Скачать ГОСТ Р ИСО 11073-91064-2017 Информатизация здоровья. Стандартный протокол коммуникаций. Часть 91064. Компьютерная электрокардиографияДата актуализации: 01.01.2021
|
| Обозначение: | ГОСТ Р ИСО 11073-91064-2017 |
| Обозначение англ: | GOST R ISO 11073-91064-2017 |
| Статус: | введен впервые |
| Название рус.: | Информатизация здоровья. Стандартный протокол коммуникаций. Часть 91064. Компьютерная электрокардиография |
| Название англ.: | Health Informatics. Standard communication protocol. Part 91064. Computer-assisted electrocardiography |
| Дата добавления в базу: | 01.01.2019 |
| Дата актуализации: | 01.01.2021 |
| Дата введения: | 01.07.2019 |
| Область применения: | Стандарт определяет общие соглашения, требующиеся для обмена конкретными данными пациента (демографическая информация, записи, …), данными сигнала ЭКГ, измерениями ЭКГ и результатами интерпретации ЭКГ как между устройством картирования и сервером, так и между устройствами картирования. Стандарт устанавливает содержание и структуру информации, которой будут обмениваться цифровые устройства картирования ЭКГ и компьютерные системы управления ЭКГ, а также другие компьютерные системы, в которых хранятся данные ЭКГ. |
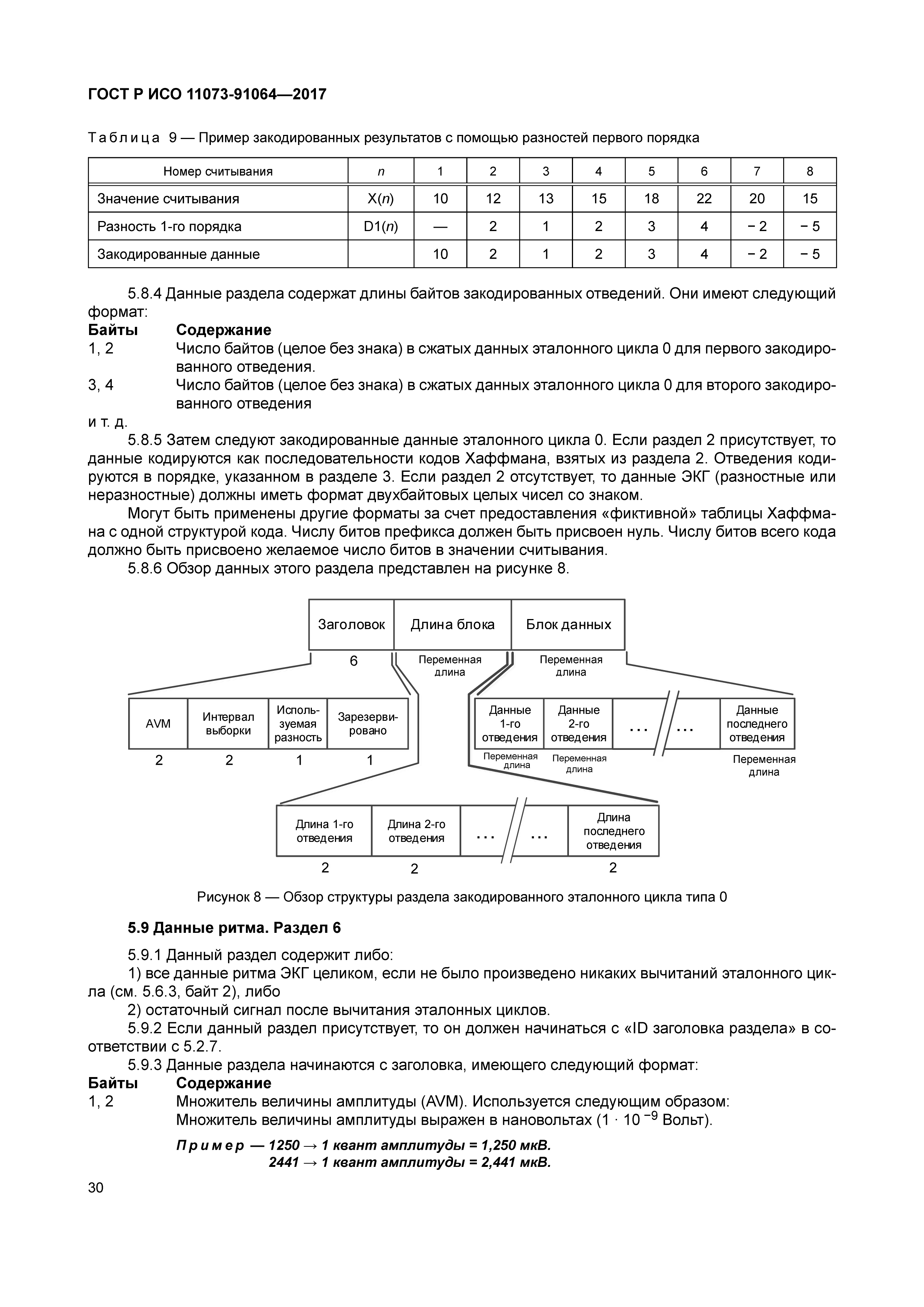
| Оглавление: | 1 Область применения 2 Нормативные ссылки 3 Термины и определения 4 Сокращения 5 Определение содержания и формата данных 5.1 Общие соображения 5.2 Спецификации структуры данных 5.3 Раздел указателей. Раздел 0 5.4 Информация заголовка. Данные пациента/данные снятия электрокардиограммы. Раздел 1 5.5 Таблицы Хаффмана. Раздел 2 5.6 Определения отведений ЭКГ. Раздел 3 5.7 Местоположения QRS-комплексов, зоны вычитания эталонного цикла и защищенные области. Раздел 4 5.8 Закодированные данные эталонного цикла типа О. Раздел 5 5.9 Данные ритма. Раздел б 5.10 Глобальные измерения. Раздел 7 5.11 Хранение полного текста интерпретирующих утверждений. Раздел 8 5.12 Хранение интерпретирующих утверждений, специфичных для производителя, и данных, относящихся к цепочке расшифровок. Раздел 9 5.13 Блок измерения отведений. Раздел 10 5.14 Хранение универсальных кодов интерпретирующих утверждений. Раздел 11 6 Минимальные требования к кодированию и сжатию данных сигнала электрокардиограммы 6.1 Область применения 6.2 Введение 6.3 Методология сжатия электрокардиограммы 6.4 Основные результаты исследований по сжатию данных электрокардиограммы в проекте SCP-ECG 6.5 Минимальные требования к сжатию данных электрокардиограммы Приложение А (обязательное) Кодирование алфавитно-цифровых данных электрокардиограммы в многоязычной среде Приложение В (обязательное) Определение соответствия стандарту SCP-ECG Приложение С (обязательное) Общий подход и проверка соответствия рекомендуемого метода сжатия сигнала электрокардиограммы Приложение D (справочное) Определение минимального набора управляющих сообщений и запросов для обмена данными электрокардиограммы Приложение Е (справочное) Стандартный протокол низкого уровня для взаимодействия устройства картирования электрокардиограммы с сервером Приложение F (справочное) Универсальные коды интерпретирующих описаний электрокардиограммы Приложение G (справочное) Словарь Приложение ДА (справочное) Сведения о соответствии ссылочных международных документов национальным стандартам Библиография |
| Разработан: | ООО Корпоративные электронные системы ФГБУ ЦНИИОИЗ Минздрава |
| Утверждён: | 26.09.2017 Федеральное агентство по техническому регулированию и метрологии (1236-ст) |
| Издан: | Стандартинформ (2017 г. ) |
| Нормативные ссылки: |

































































































































