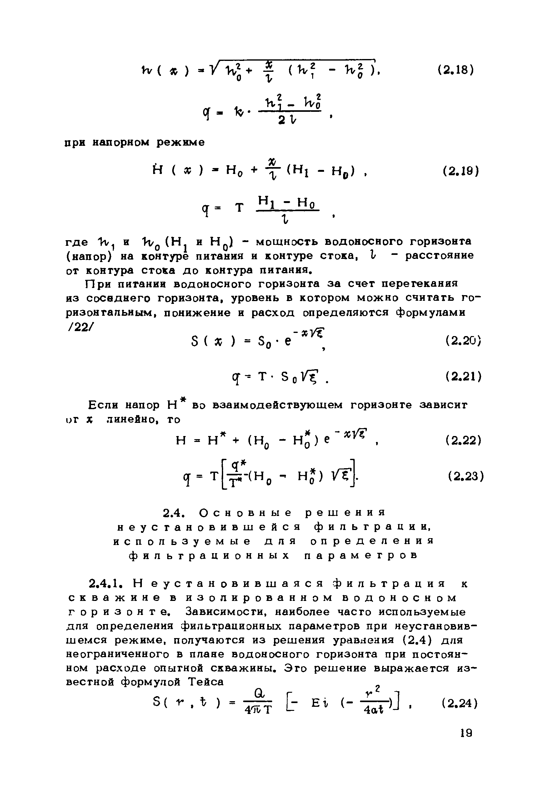
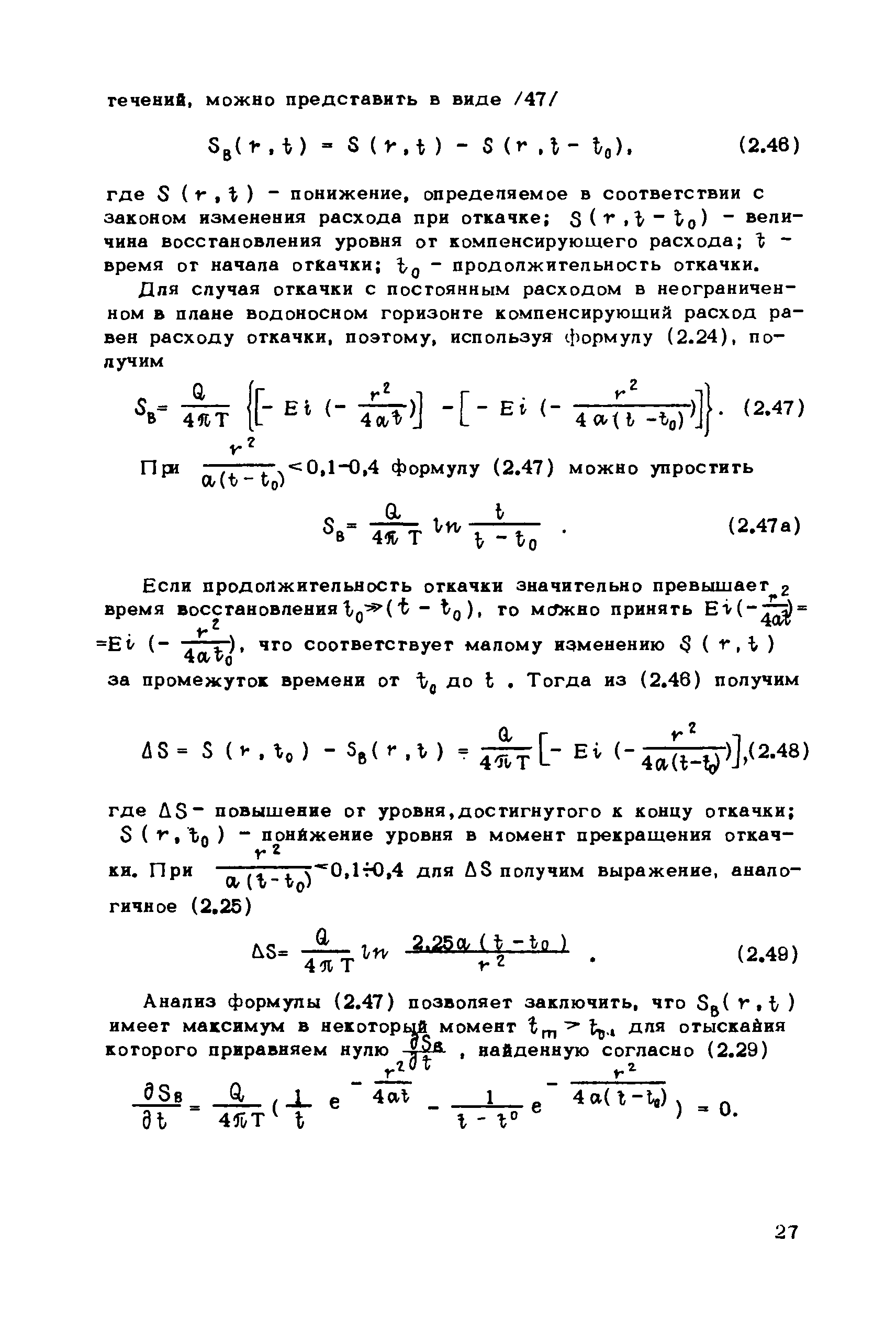
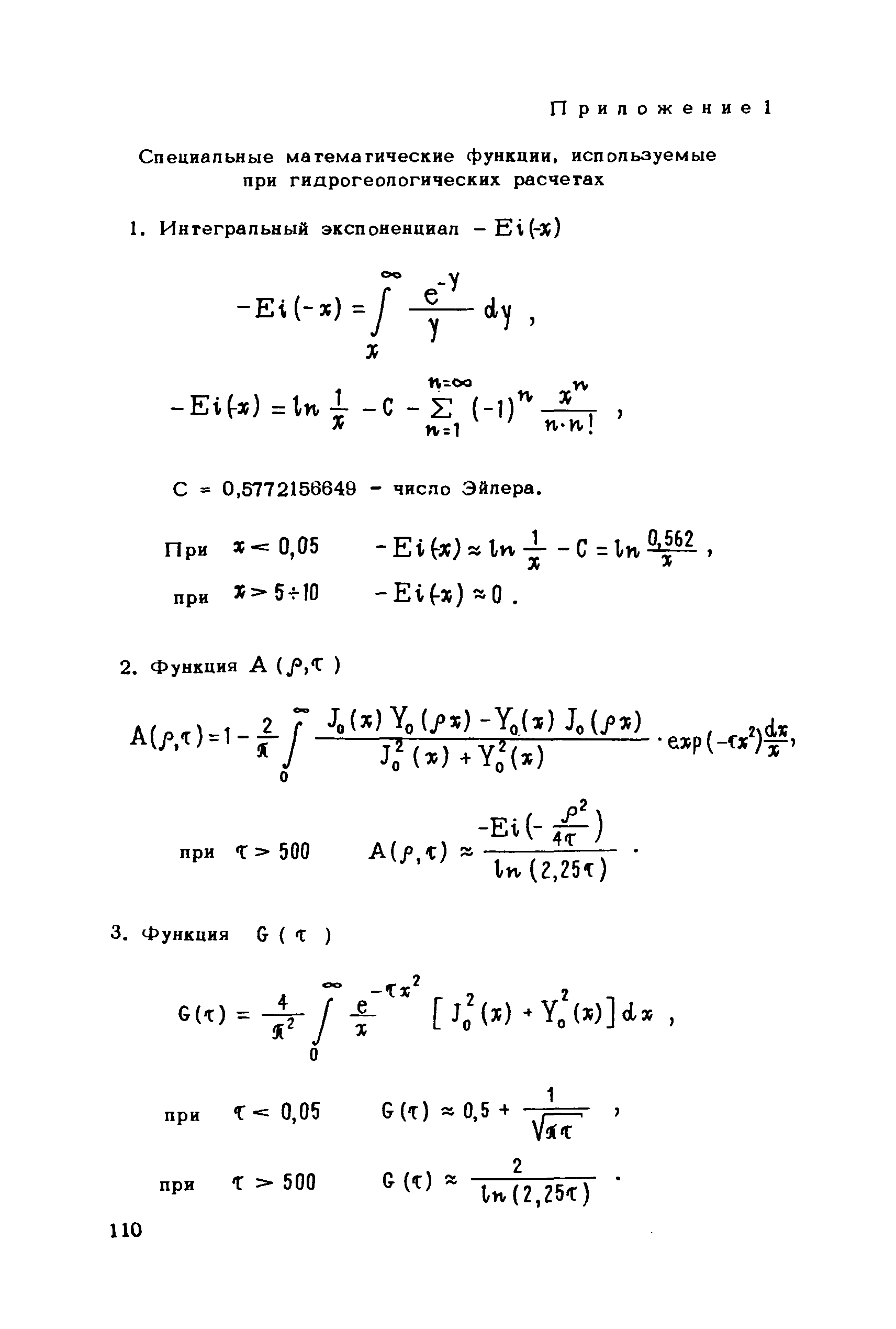
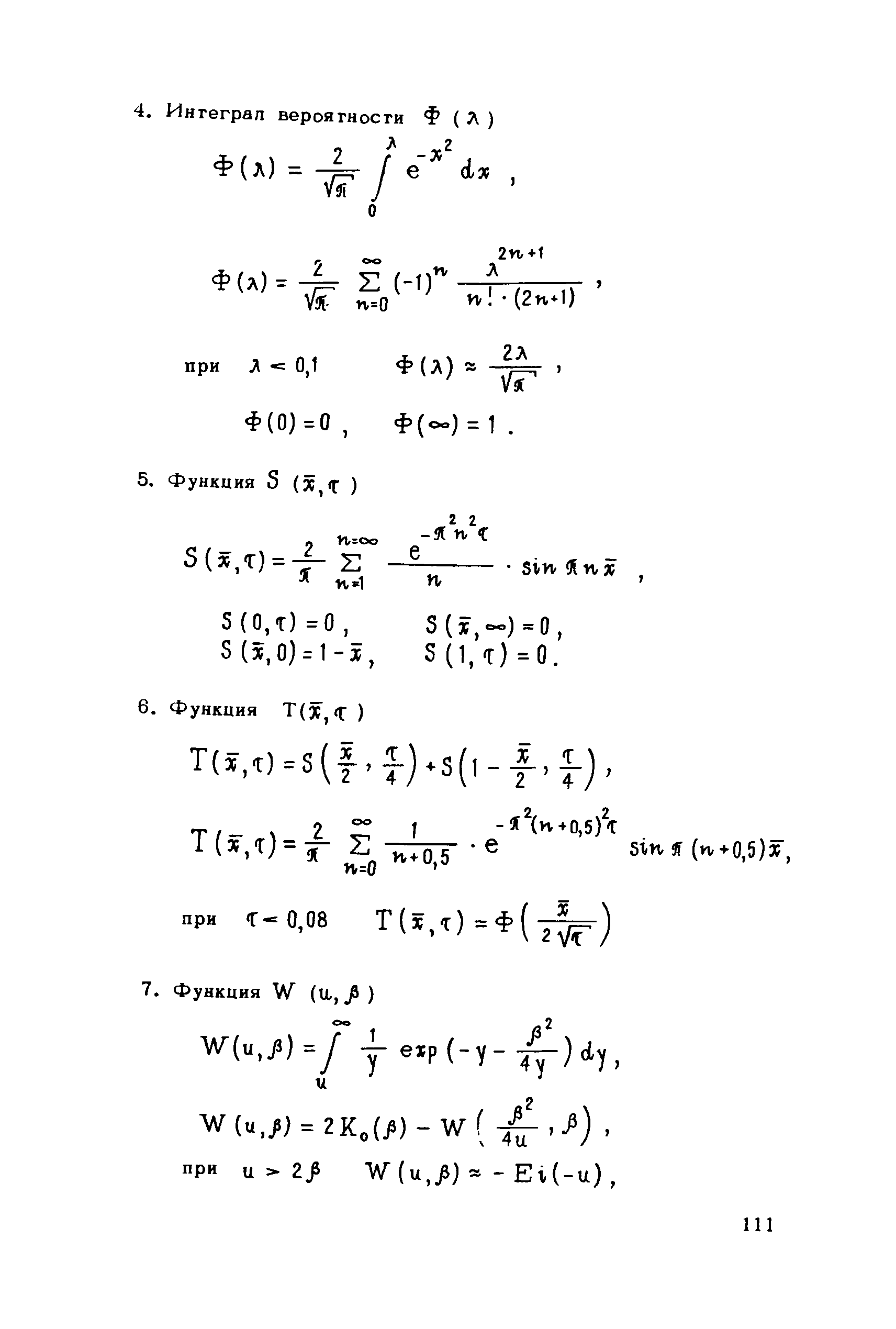
Скачать Методические указания по определению гидрогеологических параметров при разведке и освоении угольных месторожденийДата актуализации: 01.01.2021
Методические указания по определению гидрогеологических параметров при разведке и освоении угольных месторождений| Статус: | справочные материалы, мп, тпр | | Название рус.: | Методические указания по определению гидрогеологических параметров при разведке и освоении угольных месторождений | | Дата добавления в базу: | 01.01.2019 | | Дата актуализации: | 01.01.2021 | | Область применения: | В документе изложена методика определения основных фильтрационных параметров водоносных горизонтов по результатам опытных откачек и гидрогеологических наблюдений за режимом подземных вод | | Оглавление: | Введение 1. Краткая характеристика основных фильтрационных параметров 1.1. Коэффициент фильтрации и проводимость 1.2. Водоотдача и упругая водоотдача 1.3. Коэффициенты уровнепроводности и пьезопроводности 1.4. Некоторые дополнительные фильтрационные параметры 2. Основные дифференциальные уравнения фильтрации и их решения в связи с определением фильтрационных параметров 2.1. Исходные дифференциальные уравнения фильтрации 2.2. Гидродинамическая типизация пластов, граничные и начальные условия фильтрации 2.3. Простейшие аналитические решения установившейся фильтрации, используемые для определения фильтрационных параметров 2.4. Основные решения неустановившейся фильтрации, используемые для определения фильтрационных параметров 2.5. Основные сведения о методах определения фильтрационных параметров по результатам откачек 3. Методика интерпретации результатов опытных откачек 3.1. Качественная интерпретация результатов и предварительная опенка общих закономерностей фильтрации при кустовых откачках 3.2. Основные способы определения фильтрационных параметров в неограниченном изолированном однородном горизонте 3.3. Определение параметров изолированных водоносных горизонтов при типовых граничных условиях 3.4. Определение параметров слоистых водоносных толщ при установившемся режиме фильтрации с учетом перетекания 3.5. Методы определения параметров слоистых толщ по результатам опытных откачек при неустановившемся режиме с учетом перетекания 3.6. Определение параметров слоистых водоносных толщ с помощью приближенных решений, полученных методом интегральных соотношений 3.7. Некоторые замечания о методах интерпретации одиночных опытных откачек 4. Методика интерпретации результатов гидрогеологических наблюдений, проводимых в период эксплуатации месторождений 4.1. Качественная интерпретация результатов гидрогеологических наблюдений 4.2. Определение основных фильтрационных параметров по результатам гидрогеологических наблюдений 4.3. Интерпретация результатов опытно-эксплуатационного водопонижения 5. Специальные методы определения фильтрационных параметров 5.1. Операционный метод 5.2. Метод В.Б. Георгиевского 5.3. Определение гидрогеологических параметров на электрических моделях Приложение 1. Специальные математические функции, используемые при гидрогеологических расчетах Приложение 2. Таблица значения функции -Ei Приложение 3. Таблица значения функции A Приложение 4. Таблица значения функции G Приложение 5. Интеграл вероятности Ф Приложение 6. Таблица значения функции S Приложение 7. Таблица значения функции T Приложение 8. Таблица значения функции W Приложение 9. Таблица значения функции H Приложение 10. Значения функции e в степени x Приложение 11. Таблица значения функции Ei Литература | | Разработан: | ВНИМИ
| | Утверждён: | Министерство угольной промышленности СССР (USSR Ministry of the Coal Industry )
| | Издан: | ВНИМИ (1974 г. )
|
                                                                                                                                           
|