Скачать ГОСТ Р 57981-2017 Ключи для винтов с внутренним шестигранником. Технические условия

Дата актуализации: 01.01.2021

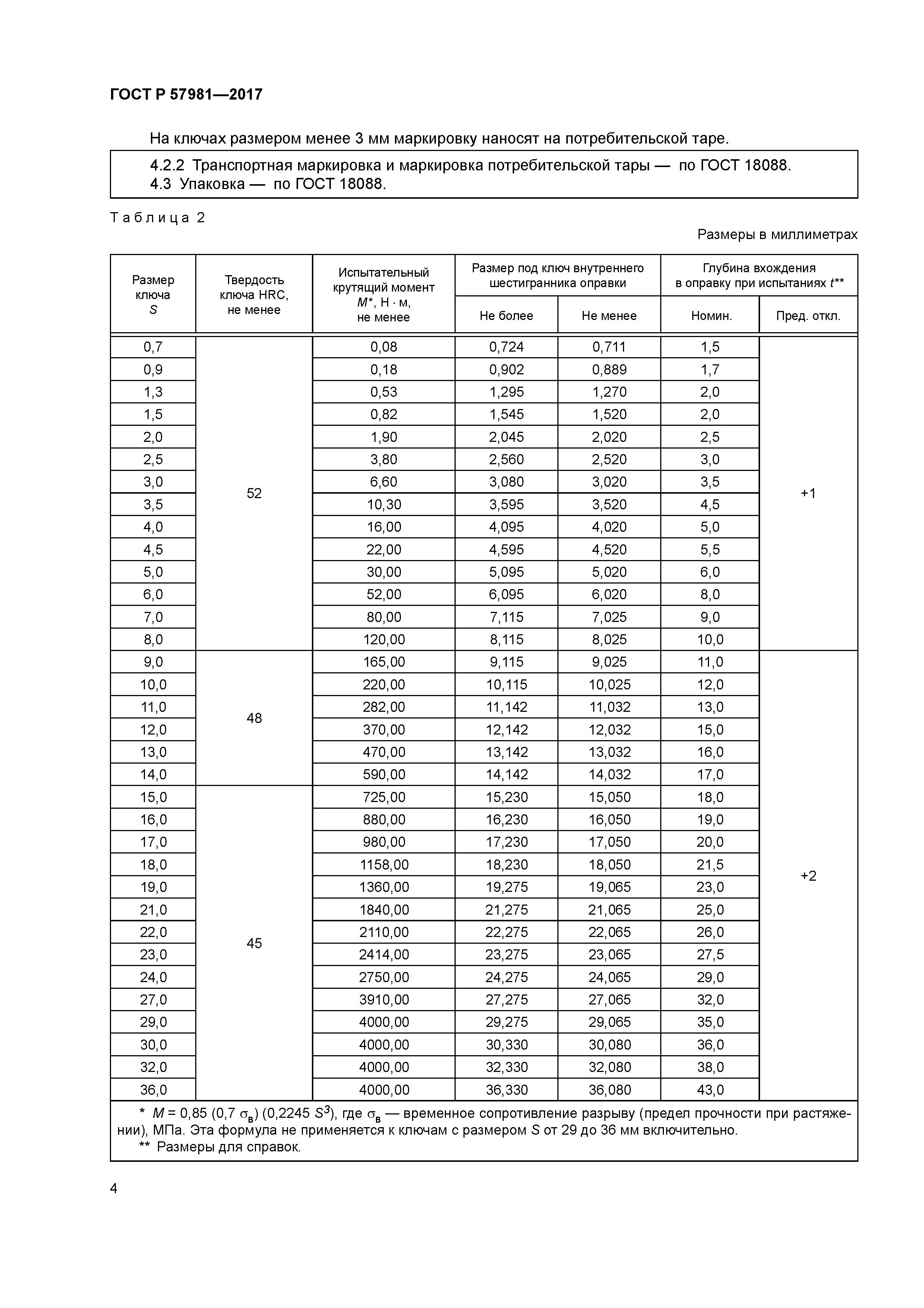
ГОСТ Р 57981-2017

Ключи для винтов с внутренним шестигранником. Технические условия

Обозначение: ГОСТ Р 57981-2017
Обозначение англ: GOST R 57981-2017
Статус:введен впервые
Название рус.:Ключи для винтов с внутренним шестигранником. Технические условия
Название англ.:Hexagon socket screw keys. Specifications
Дата добавления в базу:01.01.2019
Дата актуализации:01.01.2021
Дата введения:01.01.2019
Область применения:Стандарт распространяется на ключи для винтов с внутренним шестигранником с обозначением 4 1 03 01 0 в соответствии с ГОСТ ISO 1703.
Оглавление:1 Область применения
2 Нормативные ссылки
3 Размеры
4 Технические требования
5 Приемка
6 Методы контроля и испытаний
7 Транспортирование и хранение
8 Требования безопасности
Приложение А (рекомендуемое) Схема испытаний ключа
Приложение ДА (рекомендуемое) Защитно-декоративные покрытия
Приложение ДБ (справочное) Информация о причинах включения в стандарт дополнительных положений по сравнению с примененным международным стандартом
Приложение ДВ (справочное) Сопоставление структуры настоящего стандарта со структурой примененного в нем международного стандарта
Разработан: ОАО ВНИИИНСТРУМЕНТ
Утверждён:22.11.2017 Федеральное агентство по техническому регулированию и метрологии (1802-ст)
Издан: Стандартинформ (2017 г. )
Стандартинформ (2018 г. )
Нормативные ссылки:
ГОСТ Р 57981-2017ГОСТ Р 57981-2017ГОСТ Р 57981-2017ГОСТ Р 57981-2017ГОСТ Р 57981-2017ГОСТ Р 57981-2017ГОСТ Р 57981-2017ГОСТ Р 57981-2017ГОСТ Р 57981-2017ГОСТ Р 57981-2017ГОСТ Р 57981-2017ГОСТ Р 57981-2017ГОСТ Р 57981-2017ГОСТ Р 57981-2017