Скачать Методика определения производительности выемочных машин и комплексов оборудования очистных забоев и поазателей технико-экономической оценки машин и комплексов

Дата актуализации: 01.01.2021

Методика определения производительности выемочных машин и комплексов оборудования очистных забоев и поазателей технико-экономической оценки машин и комплексов

Статус:справочные материалы, мп, тпр
Название рус.:Методика определения производительности выемочных машин и комплексов оборудования очистных забоев и поазателей технико-экономической оценки машин и комплексов
Дата добавления в базу:01.01.2019
Дата актуализации:01.01.2021
Область применения:Методика предназначена для применения институтами Гипроуглемаш, Центрогипрошахт, Южгипрошахт и другими при разработке технических заданий на проектировании, при определении экономической эффективности новой техники на различных стадиях ее создания, при определении оптимальных параметров очистных работ угольных шахт и в других случаях
Оглавление:Введение
I Методика определения производительности выемочных машин и комплексов оборудования очистных забоев
II Показатели технико-экономической оценки выемочных машин и комплексов оборудования очистных забоев
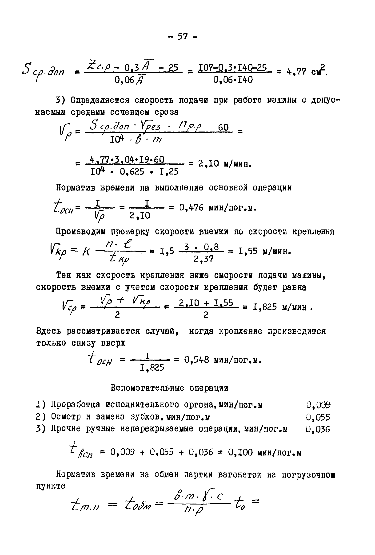
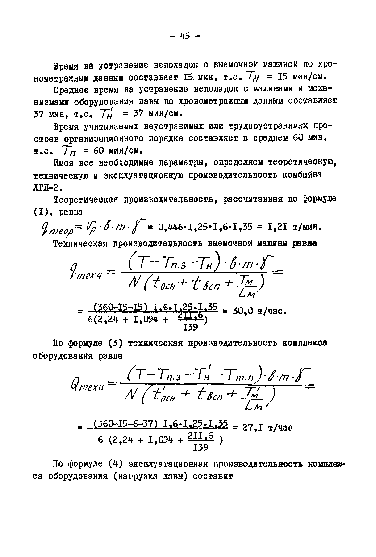
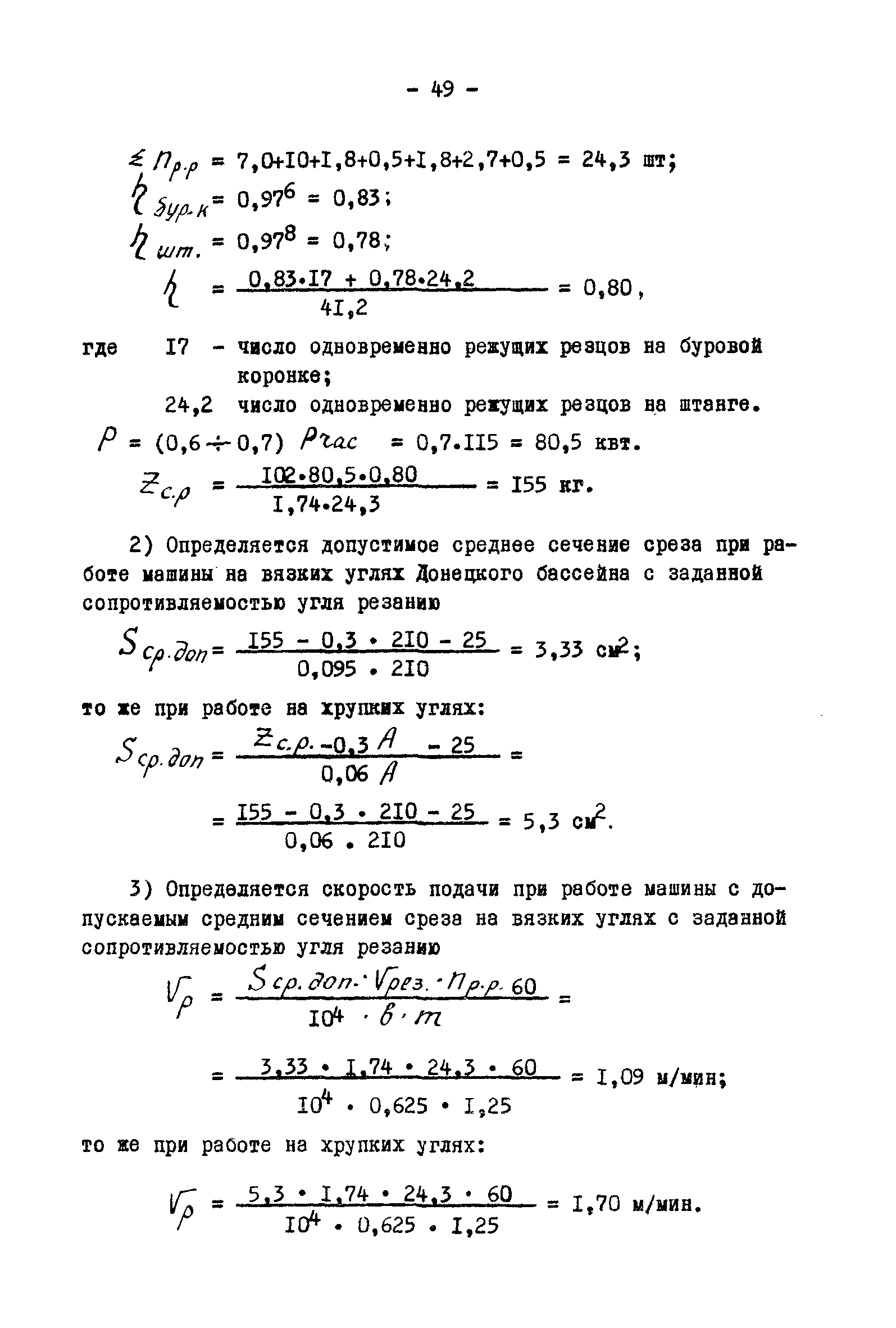
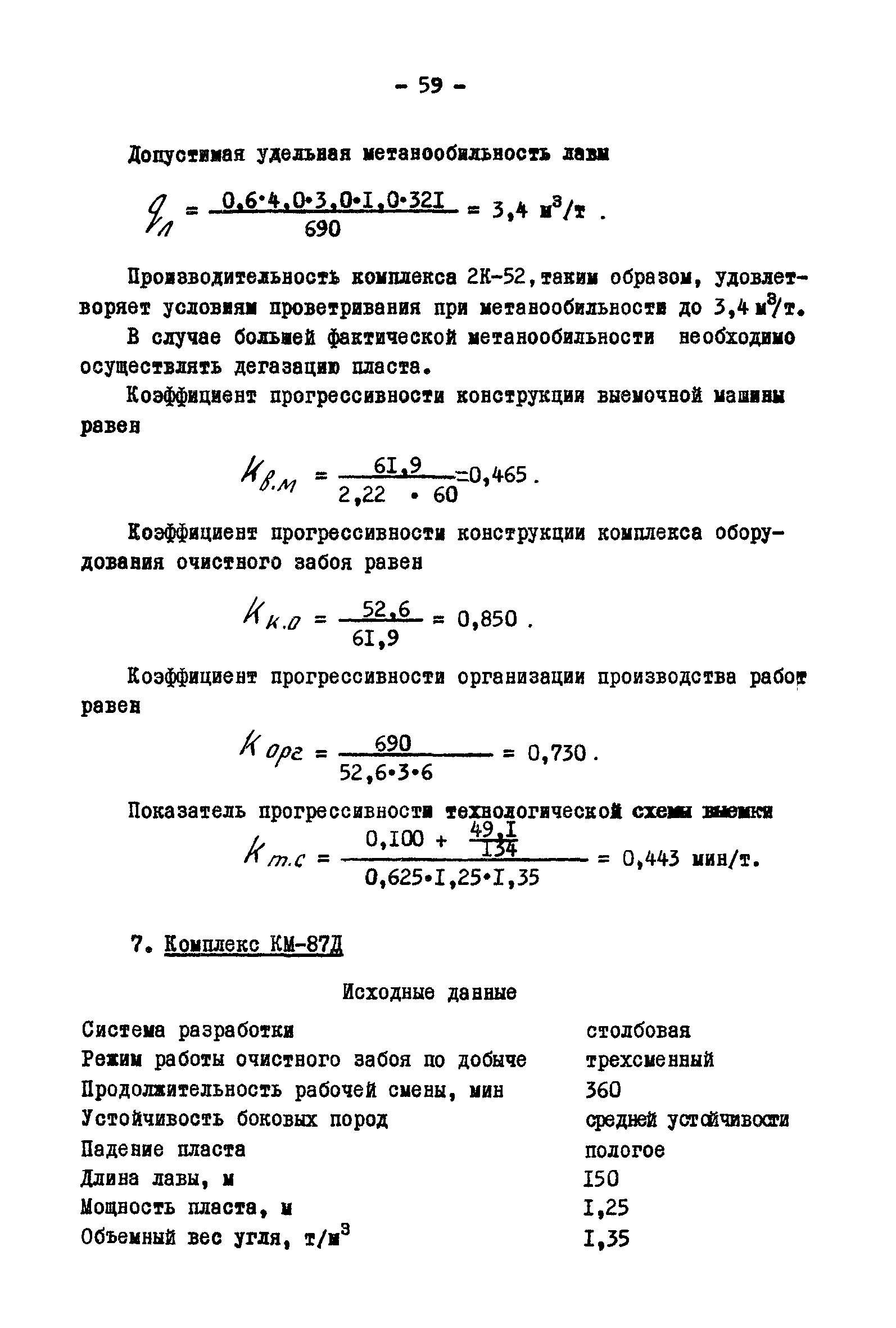
III Примеры определения производительности выемочных машин и комплексов оборудования по разработанной методике и технико-экономическая оценка их
Приложение 1. Расчетные нормативы времени по операциям рабочих процессов
Приложение 2. Характеристика некоторых угольных пластов основных бассейнов по сопротивляемости угля разрушению (данные лаборатории механического разрушения угля и горных пород ИГД им А,А Скочинского)
Список использованной литературы
Разработан: Государственный проектно-конструкторский экспериментальный институт угольного машиностроения Гипроуглемаш
Утверждён:20.05.1967 Государственный проектно-конструкторский экспериментальный институт угольного машиностроения Гипроуглемаш