Скачать А3-977 Руководящий материал по центральным кондиционерам. Часть II. Методические материалы по расчету и выбору оборудования центральных кондиционеров КТЦЗ. Альбом I. Методика расчета камер орошенияДата актуализации: 01.01.2021
|
| Обозначение: | А3-977 |
| Обозначение англ: | А3-977 |
| Статус: | справочные материалы, мп, тпр |
| Название рус.: | Руководящий материал по центральным кондиционерам. Часть II. Методические материалы по расчету и выбору оборудования центральных кондиционеров КТЦЗ. Альбом I. Методика расчета камер орошения |
| Дата добавления в базу: | 01.01.2019 |
| Дата актуализации: | 01.01.2021 |
| Область применения: | Руководящий материал по центральным кондиционерам КТЦЗ предназначен для проектирования систем вентиляции и кондиционирования воздуха, выбора кондиционера и может использоваться в работе проектных, учебных, научно-исследовательских, планирующих, сбытовых, монтажных и наладочных организаций. |
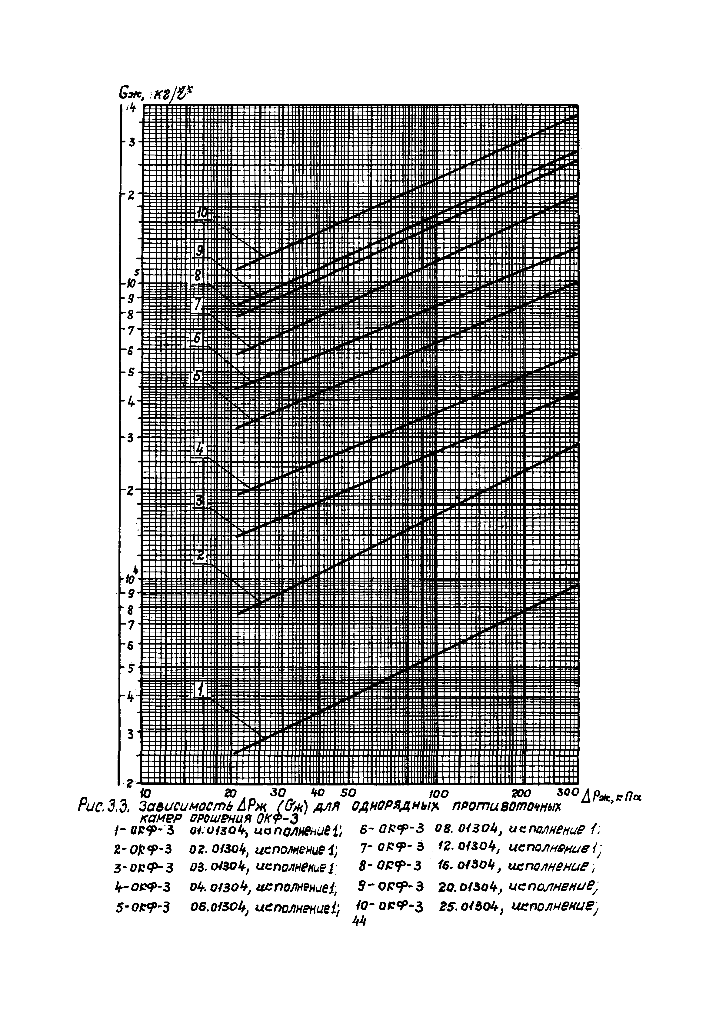
| Оглавление: | Введение 1 Условные обозначения 2 Методика расчета камер орошения 3 Гидравлические характеристики камер орошения 4 Расчет камер орошения 4.1 Расчет камеры орошения при политропном режиме обработки воздуха. Прямая задача. Расчет выполняется по методике II 4.2 Расчет камеры орошения при политропном режиме обработки воздуха. Обратная задача. Расчет выполняется по методике I 4.3 Расчет камеры орошения при адиабатном режиме обработки воздуха. Прямая задача. Расчет выполняется по методике I 4.4 Расчет камеры орошения при адиабатном режиме обработки воздуха. Обратная задача. Расчет выполняется по методике I 4.5 Расчет камеры орошения при политропном режиме обработки холодного воздуха теплой водой (испарительный нагрев). Прямая задача. Расчет выполняется по методике II 4.6 Расчет камеры орошения при политропном режиме обработки холодного воздуха теплой водой (испарительный нагрев). Обратная задача. Расчет выполняется по методике II 5 Примеры расчета Приложение 1. Рисунок 2. 1. Зависимость для форсунки ЭШФ 7/10 Рисунок 2.2. Зависимость для форсунки УЦ14-10/15 Рисунок 2.3. Зависимость для двухрядных камер орошения ОКФ—З (исполнение 1 и 2) Рисунок 2.4. Зависимость для однорядных прямоточных камер орошения 0КФ-З (исполнение 1 и 2) Рисунок 2.5. Зависимость для однорядных противоточных камер орошения ОКФ-З (исполнение 1) Рисунок 2.6. Зависимость для блоков тепломассообмена БТМ2.1-3 и БТМ2.2-3 Рисунок 2.7. Зависимость для камер орошения ОКС—3 (исполнение 1 и 2) Рисунок 3. 1. Зависимость для двухрядных камер орошения ОКФ—3 Рисунок 3.2. Зависимость для однорядных прямоточных камер орошения ОКФ—3 и блока тепло— массообмена БТМ—3 Рисунок 3.3. Зависимость для однорядных противоточных камер орошения ОКФ-3 Рисунок 3.4. Зависимость для камер орошения ОКС—З Рисунок 4.1. Зависимость для встроенного водонагревателя камер орошения ОКС2—3 Рисунок 4.2. Зависимость для встроенного водонагревателя камер орошения ОКС2—3 Приложение 2 Пример 1. Политропный режим обработки воздуха. Прямая задача. Расчет по методике II (раздел 4.1) в СИ Пример 2. Политропный режим обработки воздуха. Прямая задача. Расчет по методике II (раздел 4.1) в системе МКГСС Пример 3. Политропный режим обработки воздуха. Прямая задача. Расчет по методике II (разделы 4.1, 4.7) в системе МКГСС Пример 4. Политропный режим обработки воздуха. Прямая задача. Расчет по методике II (раздел 4.1) в системе МКГСС Пример 5. Политропный режим обработки воздуха. Прямая задача. Расчет по методике II (раздел 4.1) в - системе МКГСС Пример 6. Политропный режим обработки воздуха. Обратная задача. Расчет по методике I (раздел 4.2) в системе МКГСС Пример 7. Политропный режим обработки воздуха. Обратная задача. Расчет по методике I (разделы 4.2, 4.7) в системе МКГСС Пример 8. Адиабатный режим обработки воздуха. Прямая задача. Расчет по методике I (раздел 4.3) в СИ Пример 9. Адиабатный режим обработки воздуха с переменным расходом разбрызгиваемой воды. Прямая задача. Расчет по методике I (раздел 4.3) в системе МКГСС Пример 10. Адиабатный режим обработки воздуха. Обратная задача. Расчет по методике I (раздел 4.4) в системе МКГСС Пример 11. Политропный режим обработки холодного воздуха теплой водой (испарительный нагрев). Прямая задача. Расчет по методике II (разделы 4.5, 4.7) в системе МКГСС Пример 12. Политропный режим обработки холодного воздуха теплой водой (испарительный нагрев). Обратная задача. Расчет по методике II (раздел 4.6) в СИ Пример 13. Охлаждение воды в камере орошения: (политропный режим обработки воздуха). Обратная задача. Расчет по методике I (раздел 4.2) в СИ Пример 14. Охлаждение воды в камере орошения (политропный режим обработки воздуха). Обратная задача. Расчет по методике I (раздел 4.2) в СИ Список литературы |
| Разработан: | ВНИИкондиционер Харьковский завод Кондиционер |
| Утверждён: | Сантехниипроект |










































































