Скачать КПО 12.01.09-05 Каталог-перечень оборудования. Аккумуляторы и аккумуляторные батареи, устройства выпрямительныеДата актуализации: 01.01.2021
|
| Обозначение: | КПО 12.01.09-05 |
| Обозначение англ: | 12.01.09-05 |
| Статус: | справочные материалы, мп, тпр |
| Название рус.: | Каталог-перечень оборудования. Аккумуляторы и аккумуляторные батареи, устройства выпрямительные |
| Дата добавления в базу: | 01.01.2019 |
| Дата актуализации: | 01.01.2021 |
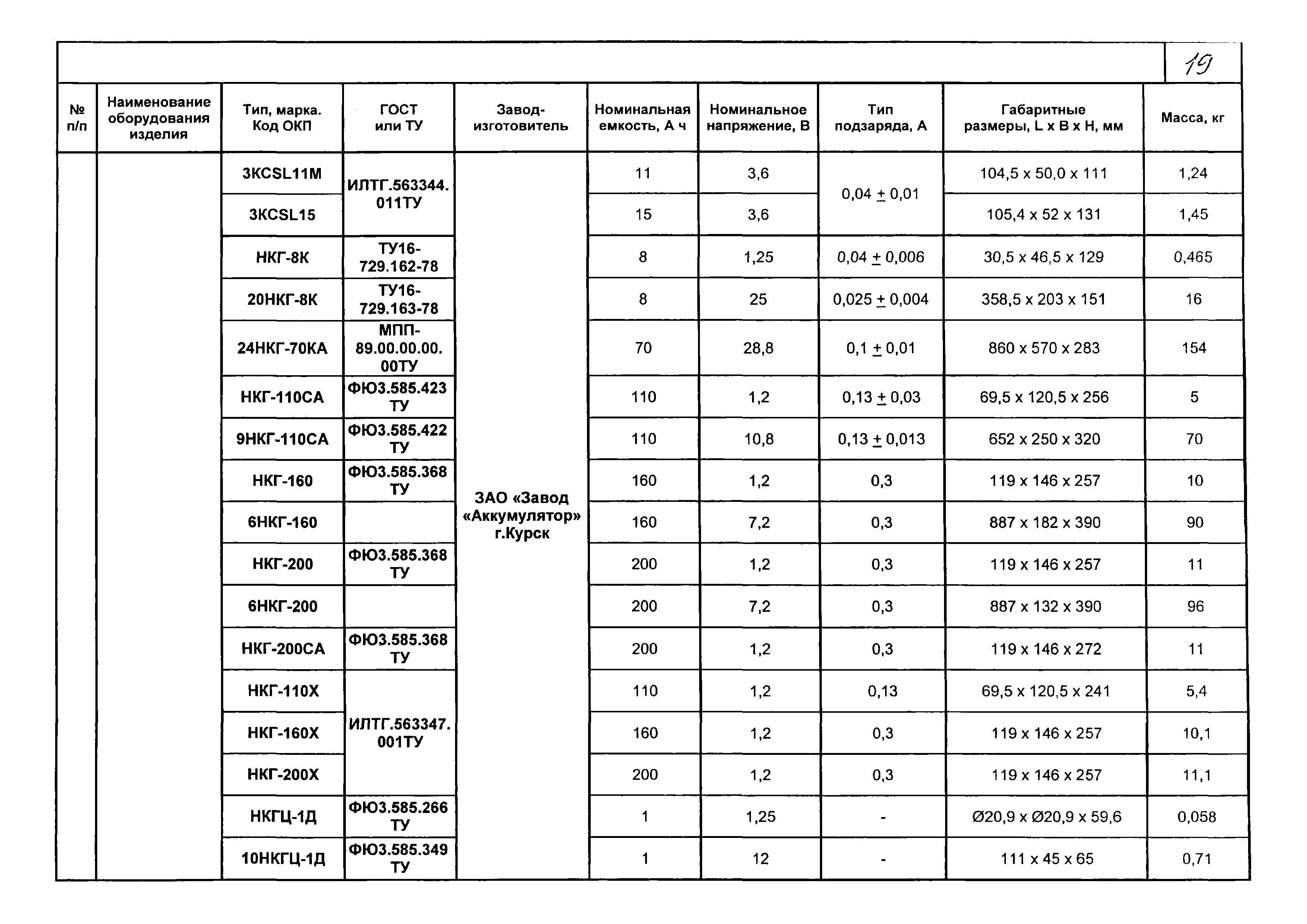
| Оглавление: | 1 Аккумуляторы и батареи аккумуляторные свинцовые 2 Аккумуляторы и батареи аккумуляторные никель-кадмиевые 3 Аккумуляторы и батареи аккумуляторные никель-железные 4 Аккумуляторы серебряно-цинковые и серебряно-кадмиевые 5 Аккумуляторы никель-цинковые 6 Комплектные аккумуляторные установки типа КАУ 7 Агрегаты выпрямительные и выпрямители 8 Щит заряда и разряда батарей ЩЗРБ 24, устройство контроля разряда-заряда аккумуляторов УКРЗ-НРП 9 Устройство электропитания УЭП, УЭПС-2 и стойки типа СУЭП-2 10 Инверторы типа ИТ-03 и ИАТ 1000-2 11 Конверторы типа КУВ 12 Устройства распределительные и преобразователи катодной защиты 13 Прочее оборудование 14 Адреса заводов-изготовителей |
| Разработан: | 31 ГПИ специального строительства Минобороны Координационный центр по ценообразованию и сметному нормированию в строительстве |
| Утверждён: | 31 ГПИ СС Минобороны России |
| Заменяет собой: |









































































