Скачать ГОСТ Р 57949-2017 Трубы и детали трубопроводов из реактопластов, армированных стекловолокном. Методы регрессионного анализаДата актуализации: 01.01.2021
|
| Обозначение: | ГОСТ Р 57949-2017 |
| Обозначение англ: | GOST R 57949-2017 |
| Статус: | введен впервые |
| Название рус.: | Трубы и детали трубопроводов из реактопластов, армированных стекловолокном. Методы регрессионного анализа |
| Название англ.: | Fiberglass-reinforced thermosetting plastics pipes and parts of pipelines. Methods for regression analysis |
| Дата добавления в базу: | 01.01.2019 |
| Дата актуализации: | 01.01.2021 |
| Дата введения: | 01.06.2018 |
| Область применения: | Стандарт устанавливает два метода регрессионного анализа данных, которые при преобразовании в логарифмические значения имеют нормальное или асимметричное распределение. Стандарт применяют совместно со стандартами на методы испытаний труб и деталей трубопроводов из реактопластов, армированных стекловолокном для анализа зависимости их свойств от времени. Стандарт может быть также применен для анализа других данных. Порядок проведения испытаний для сбора данных, количество требуемых образцов и период времени сбора данных установлены в стандартах на методы испытаний труб и деталей трубопроводов из реактопластов, армированных стекловолокном. |
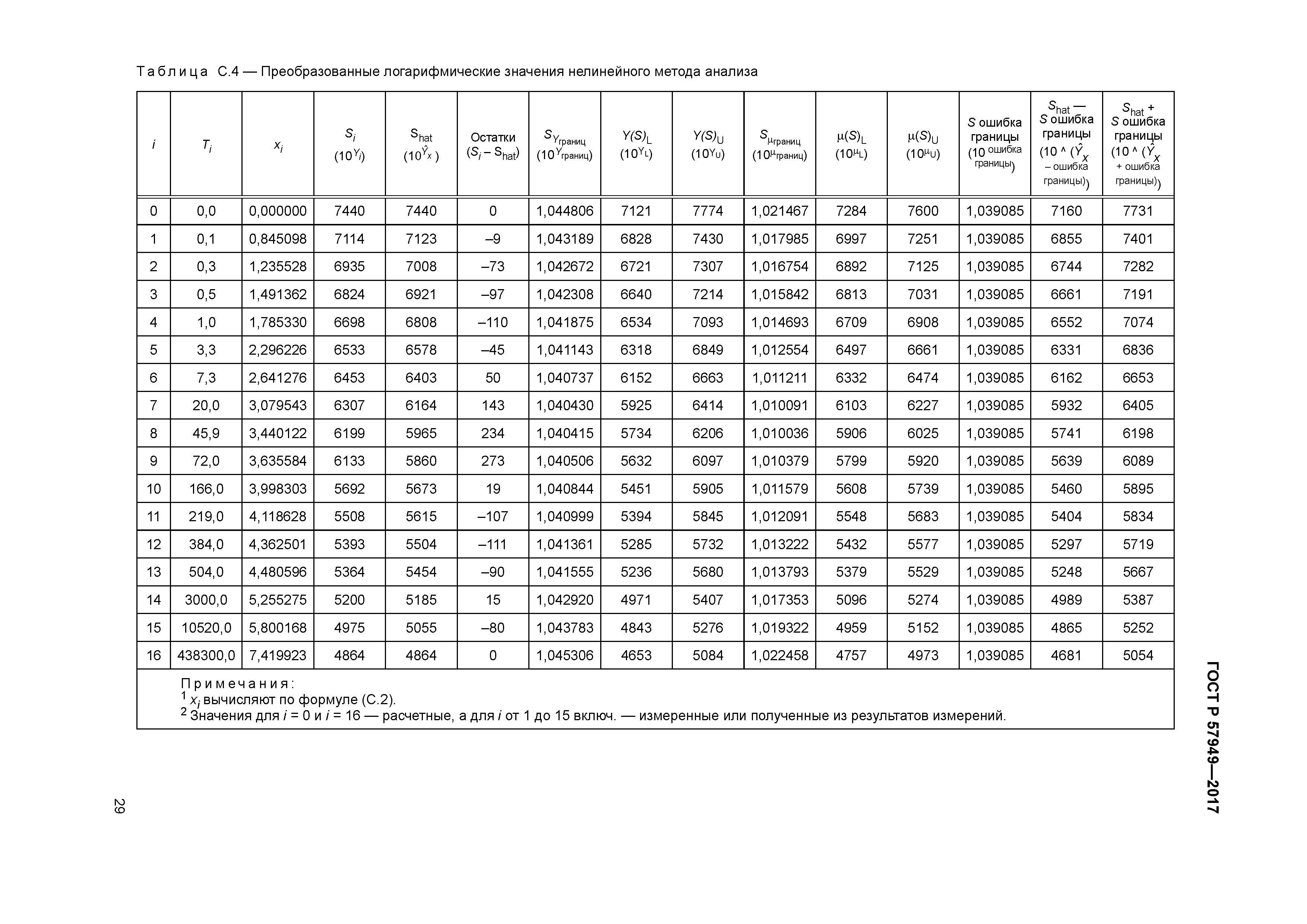
| Оглавление: | 1 Область применения 2 Сущность метода 3 Методика определения линейных взаимосвязей - методы А и В 4 Применение методов регрессионного анализа при испытаниях и проектировании продукции Приложение A (обязательное) Порядок проектирования напорных труб и деталей трубопроводов из реактопластов, армированных стекловолокном Приложение B (справочное) Полиномиальный анализ с использованием взаимосвязей второго порядка Приложение C (справочное) Нелинейный метод анализа Приложение D (справочное) Расчет нижних границ доверительного и прогнозируемого интервалов для метода А Приложение ДА (справочное) Оригинальный текст модифицированных структурных элементов примененного международного стандарта Библиография |
| Разработан: | Объединение юридических лиц Союз производителей композитов АНО Центр нормирования, стандартизации и классификации композитов |
| Утверждён: | 16.11.2017 Федеральное агентство по техническому регулированию и метрологии (1748-ст) |
| Издан: | Стандартинформ (2017 г. ) |
| Нормативные ссылки: |
|













































