Скачать ГОСТ Р ИСО 22476-2-2017 Геотехнические исследования и испытания. Испытания полевые. Часть 2. Динамическое зондирование (DP)Дата актуализации: 01.01.2021
|
| Обозначение: | ГОСТ Р ИСО 22476-2-2017 |
| Обозначение англ: | GOST R ISO 22476-2-2017 |
| Статус: | принят |
| Название рус.: | Геотехнические исследования и испытания. Испытания полевые. Часть 2. Динамическое зондирование (DP) |
| Название англ.: | Geotechnical investigation and testings. Field testing. Part 2. Dynamic probing (DP) |
| Дата добавления в базу: | 01.01.2019 |
| Дата актуализации: | 01.01.2021 |
| Дата введения: | 01.01.2022 |
| Область применения: | Стандарт устанавливает требования к косвенному методу исследования грунта - методу динамического зондирования, являющегося частью геотехнических исследований и испытаний согласно EН 1997-1 и EН 1997-2. Стандарт распространяется на определение сопротивления грунтов и мягких горных пород в условиях их природного залегания путем забивки конуса. Для забивки конуса используют молот с заданными массой и высотой падения. Сопротивление зондированию определяют как число ударов, необходимое для погружения конуса на определенное расстояние. По мере погружения конуса осуществляется непрерывная регистрация параметров, но образцы грунта не извлекают. В стандарт включены четыре методики, охватывающие широкий диапазон удельной работы молота за удар: - легкое динамическое зондирование (DPL) - испытание отражает нижнюю область диапазона динамического оборудования по массе молота; - среднее динамическое зондирование (DPМ) - испытание отражает среднюю область диапазона динамического оборудования по массе молота; - тяжелое динамическое зондирование (DPH) - испытание отражает область от среднего до очень тяжелого динамического оборудования по массе молота; - сверхтяжелое динамическое зондирование (DPSH) - испытание отражает верхнюю область диапазона динамического оборудования по массе молота. Результаты испытаний по стандарту особенно пригодны для качественного определения грунтового профиля, совместно с прямыми исследованиями (например, взятие образцов грунта согласно prEН ИСО 22475-1) или сравнения с результатами других, параллельно проводимых испытаний. Они могут также быть использованы для определения прочностных и деформационных свойств грунтов, обычно несвязного типа. Допускается их применение и в отношении мелкодисперсных грунтов, но с использованием соответствующих корреляционных зависимостей. Также эти результаты могут быть использованы для определения глубин залегания очень плотных слоев грунта, например для выбора глубин заложения свай-стоек, и обнаружения очень рыхлых, разуплотненных, обратно засыпанных или насыпных грунтов. |
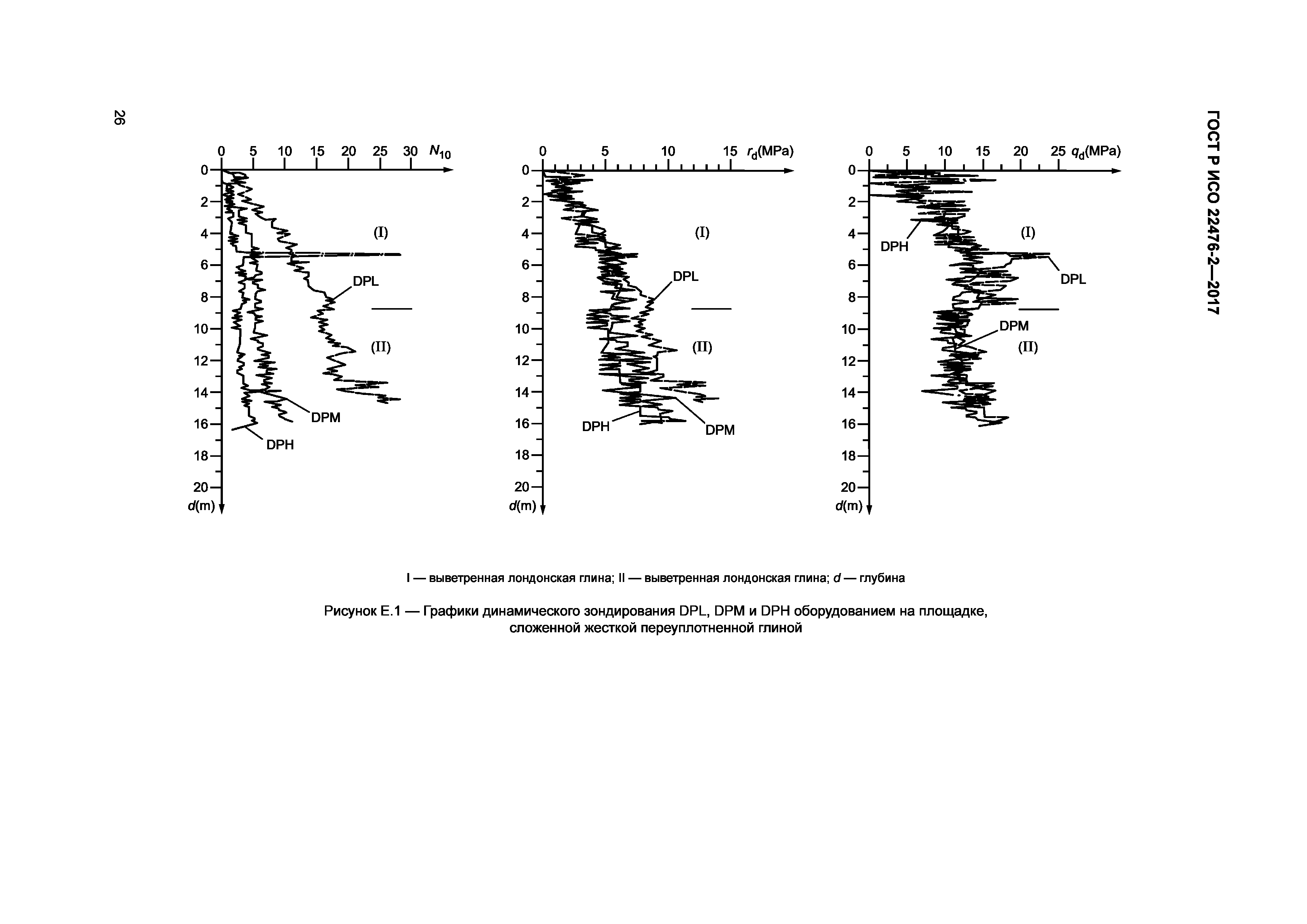
| Оглавление: | 1 Область применения 2 Нормативные ссылки 3 Термины и определения 4 Оборудование 5 Методика испытаний 6 Результаты испытаний 7 Составление отчета Приложение A (справочное) Сводный журнал динамического зондирования Приложение B (справочное) Регистрация измеренных значений и результатов испытаний динамическим зондированием Приложение C (справочное) Рекомендуемый метод измерения фактической энергии Приложение D (справочное) Влияние грунтовых условий и оборудования на результаты динамического зондирования Приложение Е (справочное) Интерпретация результатов динамического зондирования Приложение ДА (справочное) Сведения о соответствии ссылочных европейских стандартов национальным стандартам Библиография |
| Разработан: | ФГУП СТАНДАРТИНФОРМ АО НИЦ Строительство - НИИОСП им. Н.М. Герсеванова |
| Утверждён: | 17.11.2017 Федеральное агентство по техническому регулированию и метрологии (1764-ст) |
| Издан: | Стандартинформ (2017 г. ) |

































