Скачать ГОСТ Р 57870.3-2017 Телевидение вещательное цифровое. Вспомогательные дисплеи и потоки. Часть 3. Модель данныхДата актуализации: 01.01.2021
|
| Обозначение: | ГОСТ Р 57870.3-2017 |
| Обозначение англ: | GOST R 57870.3-2017 |
| Статус: | введен впервые |
| Название рус.: | Телевидение вещательное цифровое. Вспомогательные дисплеи и потоки. Часть 3. Модель данных |
| Название англ.: | Digital video broadcasting (DVB). Companion screens and streams. Part 3. Data model |
| Дата добавления в базу: | 01.01.2019 |
| Дата актуализации: | 01.01.2021 |
| Дата введения: | 01.08.2018 |
| Область применения: | Стандарт является третьей частью в группе стандартов, определяющих правила использования новых дополнительных медийных услуг на вспомогательных дисплеях (смартфоны, планшеты и т.п.), дополняющих основной контент, отображаемый на телевизионном устройстве (ТВ-устройство). Стандарт детализирует информацию, передаваемую в сообщениях по интерфейсам между ТВ-устройством и приложением вспомогательного дисплея и между сервером разрешения материала и приложением вспомогательного дисплея. В стандарте описаны форматы, модели, семантика, а также их представление в текстовом формате обмена данными, основанном на языке JavaScript (JavaScript Object Notation; JSON), в качестве сообщений, предназначенных для передачи. Требования стандарта следует учитывать при разработке, изготовлении и эксплуатации устройств и систем, использующих вспомогательные дисплеи. |
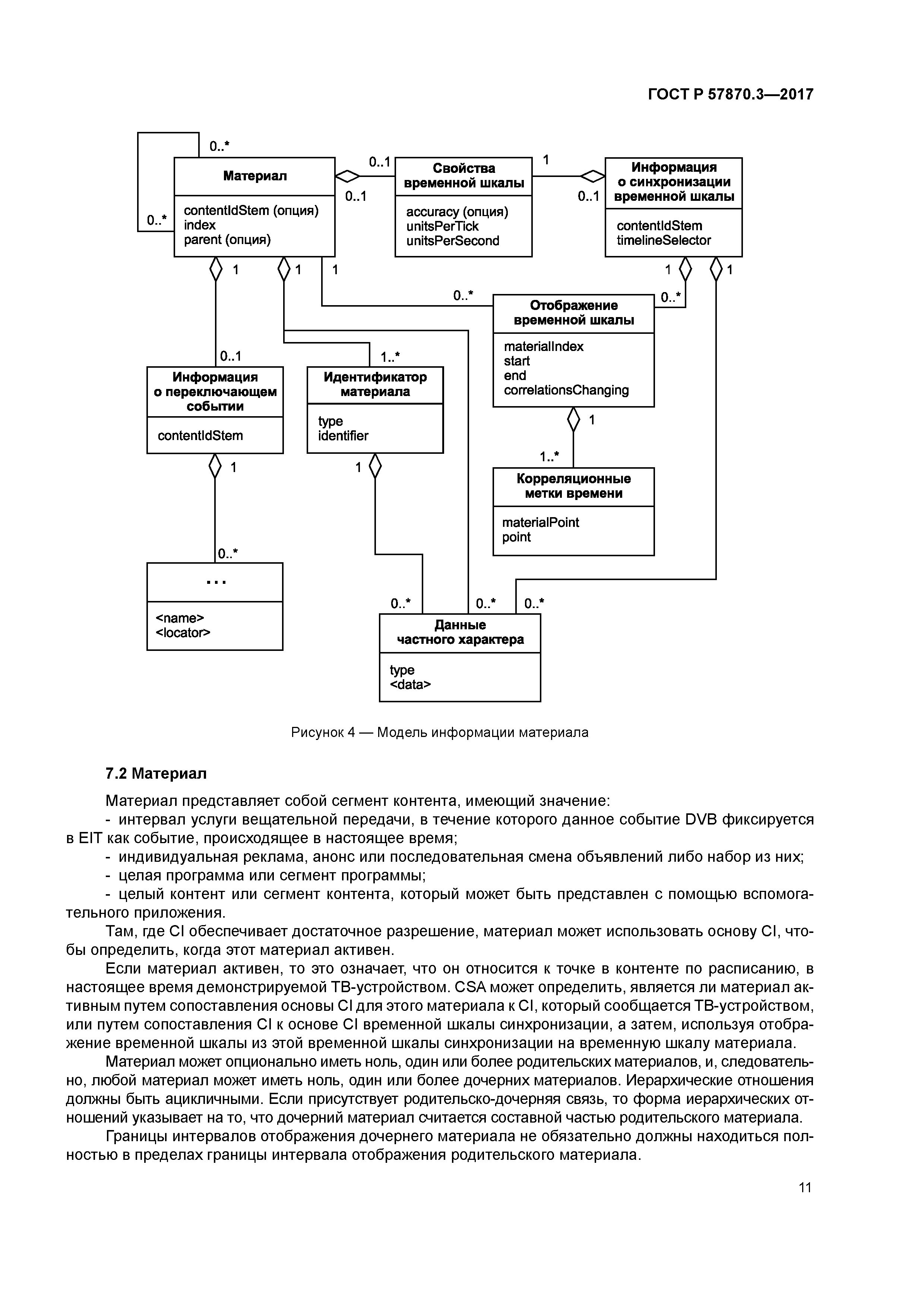
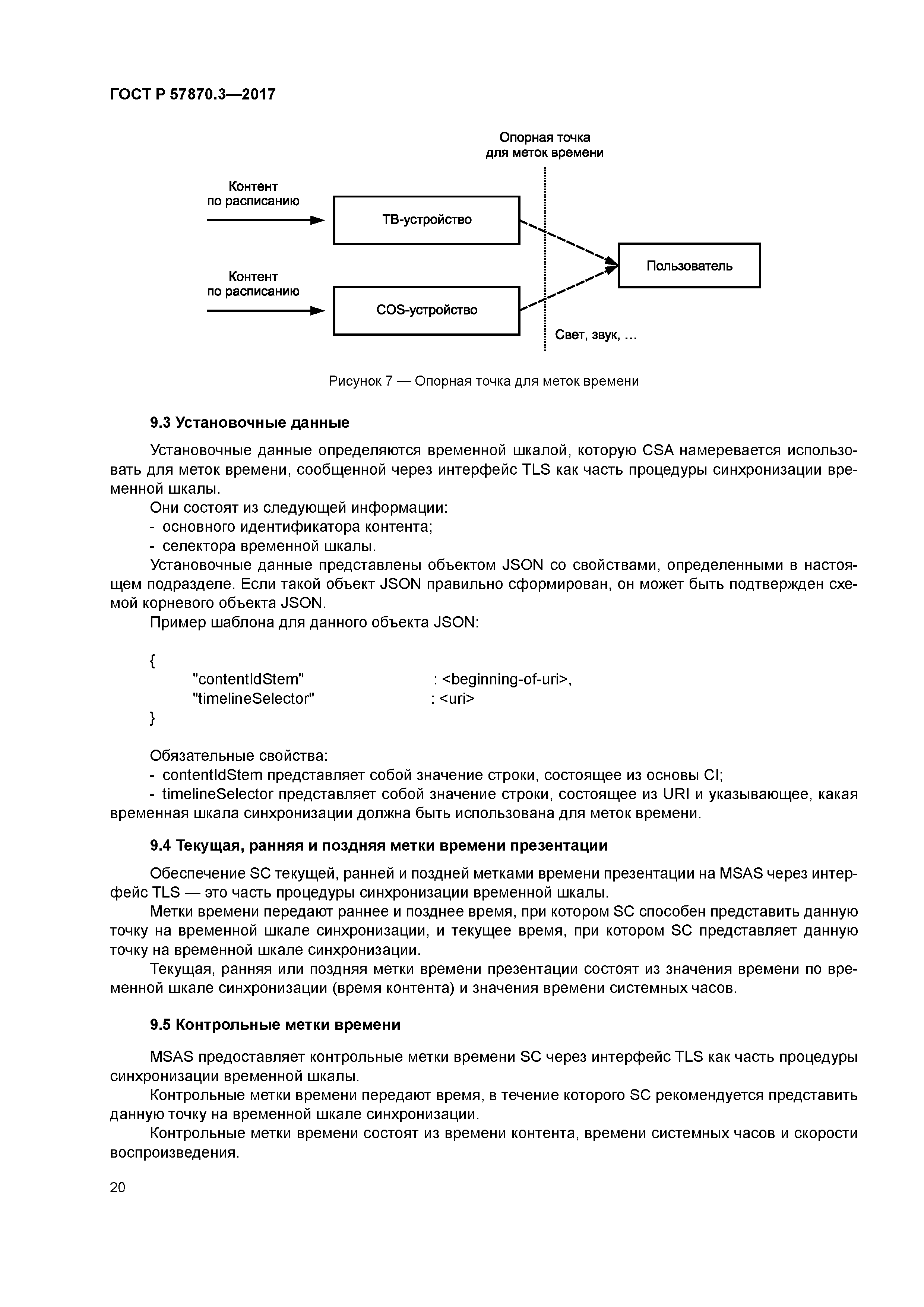
| Оглавление: | 1 Область применения 2 Нормативные ссылки 3 Термины, определения и сокращения 4 Идентификация контента 4.1 Общие положения 4.2 Основа идентификатора контента 4.3 Вещательные услуги DVB и услуги IPTV 4.4 Услуги DVB DASH 4.5 Иные типы услуг 5 Временные шкалы 5.1 Общие положения 5.2 Свойства скорости отсчета и точности 5.3 Источники временных шкал и селектор временной шкалы 5.4 MPEG-TS PTS: метка времени презентации 5.5 ISO BMFF: время композиции 5.6 Пакет с полем адаптации транспортного потока 5.7 MPEG DASH: временная шкала периода 6 Корреляция временной шкалы 7 Информация материала 7.1 Общие положения 7.2 Материал 7.3 Идентификаторы материала 7.4 Информация о синхронизации временной шкалы 7.5 Отображение временной шкалы 7.6 Корреляционные метки времени 7.7 Информация о переключающем событии 7.8 Процесс определения активных материалов среди представленных материалов 7.9 JSON-синтаксис для представления информации материала 8 Идентификация контента и иной информации 8.1 Общие положения 8.2 Информирование об URL сервера разрешения материала 8.3 Информирование об идентификаторе контента 8.4 Статус презентации 8.5 Информирование об URL оконечных узлов служб извещения системных часов, синхронизации временной шкалы и уведомления о переключающем событии 8.6 Информирование о списке временных шкал и селекторов временных шкал 8.7 Представление в формате JSON идентификации контента и иной информации 9 Метки времени и синхронизация временной шкалы 9.1 Общие положения 9.2 Опорная точка для формирования меток времени 9.3 Установочные данные 9.4 Текущая, ранняя и поздняя метки времени презентации 9.5 Контрольные метки времени 10 Переключающие события 10.1 Общие положения 10.2 Кодировка размещений переключающих событий 10.3 Опорная точка для переключающих событий 10.4 Источники переключающих событий 10.5 Сообщения переключающих событий 11 Данные частного характера 11.1 Общие положения 11.2 JSON для элементов данных частного характера |
| Разработан: | АНО НТЦИ |
| Утверждён: | 31.10.2017 Федеральное агентство по техническому регулированию и метрологии (1583-ст) |
| Издан: | Стандартинформ (2017 г. ) |
| Нормативные ссылки: |
|



























