Скачать ГОСТ Р 57870.4-2017 Телевидение вещательное цифровое. Вспомогательные дисплеи и потоки. Часть 4. Протоколы. ОбнаружениеДата актуализации: 01.01.2021
|
| Обозначение: | ГОСТ Р 57870.4-2017 |
| Обозначение англ: | GOST R 57870.4-2017 |
| Статус: | введен впервые |
| Название рус.: | Телевидение вещательное цифровое. Вспомогательные дисплеи и потоки. Часть 4. Протоколы. Обнаружение |
| Название англ.: | Digital video broadcasting (DVB). Companion screens and streams. Part 4. Protocols. Discovery |
| Дата добавления в базу: | 01.01.2019 |
| Дата актуализации: | 01.01.2021 |
| Дата введения: | 01.08.2018 |
| Область применения: | Стандарт является четвертой частью в группе стандартов, определяющих правила использования новых дополнительных медийных услуг на вспомогательных дисплеях (смартфоны, планшеты и т.п.), дополняющих основной контент, отображаемый на телевизионном устройстве (ТВ-устройство). Стандарт содержит информацию о протоколах идентификации контента и иной информации, служб разрешения материала, системных часов, синхронизации временной шкалы и уведомления о переключающем событии для вспомогательных дисплеев и потоков, а также определяет архитектуру и протоколы обнаружения ТВ-устройства приложением вспомогательного дисплея. Требования настоящего стандарта следует учитывать при разработке, изготовлении и эксплуатации устройств и систем, использующих вспомогательные дисплеи. |
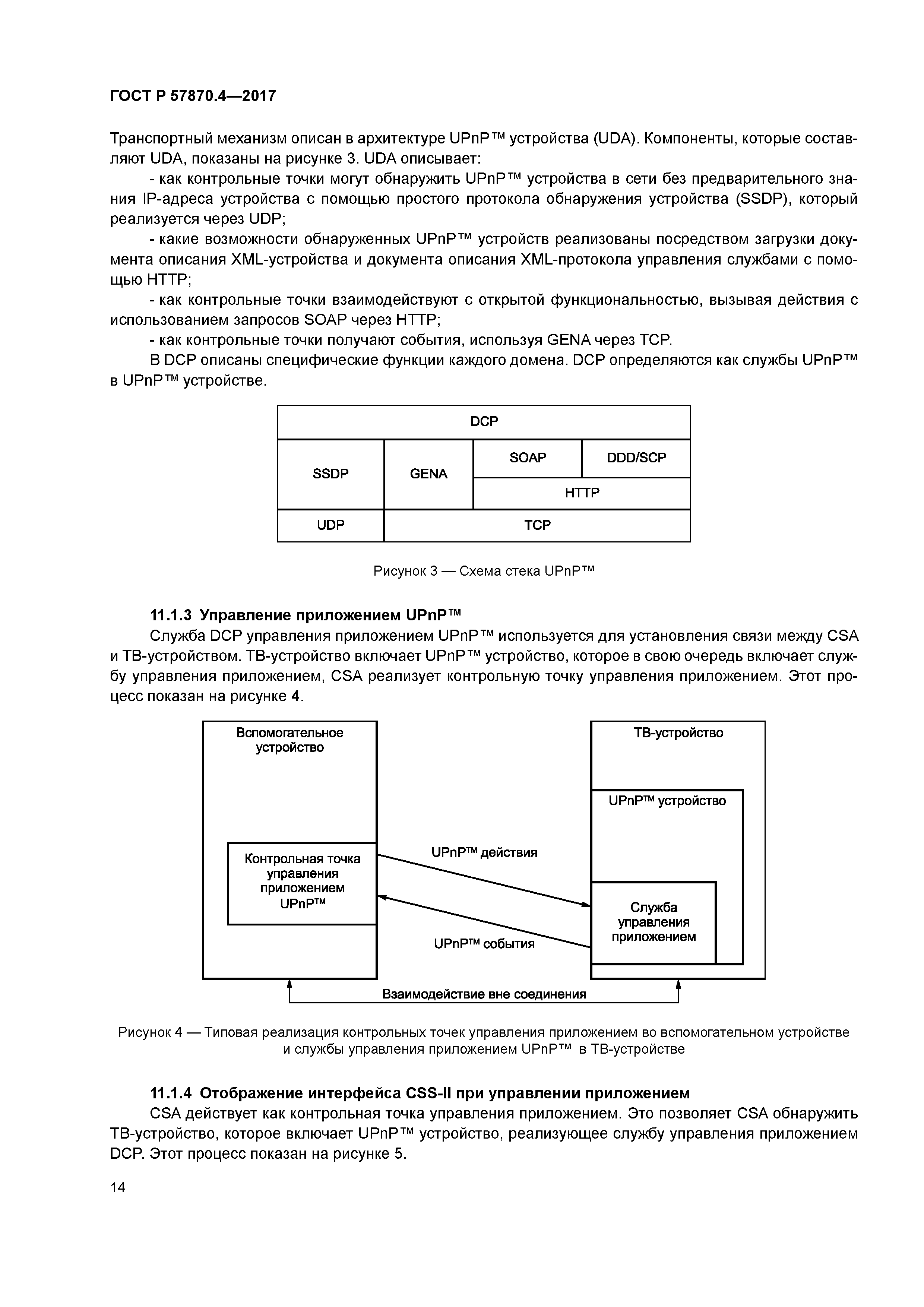
| Оглавление: | 1 Область применения 2 Нормативные ссылки 3 Термины, определения и сокращения 4 Идентификация контента и иной информации 4.1 Общие положения 4.2 Протокол 4.3 Транспорт протокола 5 Служба разрешения материала 5.1 Общие положения 5.2 Протокол разрешения материала 5.3 Запрос протокола разрешения материала 5.4 Протоколы обновления сервера разрешения материала 6 Системные часы 6.1 Общие положения 6.2 Обзор протокола 6.3 Синтаксис сообщений синхронизации системных часов 6.4 Транспорт протокола системных часов 7 Синхронизация временной шкалы 7.1 Общие положения 7.2 Протокол 7.3 Транспорт протокола 8 Переключающие события 8.1 Общие положения 8.2 Протокол 8.3 Транспорт протокола 9 Временные шкалы в полях адаптации транспортного потока . 9.1 Общие положения 9.2 Временная шкала данных частного характера в поле адаптации транспортного потока (TSAP) 9.3 Внешняя медиа-информация с привязкой ко времени (TEMI) 10 Управление соединением и сеансом воспроизведения 11 Обнаружение 11.1 Общие положения 11.2 Требования к UPnP™ устройству для ТВ-устройства. |
| Разработан: | АНО НТЦИ |
| Утверждён: | 31.10.2017 Федеральное агентство по техническому регулированию и метрологии (1584-ст) |
| Издан: | Стандартинформ (2017 г. ) |
| Нормативные ссылки: |
|





















