Скачать Письмо 45082-ХМ/09 О рекомендуемой величине прогнозных индексов изменения сметной стоимости строительства в IV квартале 2017 года, в том числе величине прогнозных индексов изменения сметной стоимости строительно-монтажных работ, величине прогнозных индексов изменения сметной стоимости пусконаладочных работ, а также величине прогнозных индексов изменения сметной стоимости проектных и изыскательских работДата актуализации: 01.01.2021
|
| Обозначение: | Письмо 45082-ХМ/09 |
| Обозначение англ: | Notice 45082-ХМ/09 |
| Статус: | информационный документ |
| Название рус.: | О рекомендуемой величине прогнозных индексов изменения сметной стоимости строительства в IV квартале 2017 года, в том числе величине прогнозных индексов изменения сметной стоимости строительно-монтажных работ, величине прогнозных индексов изменения сметной стоимости пусконаладочных работ, а также величине прогнозных индексов изменения сметной стоимости проектных и изыскательских работ |
| Дата добавления в базу: | 01.01.2019 |
| Дата актуализации: | 01.01.2021 |
| Дата введения: | 05.12.2017 |
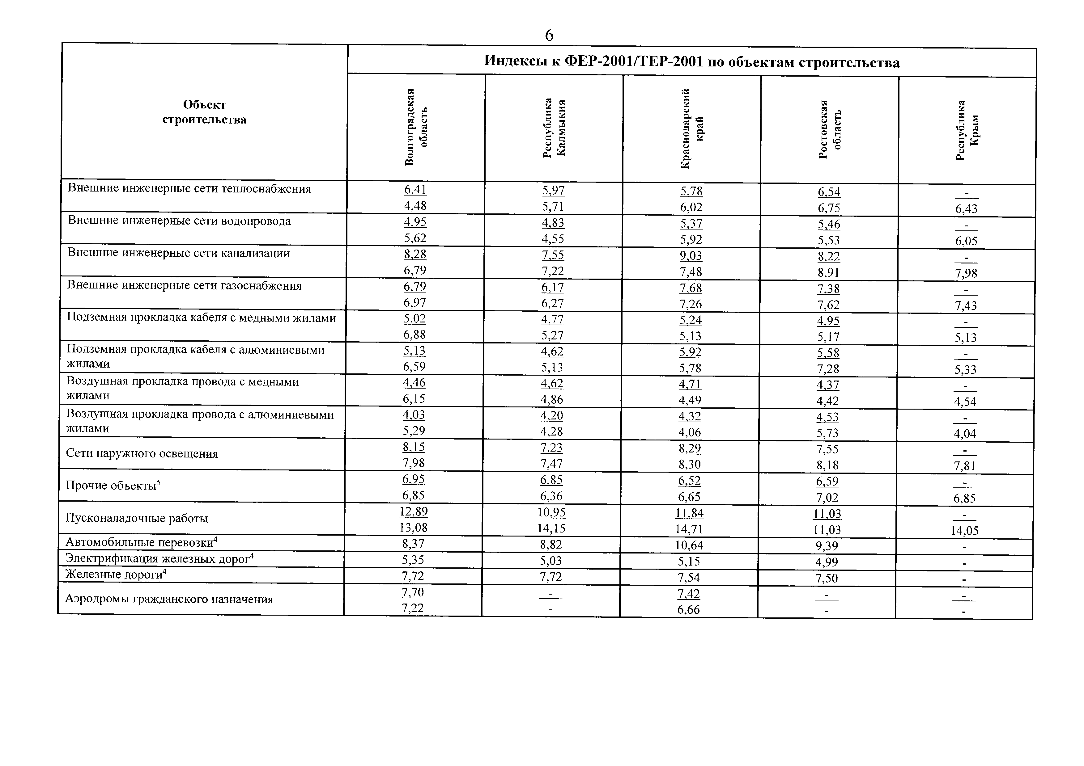
| Область применения: | Прогнозные индексы разработаны к сметно-нормативной базе 2001 года в соответствии с положениями Методических рекомендаций по разработке индексов изменения сметной стоимости строительства, утвержденных приказом Минстроя России от 9 февраля 2017 г. № 84/пр, с использованием данных ФАУ "Главгосэкспертиза России", органов исполнительной власти субъектов РФ за III квартал 2017 года с учетом прогнозного показателя инфляции, установленного Минэкономразвития России, а также письма Госстроя от 27 ноября 2012 г. № 2536-ИП/12/ГС |
| Оглавление: | Приложение № 1. Индексы изменения сметной стоимости строительно-монтажных и пусконаладочных работ по объектам строительства, определяемых с применением федеральных и территориальных единичных расценок, на IV квартал 2017 года Приложение № 2. Индексы изменения сметной стоимости проектных и изыскательских работ на IV квартал 2017 года Приложение № 3. Индексы изменения сметной стоимости прочих работ и затрат к уровню цен по состоянию на 01.01.2000 на IV квартал 2017 года Приложение № 4. Индексы изменения сметной стоимости оборудования на IV квартал 2017 года |
| Утверждён: | 05.12.2017 Министерство строительства и жилищно-коммунального хозяйства Российской Федерации (45082-ХМ/09) |
| Издан: | С сайта: (2017 г. ) |
| Нормативные ссылки: |





















