметры процессов запросов данных 5.3 Параметры процессов изменения данных 6 Конфиденциальность и безопасность 6.1 Требования конфиденциальности 6.2 Требования безопасности Приложение А (обязательное) Схема и классификация схемы Приложение Б (справочное) Образцы объектов Приложение В (обязательное) Файлы схемы замены профиля пользователя TV-Anytime Библиография |
| Разработан: | АНО НТЦИ |
| Утверждён: | 31.10.2017 Федеральное агентство по техническому регулированию и метрологии (1586-ст) |
| Издан: | Стандартинформ (2017 г. ) |
| Список изменений: |
|
| Нормативные ссылки: |




























Текстовое изменение Поправка от 15.02.2018