Скачать КПО 06.08.10-06 Каталог-перечень оборудования. Арматура запорно-регулирующая. Клапаны специальные для систем вентиляцииДата актуализации: 01.01.2021 КПО 06.08.10-06
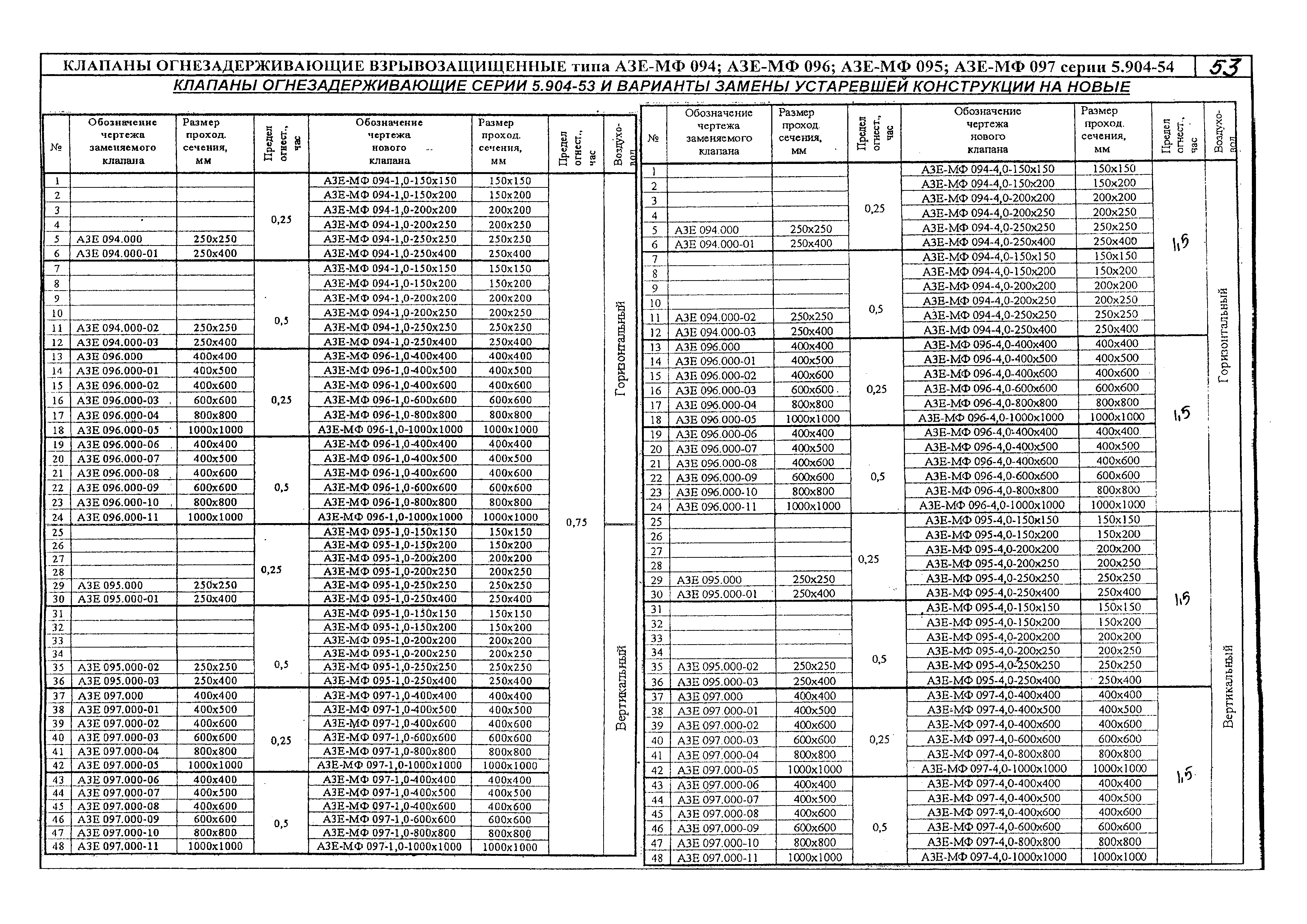
Каталог-перечень оборудования. Арматура запорно-регулирующая. Клапаны специальные для систем вентиляции| Обозначение: | КПО 06.08.10-06 | | Обозначение англ: | 06.08.10-06 | | Статус: | справочные материалы, мп, тпр | | Название рус.: | Каталог-перечень оборудования. Арматура запорно-регулирующая. Клапаны специальные для систем вентиляции | | Дата добавления в базу: | 01.01.2019 | | Дата актуализации: | 01.01.2021 | | Оглавление: | 1. Противопожарные изделия 1.1. Клапаны противопожарные 1.2. Двери, люки и ворота противопожарные 2. Клапаны общего назначения 2.1. Клапаны обратные общего назначения круглого сечения 2.2. Клапаны обратные общего назначения прямоугольного сечения 2.3. Клапаны перекидные взрывозащищенные типовая серия 5.904-58 и искробезопасные типовая серия 3.904-18 2.4. Клапаны лепестковые 2.5. Клапаны самооткрывающиеся для крышных вентиляторов КЦЗ-90 № 4; 5; 6,3 серия А9-30 3. Запорно-регулирующие клапаны 4. Запорно-регулирующие заслонки 5. Решетки 6. Потолочные воздухораздающие устройства 7. Оборудование сетевое 8. Шумоглушители металлические 9. Двери и люки герметические 10. Оборудование для сооружений гражданской обороны и подземных коммуникаций Адреса и телефоны заводов-изготовителей | | Утверждён: | Координационный центр по ценообразованию и сметному нормированию в строительстве
| | Заменяет собой: | | | Нормативные ссылки: | |
                                                                                                                            
|