Скачать ГОСТ Р 57870.2-2017 Телевидение вещательное цифровое. Вспомогательные дисплеи и потоки. Часть 2. Интерфейсы, архитектура идентификации и вспомогательной синхронизации, процедурыДата актуализации: 01.01.2021
|
| Обозначение: | ГОСТ Р 57870.2-2017 |
| Обозначение англ: | GOST R 57870.2-2017 |
| Статус: | введен впервые |
| Название рус.: | Телевидение вещательное цифровое. Вспомогательные дисплеи и потоки. Часть 2. Интерфейсы, архитектура идентификации и вспомогательной синхронизации, процедуры |
| Название англ.: | Digital video broadcasting (DVB). Companion screens and streams. Part 2. Interfaces, architecture for identification and companion synchronization, procedures |
| Дата добавления в базу: | 01.01.2019 |
| Дата актуализации: | 01.01.2021 |
| Дата введения: | 01.08.2018 |
| Область применения: | Стандарт является второй частью в группе стандартов, определяющих правила использования новых дополнительных медийных услуг на вспомогательных дисплеях (смартфоны, планшеты и т.п.), дополняющих основной контент, отображаемый на телевизионном устройстве (ТВ-устройство). Стандарт определяет архитектуру идентификации и вспомогательной синхронизации с использованием интерфейсов между ТВ-устройством и приложением вспомогательного дисплея. В стандарте описаны основные процедуры, относящиеся к интерфейсам. Требования стандарта следует учитывать при разработке, изготовлении и эксплуатации устройств и систем, использующих вспомогательные дисплеи. |
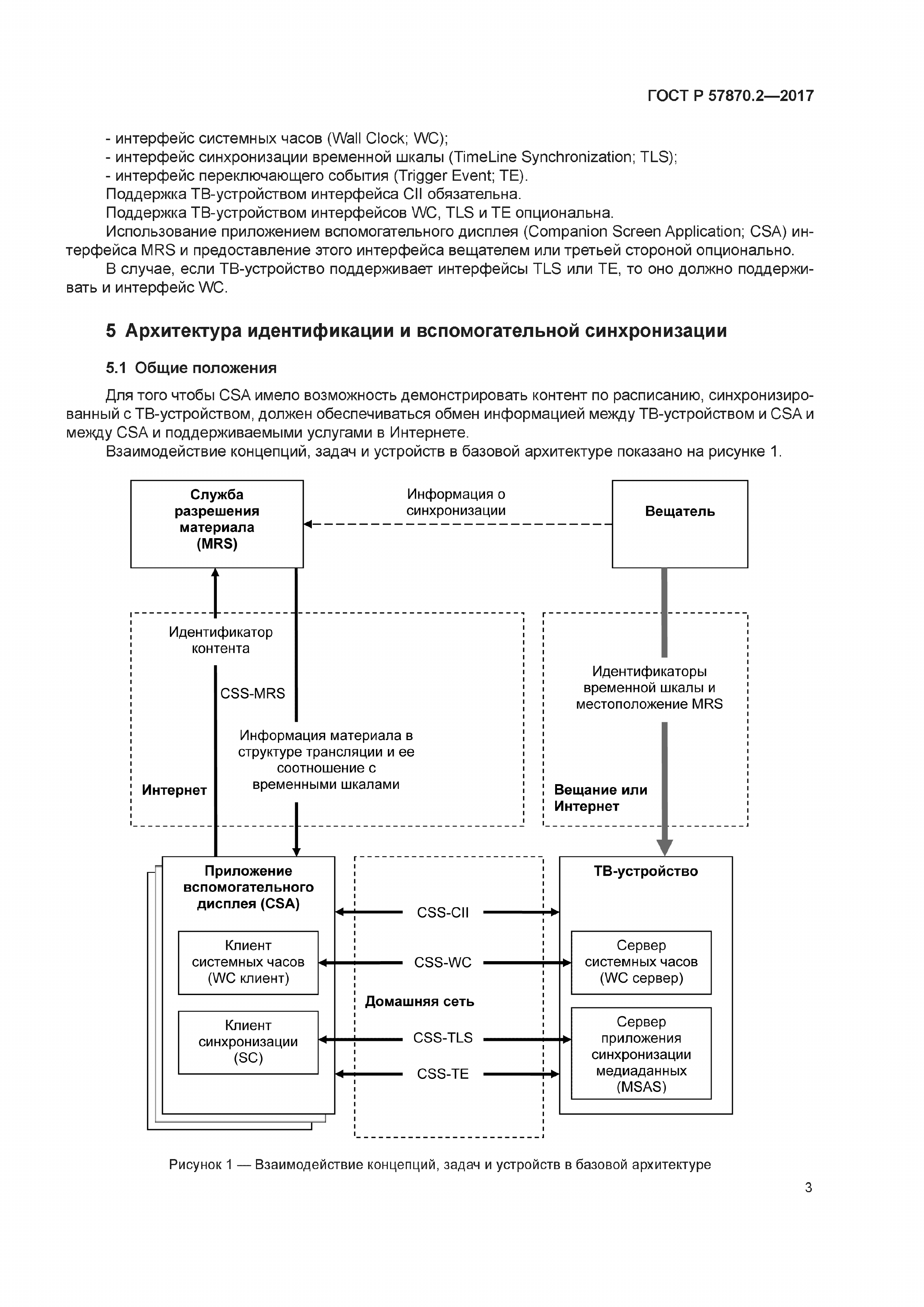
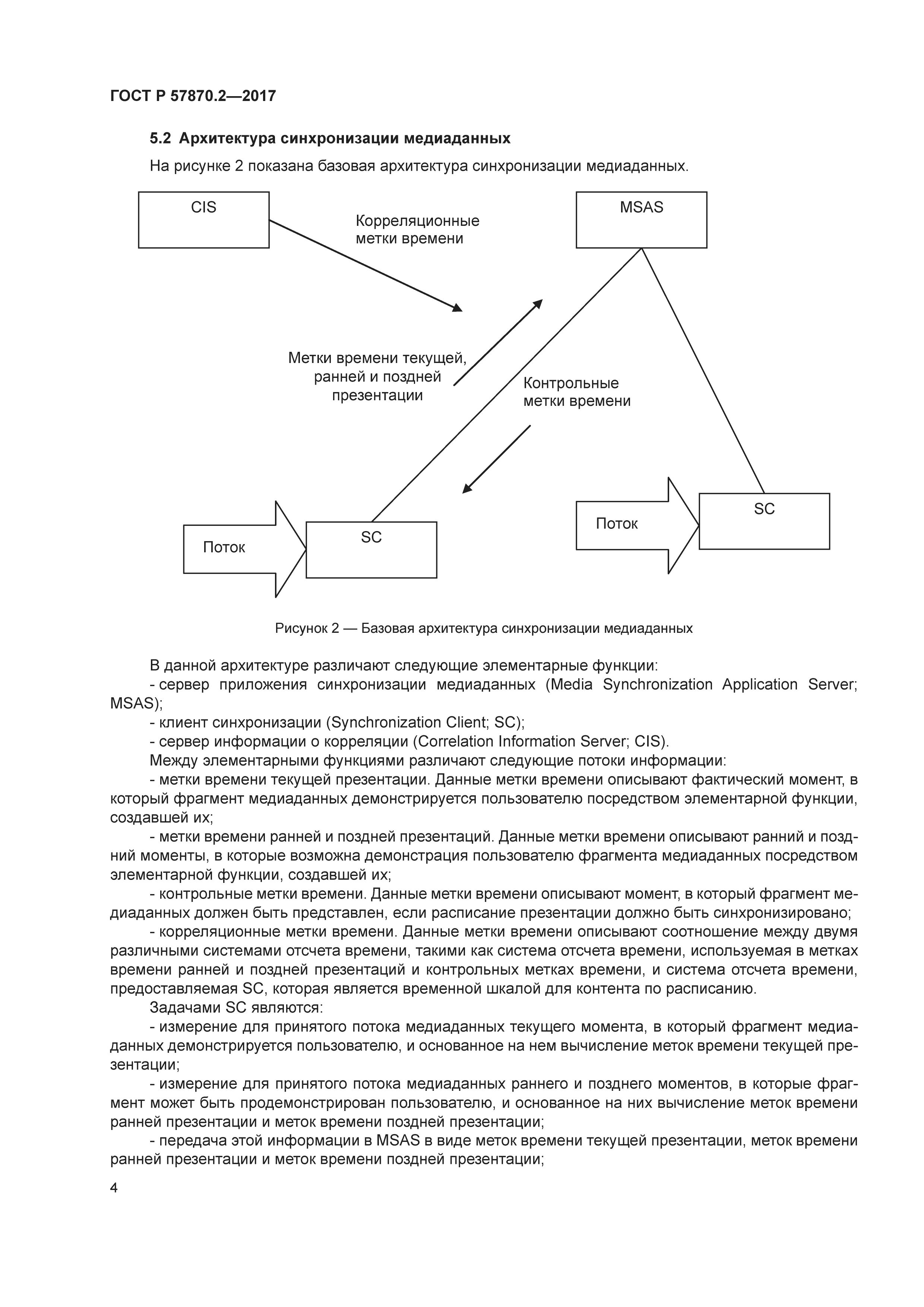
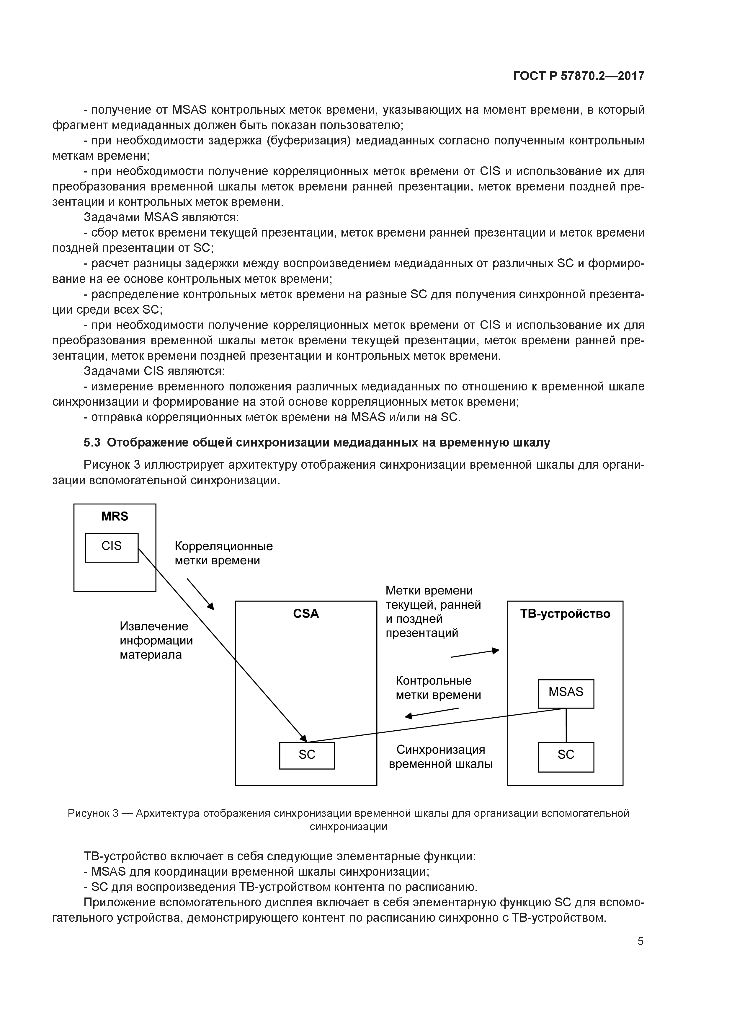
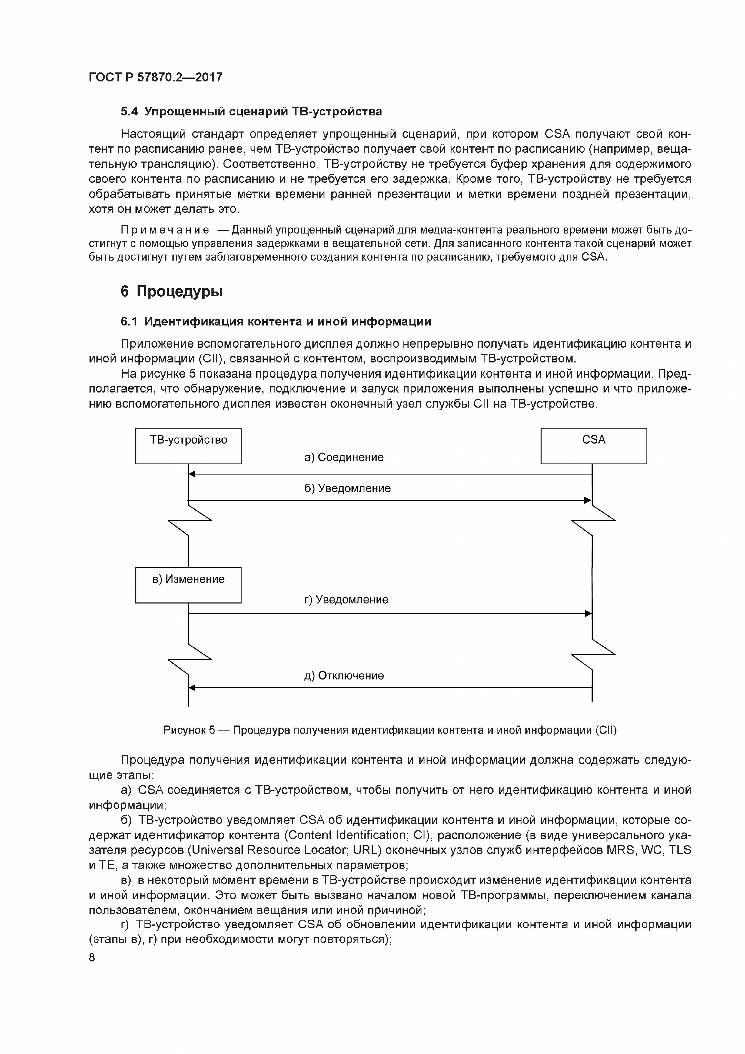
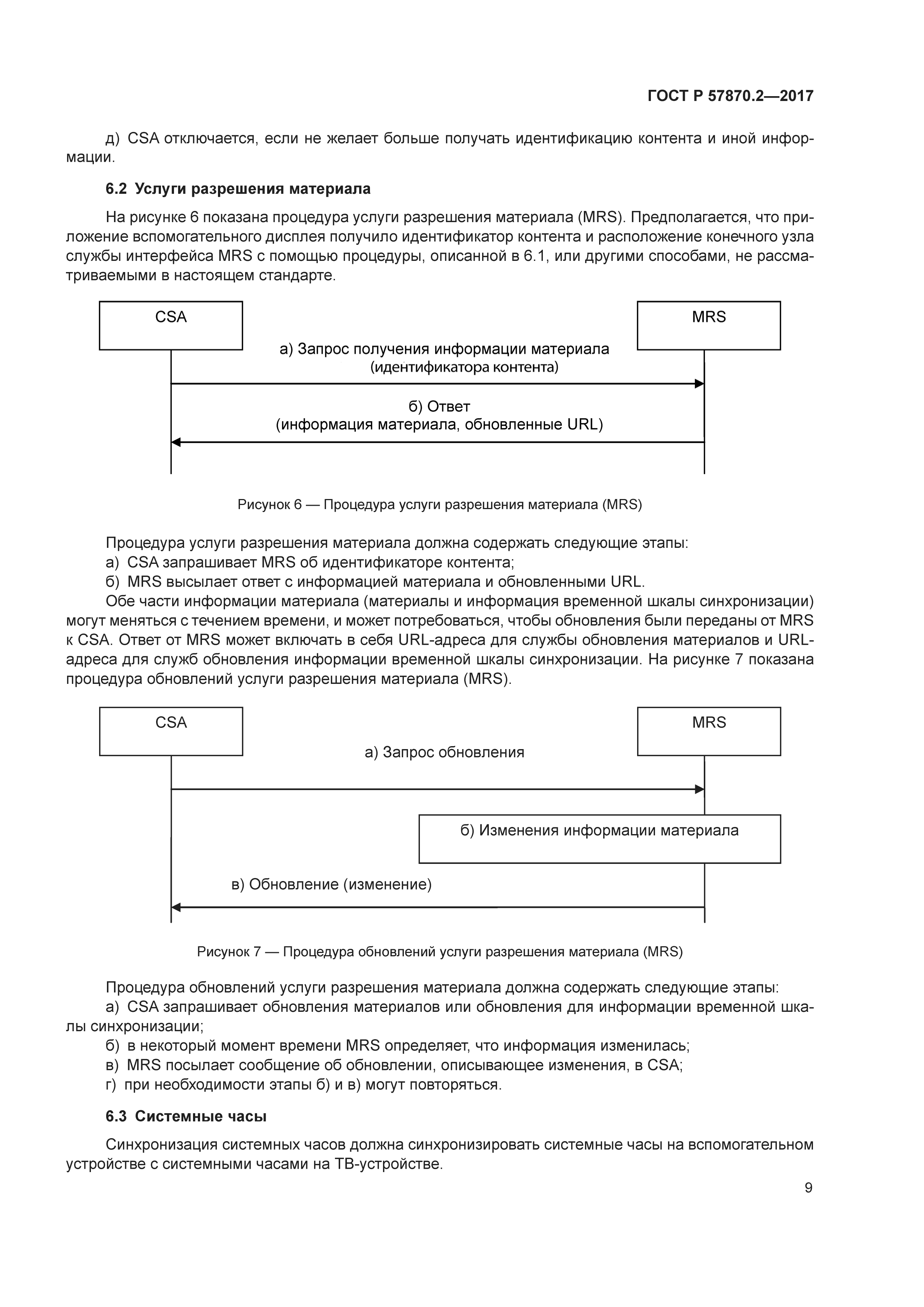
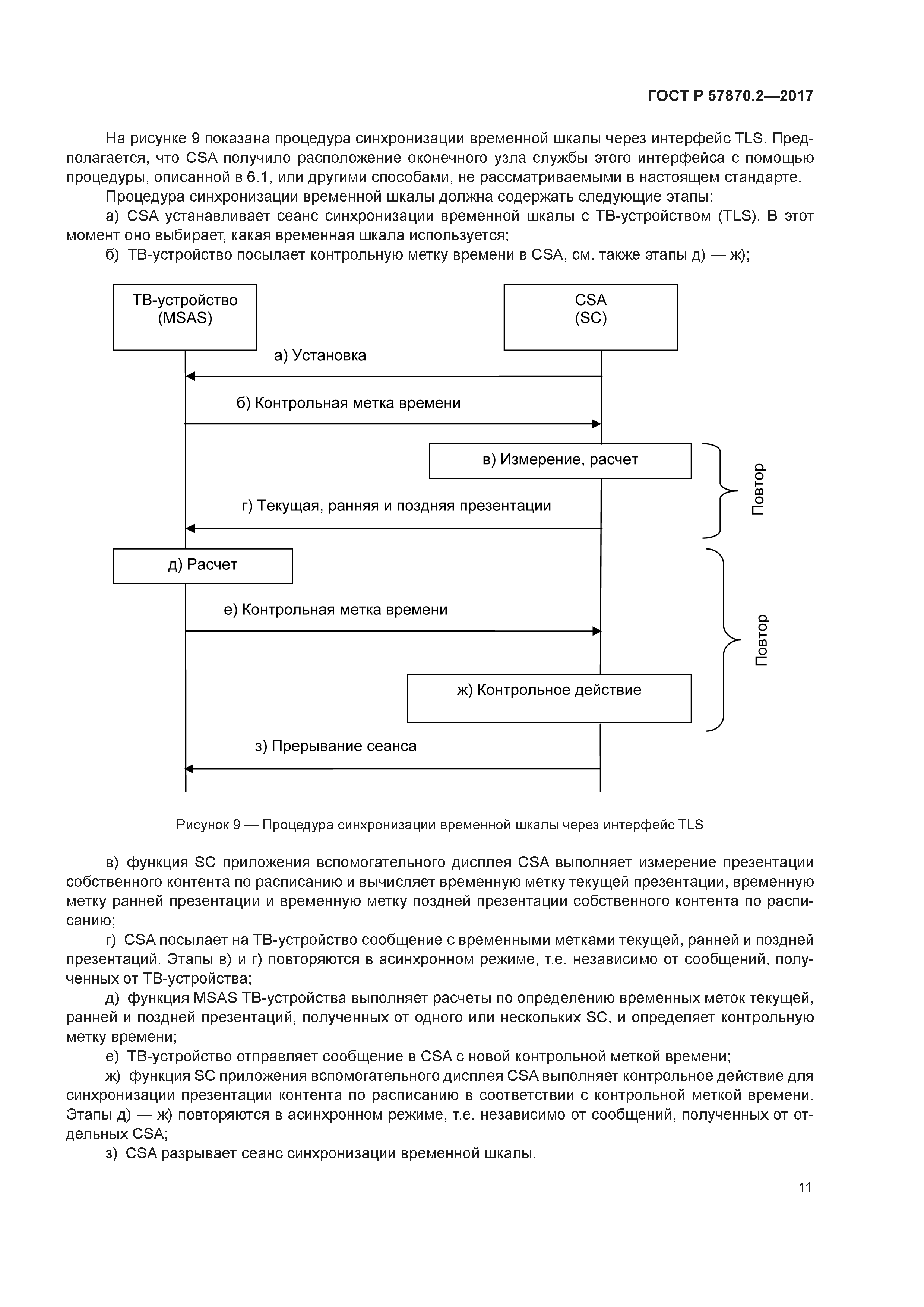
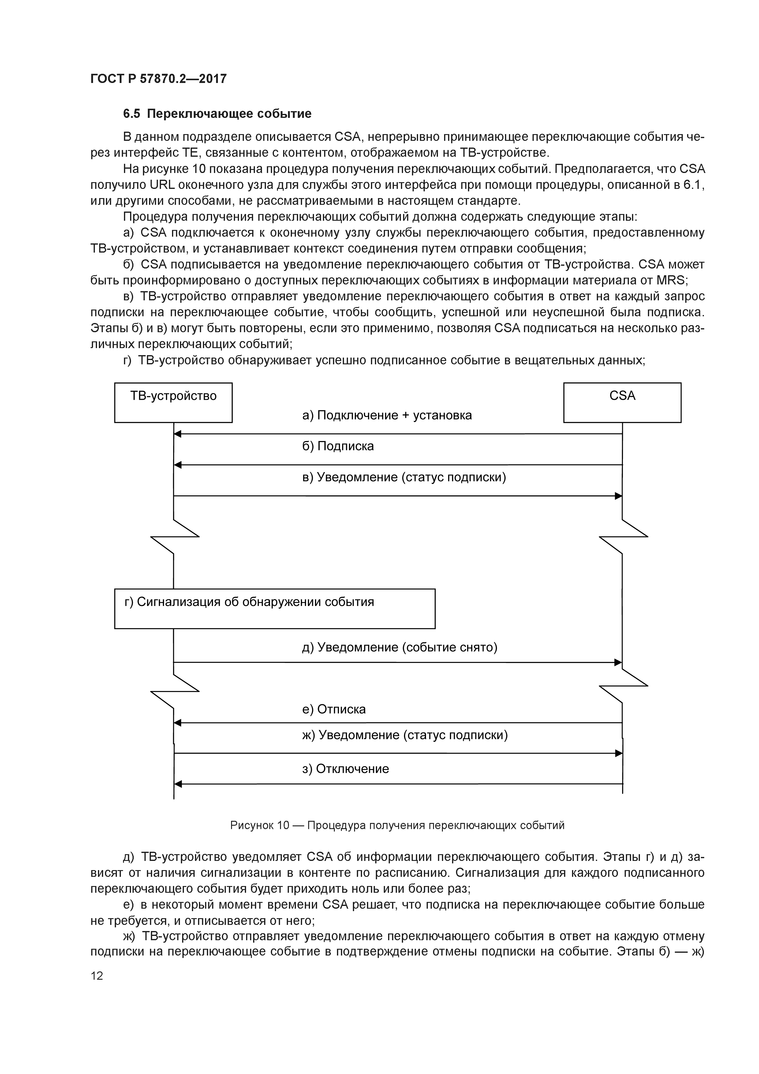
| Оглавление: | 1 Область применения 2 Нормативные ссылки 3 Термины, определения и сокращения 4 Интерфейсы 5 Архитектура идентификации и вспомогательной синхронизации 5.1 Общие положения 5.2 Архитектура синхронизации медиаданных 5.3 Отображение общей синхронизации медиаданных на временную шкалу 5.4 Упрощенный сценарий ТВ-устройства 6 Процедуры 6.1 Идентификация контента и иной информации 6.2 Услуги разрешения материала 6.3 Системные часы 6.4 Синхронизация временной шкалы 6.5 Переключающее событие |
| Разработан: | АНО НТЦИ |
| Утверждён: | 31.10.2017 Федеральное агентство по техническому регулированию и метрологии (1582-ст) |
| Издан: | Стандартинформ (2017 г. ) |
| Нормативные ссылки: |
|

















