Скачать ГОСТ Р 57978-2017 Круги отрезные. Технические условия

Дата актуализации: 01.01.2021

ГОСТ Р 57978-2017

Круги отрезные. Технические условия

Обозначение: ГОСТ Р 57978-2017
Обозначение англ: GOST R 57978-2017
Статус:введен впервые
Название рус.:Круги отрезные. Технические условия
Название англ.:Grinding wheels for cutting-off. Specifications
Дата добавления в базу:01.01.2019
Дата актуализации:01.01.2021
Дата введения:01.01.2019
Область применения:Стандарт распространяется на отрезные круги для резки и прорезки материалов на стационарных, переносных станках, а также на ручных шлифовальных машинах (Pg).
Оглавление:1 Область применения
2 Нормативные ссылки
3 Классификация и размеры
4 Технические требования
5 Требования безопасности
6 Правила приемки
7 Методы контроля
8 Транспортирование и хранение
9 Гарантии изготовителя
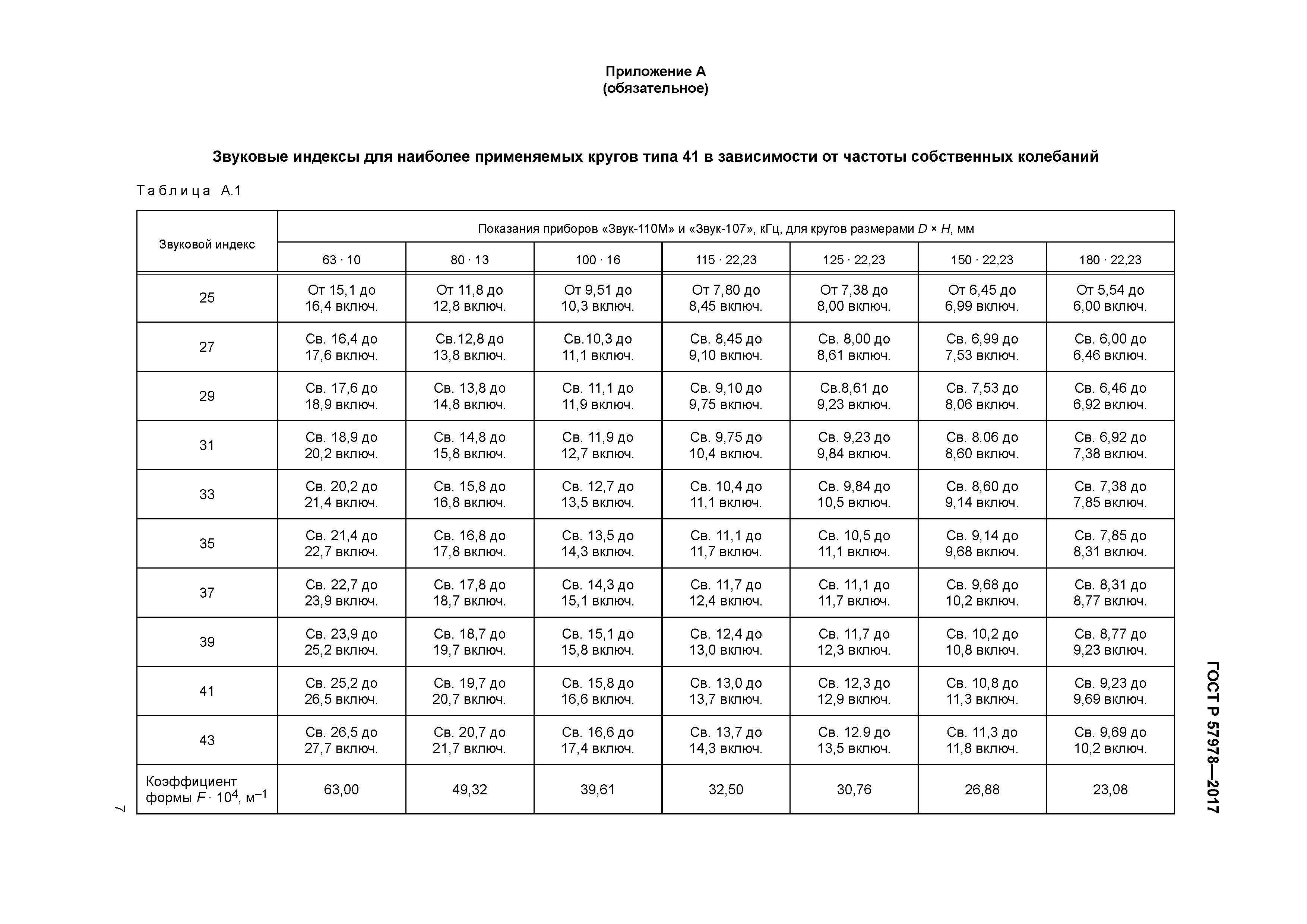
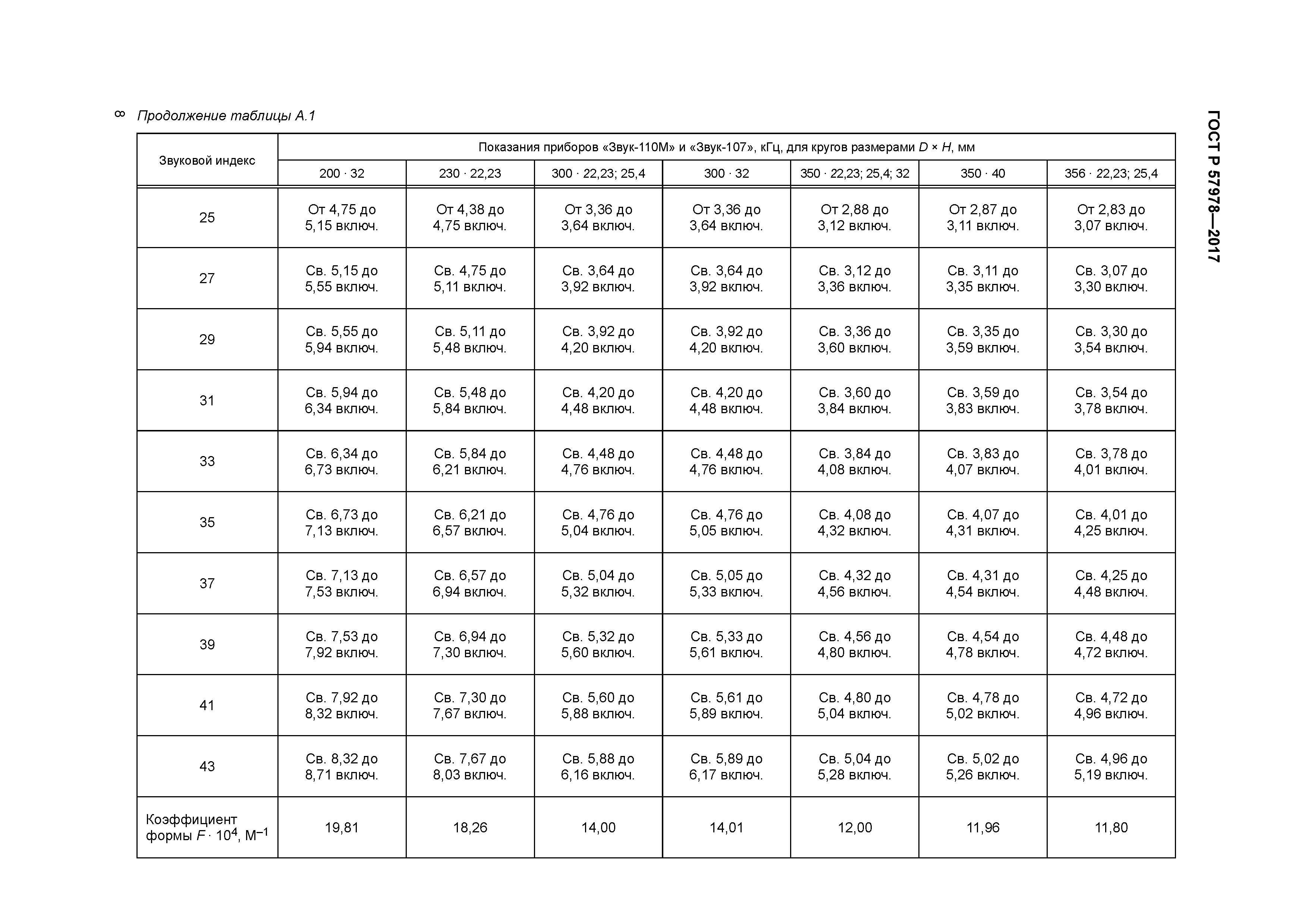
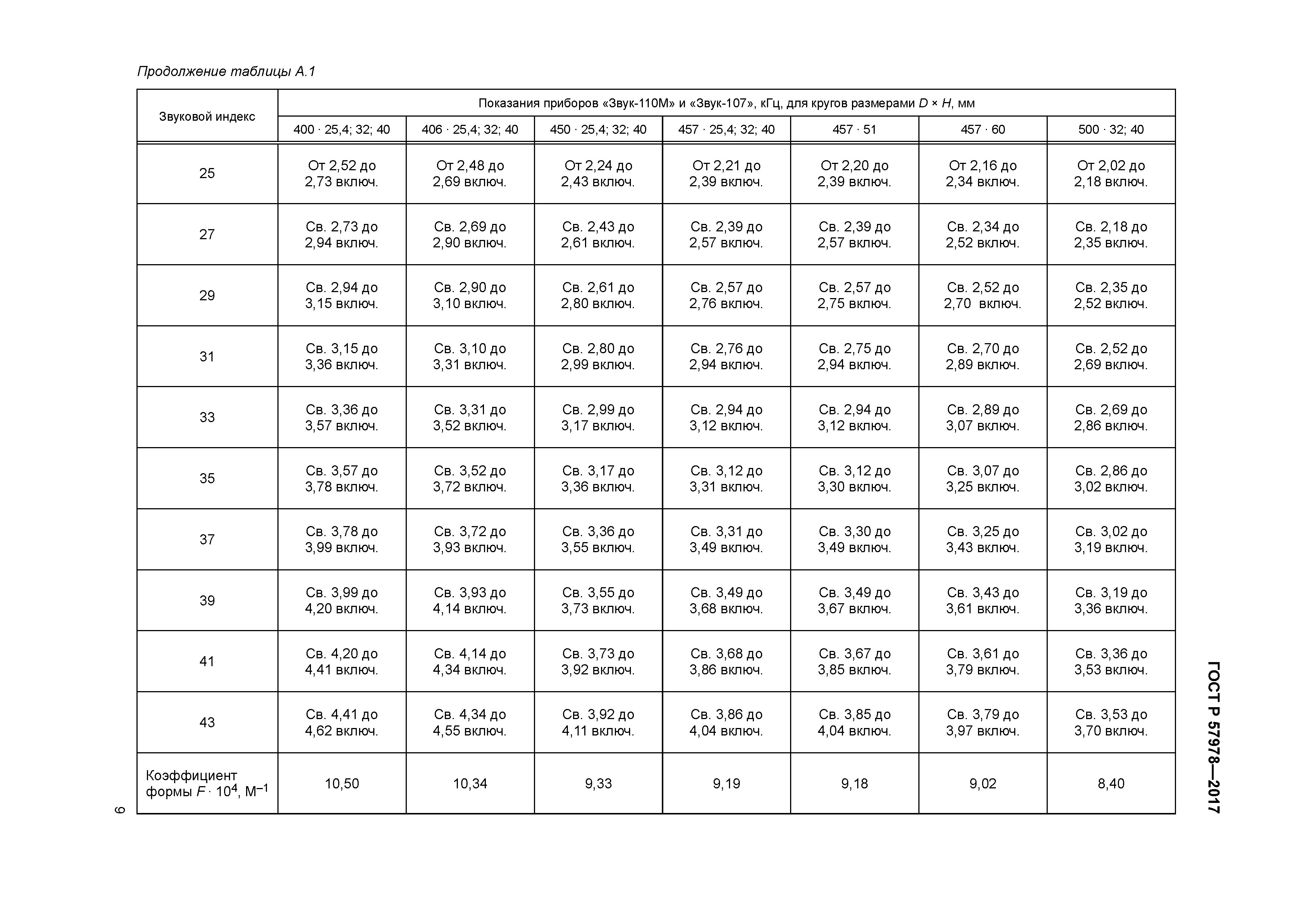
Приложение А (обязательное) Звуковые индексы для наиболее применяемых кругов типа 41 в зависимости от частоты собственных колебаний
Приложение Б (справочное) Ориентировочное соответствие ЗИ по настоящему стандарту обозначениям твердости кругов по ГОСТ Р 52587—2006
Приложение В (обязательное) Примеры выполнения этикеток кругов
Разработан: ФГУП ВНИИНМАШ
Утверждён:22.11.2017 Федеральное агентство по техническому регулированию и метрологии (1799-ст)
Издан: Стандартинформ (2017 г. )
Стандартинформ (2018 г. )
Список изменений:
Нормативные ссылки:
ГОСТ Р 57978-2017ГОСТ Р 57978-2017ГОСТ Р 57978-2017ГОСТ Р 57978-2017ГОСТ Р 57978-2017ГОСТ Р 57978-2017ГОСТ Р 57978-2017ГОСТ Р 57978-2017ГОСТ Р 57978-2017ГОСТ Р 57978-2017ГОСТ Р 57978-2017ГОСТ Р 57978-2017ГОСТ Р 57978-2017ГОСТ Р 57978-2017ГОСТ Р 57978-2017ГОСТ Р 57978-2017ГОСТ Р 57978-2017ГОСТ Р 57978-2017ГОСТ Р 57978-2017ГОСТ Р 57978-2017

Текстовое изменение Поправка от 08.07.2019

Поправка