Скачать Единые нормы выработки на экскавацию и транспортирование горной массы на открытых работах

Дата актуализации: 01.01.2021

Единые нормы выработки на экскавацию и транспортирование горной массы на открытых работах

Статус:не действует
Название рус.:Единые нормы выработки на экскавацию и транспортирование горной массы на открытых работах
Дата добавления в базу:01.01.2019
Дата актуализации:01.01.2021
Оглавление:Общая часть
Техническая часть
   Классификация горных пород по трудности экскавации для одноковшовых экскаваторов
   Коэффициенты разрыхления горной массы, наполнения и использования вместимости ковша экскаватора
   Характеристика пород по трудности экскавации для многоковшовых экскаваторов
   Коэффициенты разрыхления горной массы и использования вместимости ковша многоковшовых экскаваторов
Нормативная часть
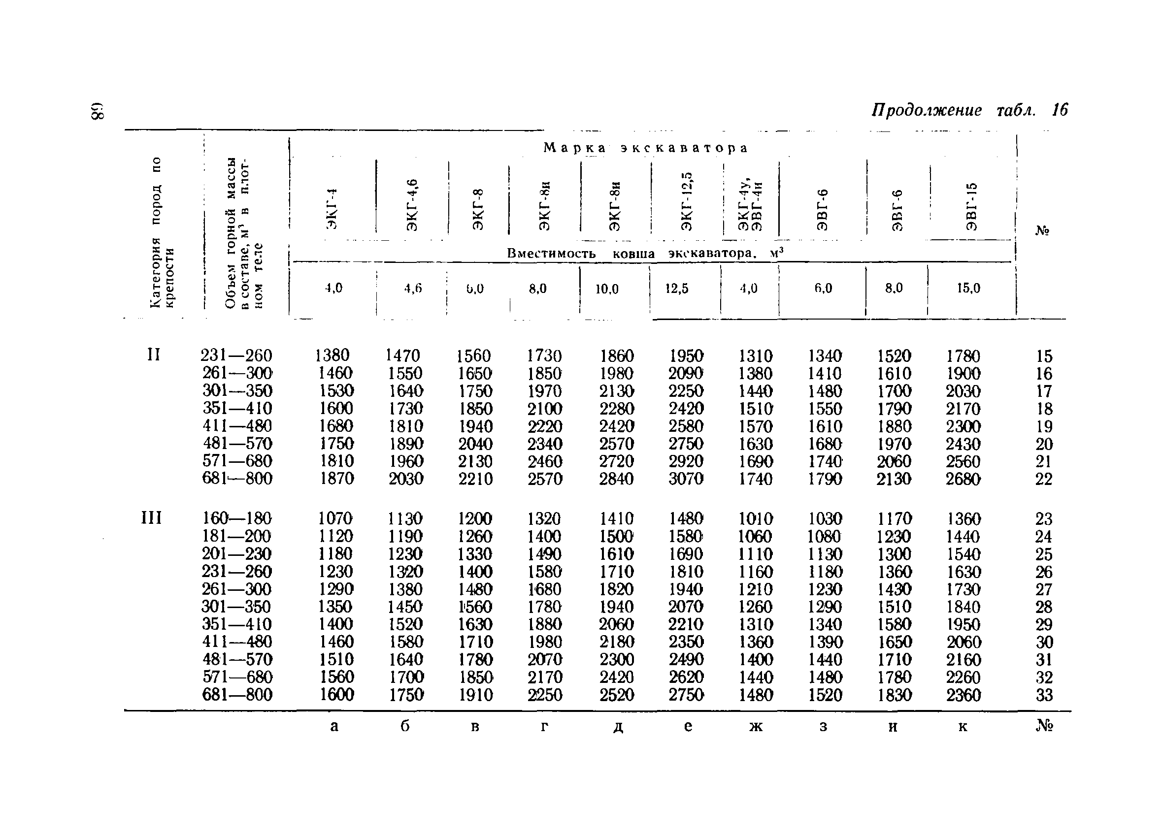
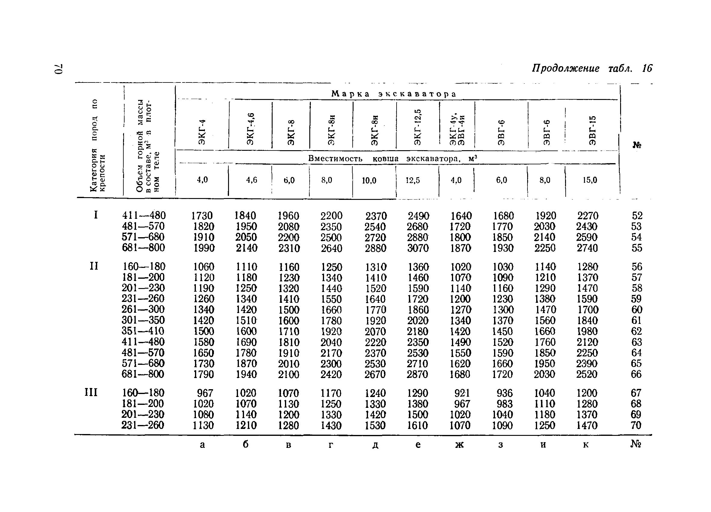
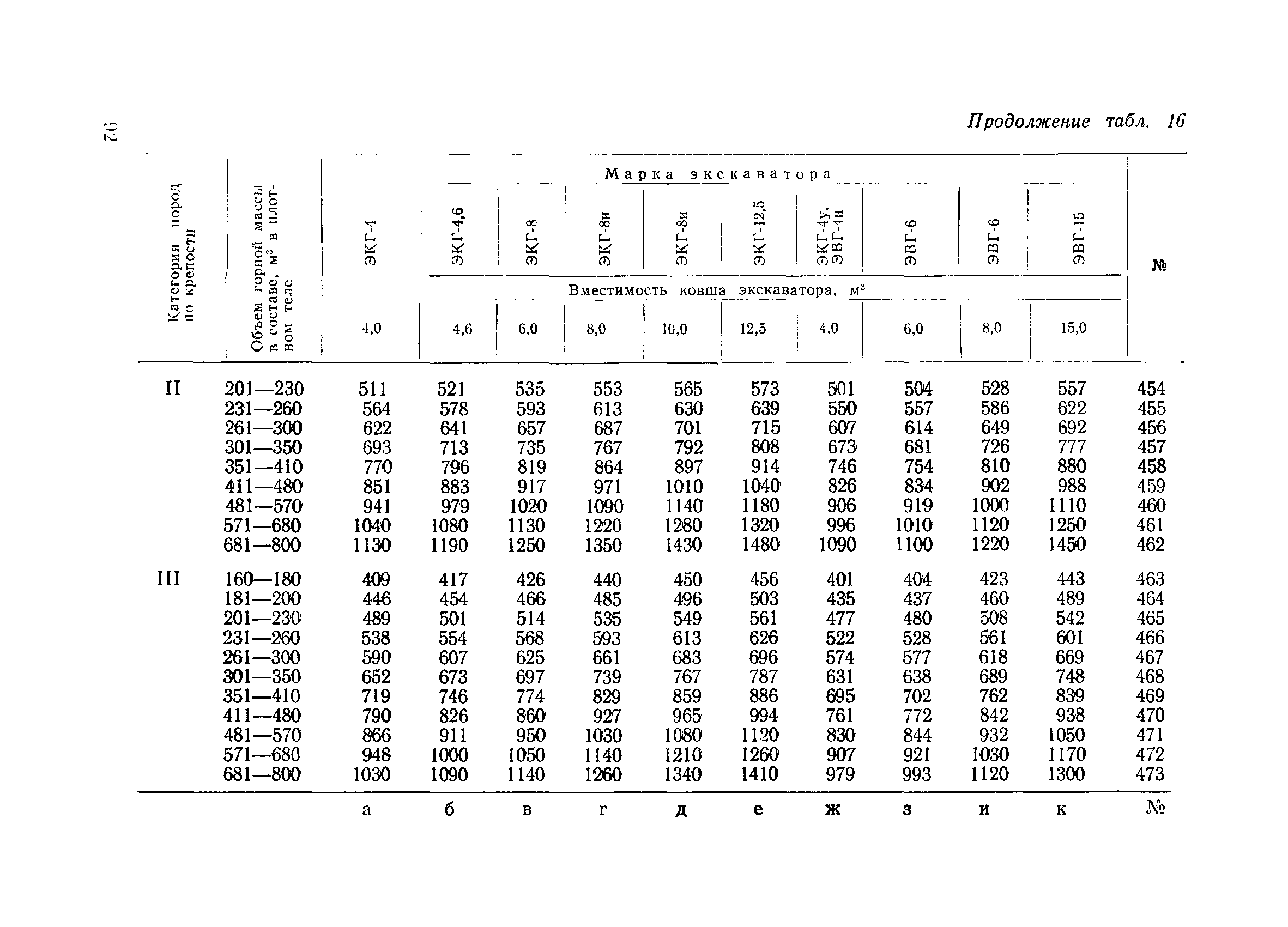
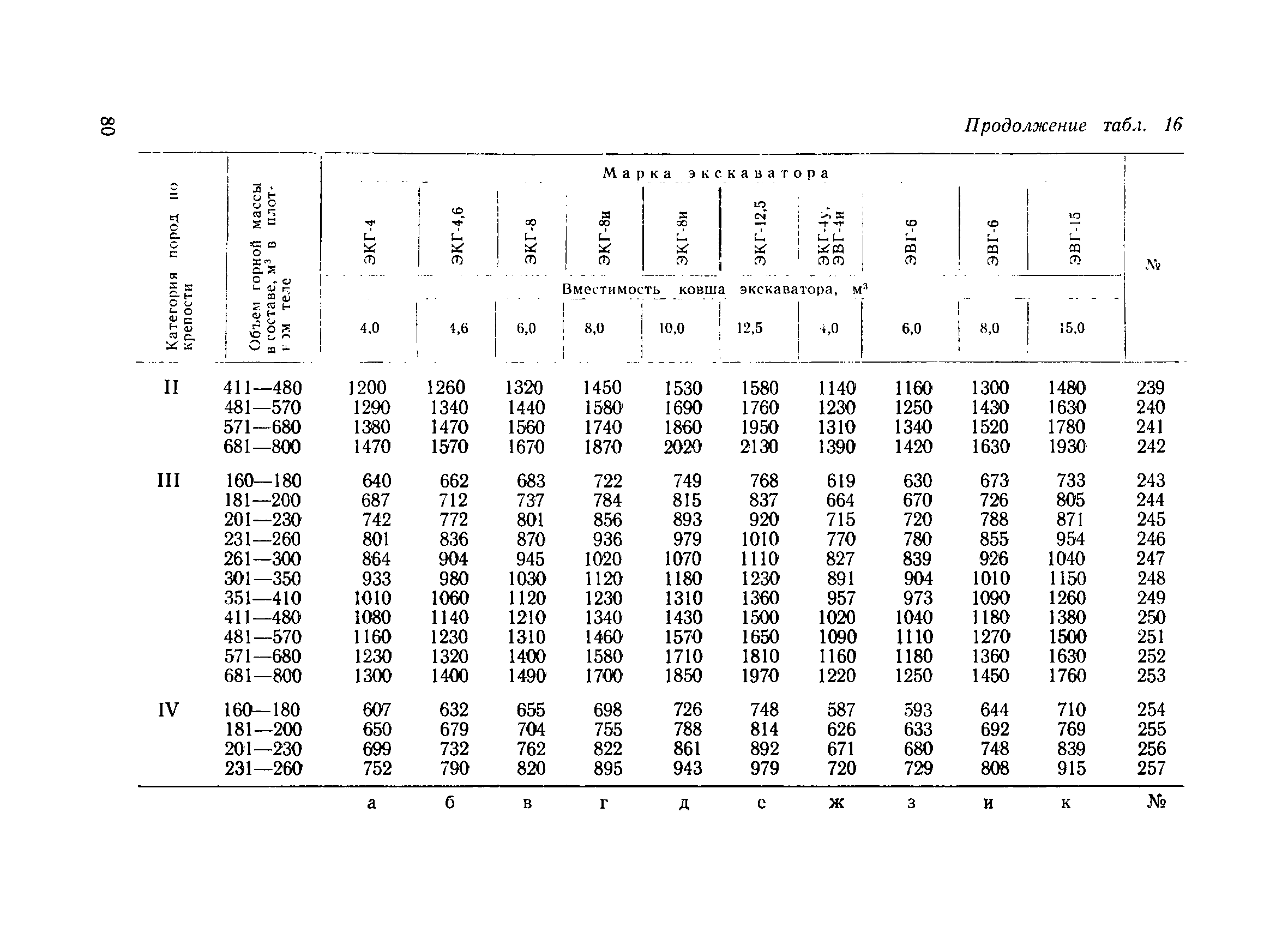
   Раздел 1. Нормы выработки на экскаваторные работы
   А. Одноковшовые экскаваторы
§ 1. Погрузка горной массы экскаваторами типа прямая лопата в железнодорожные вагоны, автосамосвалы и на конвейерный транспорт
   Нормы выработки на погрузку горной массы экскаваторами типа прямая лопата в железнодорожные вагоны
   Нормы выработки на погрузку породы экскаваторами типа прямая лопата в автосамосвалы
   Нормы выработки на погрузку угля экскаваторами типа прямая лопата в автосамосвалы
   Нормы выработки на погрузку угля одноковшовыми экскаваторами типа прямая лопата на конвейер с перегрузкой в аккумулирующие бункера
   Поправочные коэффициенты
§ 2. Прием породы в железнодорожные отвалы экскаваторами типа прямая лопата и драглайн
   Нормы выработки на прием породы в железнодорожные отвалы экскаваторами типа прямая лопата и драглайн
   Поправочные коэффициенты
§ 3. Экскавация в переэкскавация горной массы экскаваторами типа прямая лопата и драглайн при работе в отвал
   Нормы выработки на экскавацию в переэкскавацию горной массы экскаваторами типа прямая лопата при работе в отвал
   Нормы выработки на экскавацию и переэкскавацию горной массы экскаваторами типа драглайн при работе в отвал
   Поправочные коэффициенты
   Б. Многоковшовые экскаваторы
§ 4. Погрузка горной массы роторными экскаваторами в железнодорожные вагоны и на конвейерный транспорт (ленточные отвалообразователи и транспортно-отвальные мосты)
   Нормы выработки на погрузку породы в железнодорожные составы роторными экскаваторами в торцовом и боковом забоях при одном забойном пути
   Нормы выработки на погрузку породы в железнодорожные составы роторными экскаваторами в торцовом и боковом забоях при двух забойных путях
   Нормы выработки на погрузку угля в железнодорожные составы роторными экскаваторами в торцовом и боковом забоях при одном забойном пути
   Нормы выработки на погрузку горной массы роторными экскаваторами ЭРШР-1600 40/7 в торцовом и боковом забоях на конвейерный транспорт (транспортно-отвальные мосты)
   Поправочные коэффициенты
   Раздел II. Нормы выработки на транспортные работы
 § 5. Транспортирование горной массы локомотивосоставами при погрузке одноковшовыми и многоковшовыми экскаваторами
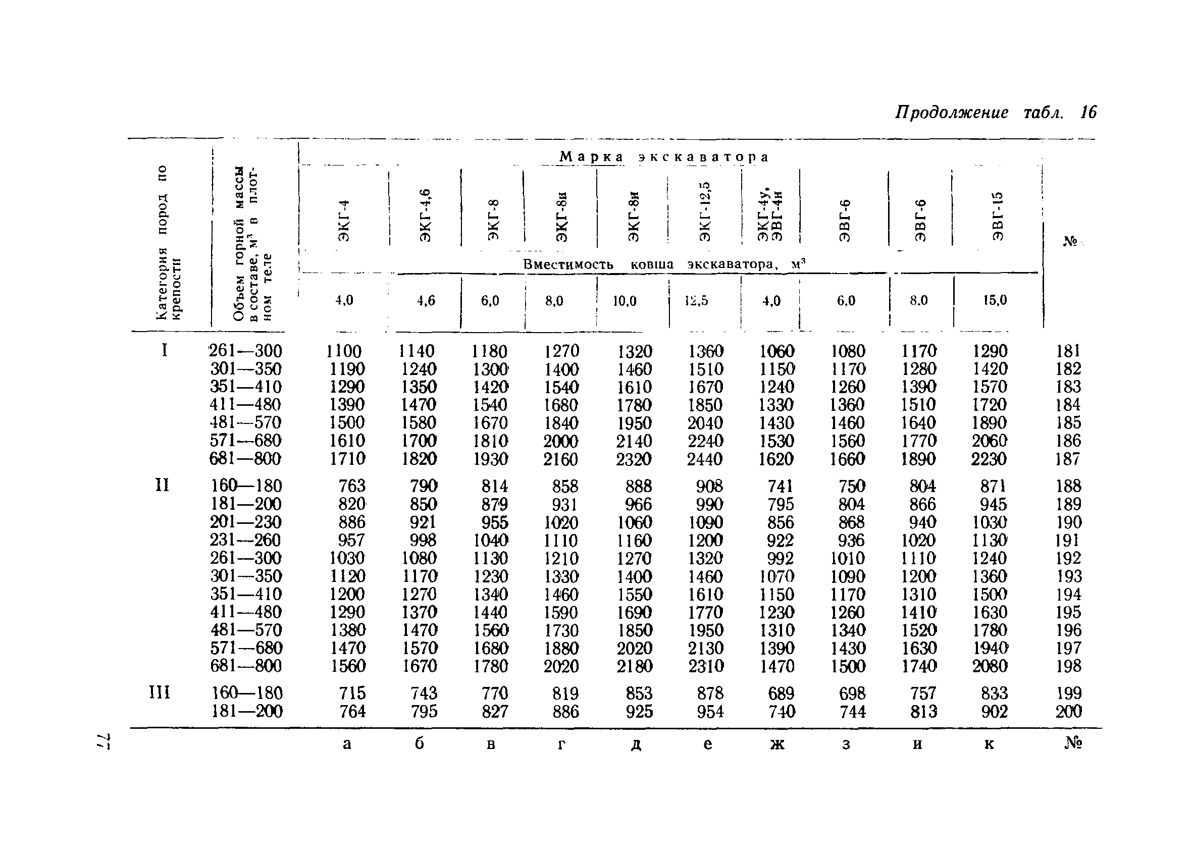
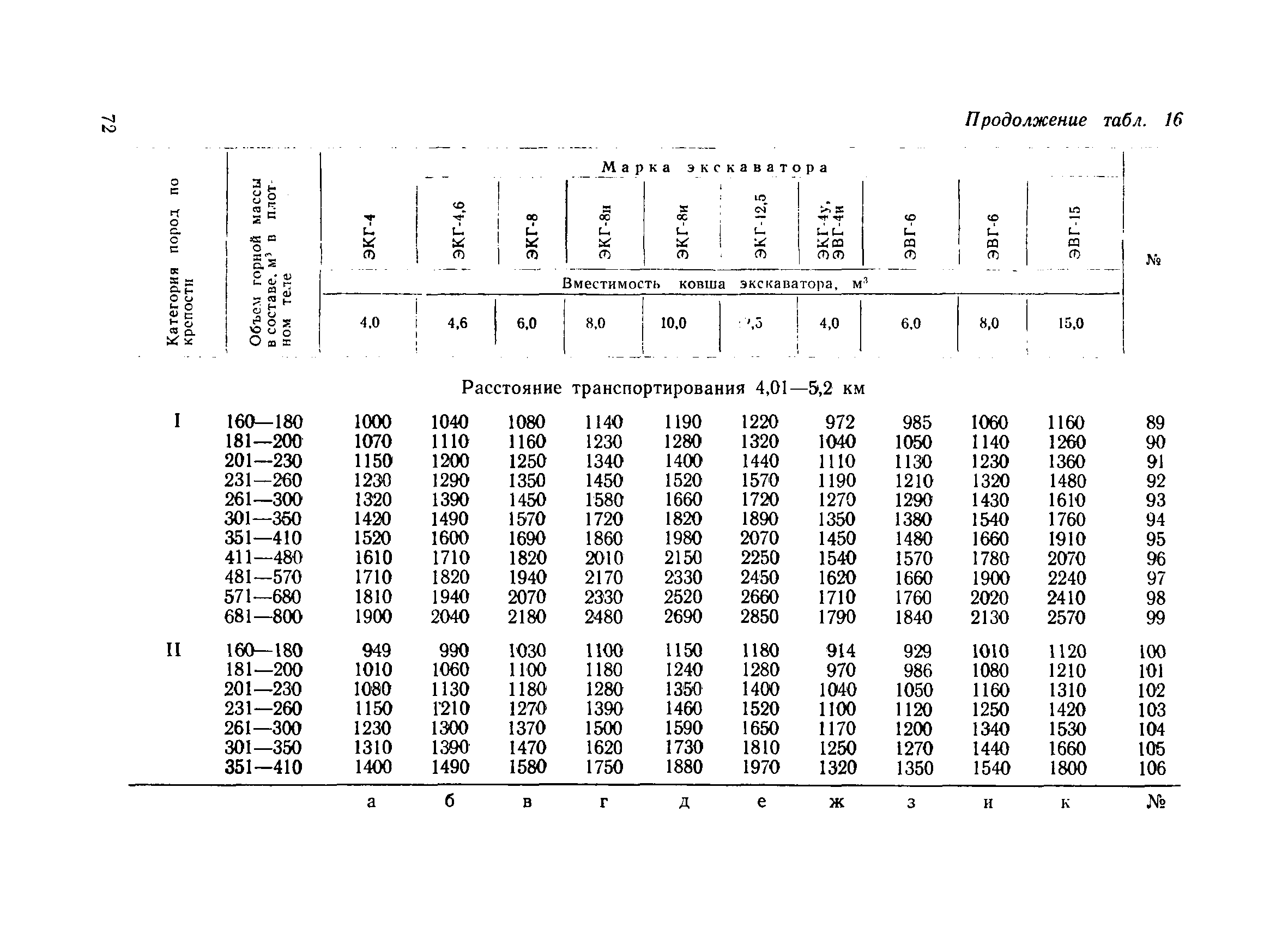
   Нормы выработки на транспортирование горной массы локомотивосоставами в думпкарах при погрузке одноковшовыми экскаваторами типа прямая лопата
   Нормы выработки на транспортирование угля локомотивосоставами при погрузке одноковшовыми экскаваторами типа прямая лопата
   Нормы выработки на транспортирование горной массы локомотивосоставами в думпкарах при погрузке роторными экскаваторами
   Нормы выработки на транспортирование угля локомотивосоставами в полувагонах при погрузке роторными экскаваторами
   Поправочные коэффициенты
§ 6. Транспортирование горной массы автосамосвалами при погрузке одноковшовыми экскаваторами
   Нормы выработки па транспортирование горной массы автосамосвалами при погрузке экскаваторами типа прямая лопата
   Нормы выработки на транспортирование угля автосамосвалами при погрузке экскаваторами типа прямая лопата
   Поправочные коэффициенты
Раздел III. Нормативы времени и расчетные данные, принятые для определения норм выработки
А. Одноковшовые экскаваторы
   Нормативы времени
   Время на подготовительно-заключительные операции
   Время на цикл экскавации при погрузке в транспортные сосуды
   Время на цикл экскавации при приеме породы в железнодорожные отвалы
   Время на цикл экскавации в отвал экскаваторами типа прямая лопата
   Время на цикл экскавации в отвал экскаваторами типа драглайн
   Технологические перерывы при погрузке в железнодорожные составы и на конвейер
   Технологические перерывы при погрузке в автосамосвалы
   Время на отдых
   Расчетные данные
   Объем горной массы в ковше экскаваторами типа прямая лопата и драглайн за цикл экскавации
   Объем горной массы в автосамосвале
   Количество ковшей, погружаемых в локомотивосостав
   Количество ковшей, погружаемых в автосамосвал
   Время погрузки локомотивосостава экскаваторами типа прямая лопата
   Время погрузки автосамосвала экскаваторами типа прямая лопата
Железнодорожный транспорт
   Нормативное время на подготовительно-заключительные операции и техническое обслуживание
   Средние скорости движения локомотивосоставов (электровозов и тепловозов) и нормативы времени на рейс
   Вспомогательные операции и технологические перерывы
Автомобильный транспорт
   Нормативы времени на подготовительно-заключительные операции
   Средние скорости движения автосамосвалов и нормативы времени на рейс
   Вспомогательные операции и технологические перерывы при транспортировании породы и угля автосамосвалами на рейс
Б. Многоковшовые экскаваторы
   Нормативы времени
   Время на подготовительно-заключительные операции
   Вспомогательные операции
   Время на отдых
   Расчетные данные
   Коэффициенты забоя цепных экскаваторов Кз в зависимости от способа отработки уступа и забоя
   Коэффициенты забоя К3 для роторных экскаваторов
   Коэффициенты потерь экскавируемого материала Кз для углей и пород
   Забойная производительность цепных экскаваторов при работе во фронтальном забое
   Забойная производительность цепных экскаваторов при работе в торцовом забое
   Забойная производительность роторных экскаваторов при работе в торцовом и боковом забоях
   Время погрузки состава цепным экскаватором
   Время погрузки состава Тпс многоковшовыми роторными экскаваторами
Приложение 1. Температурные зоны
Приложение 2. Методика расчета норм выработки
   А. Одноковшовые экскаваторы
   Б. Многоковшовые экскаваторы
Приложение 3. Краткая техническая характеристика горнотранспортного оборудования
Приложение 4. Схемы, номограммы
Разработан: НИС производственного объединения Кемеровоуголь
НИС производственного объединения Челябинскуголь
Утверждён:22.05.1978 Министерство угольной промышленности СССР (USSR Ministry of the Coal Industry )
Принят:27.04.1978 ЦК профсоюза рабочих угольной промышленности СССР (4)