Скачать ГОСТ IEC 61000-4-30-2017 Электромагнитная совместимость (ЭМС). Часть 4-30. Методы испытаний и измерений. Методы измерений качества электрической энергииДата актуализации: 01.01.2021
|
| Обозначение: | ГОСТ IEC 61000-4-30-2017 |
| Обозначение англ: | 61000-4-30-2017 |
| Статус: | введен впервые |
| Название рус.: | Электромагнитная совместимость (ЭМС). Часть 4-30. Методы испытаний и измерений. Методы измерений качества электрической энергии |
| Название англ.: | Electromagnetic compatibility (EMC). Part 4-30. Testing and measurement techniques. Power quality measurement methods |
| Дата добавления в базу: | 01.01.2019 |
| Дата актуализации: | 01.01.2021 |
| Дата введения: | 01.12.2018 |
| Область применения: | Стандарт устанавливает методы измерений показателей качества электрической энергии в системах электроснабжения переменного тока с заявленной основной частотой 50/60 Гц и порядок интерпретации результатов измерений. |
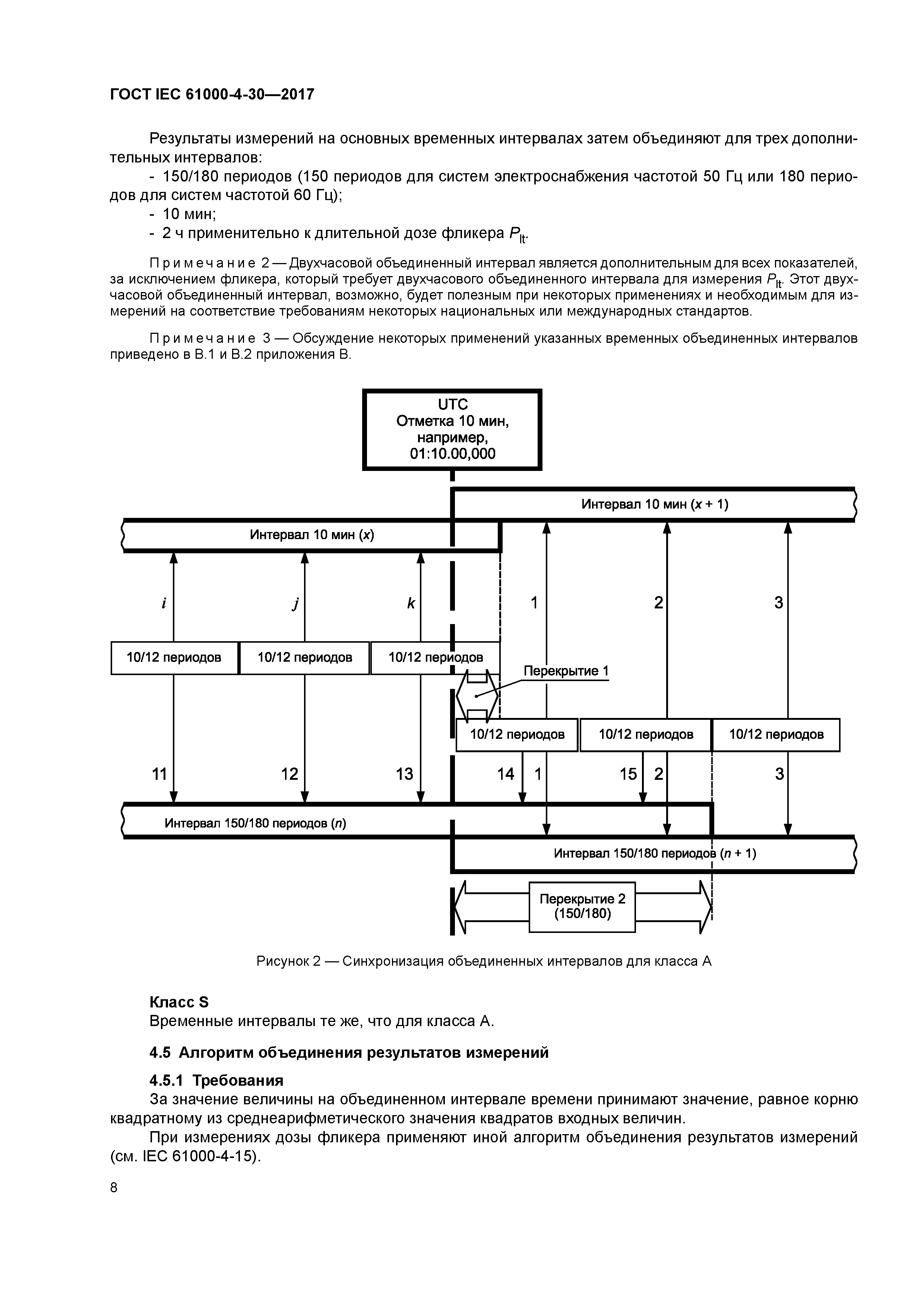
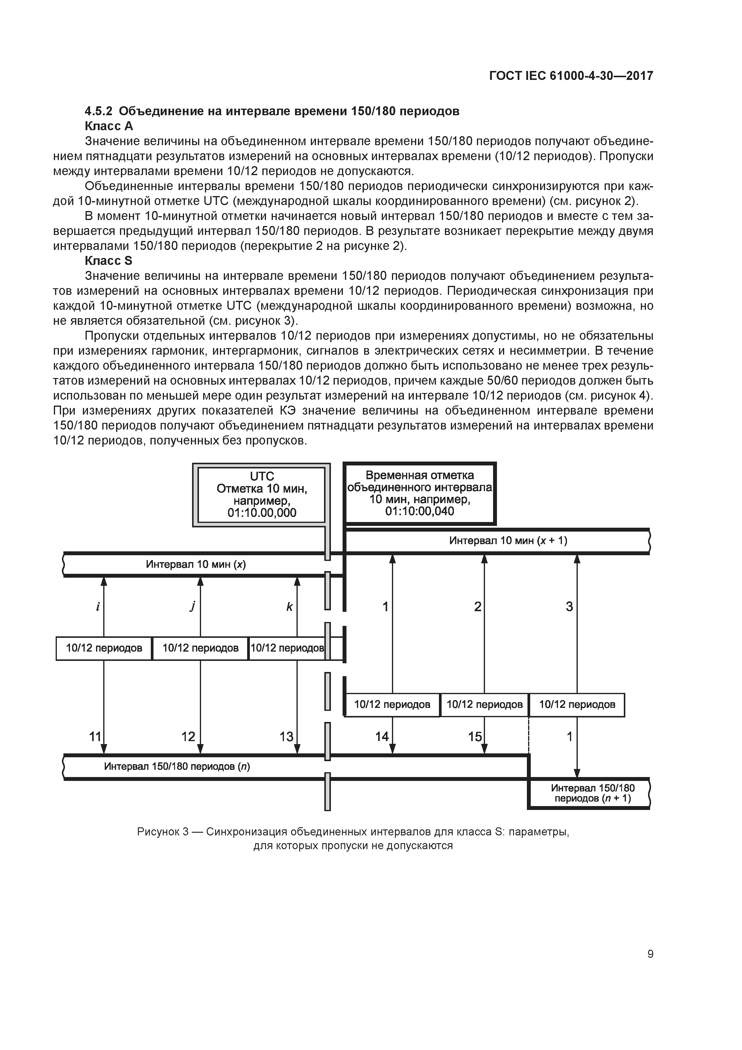
| Оглавление: | 1 Область применения 2 Нормативные ссылки 3 Термины и определения 4 Общие положения 4.1 Классы измерения 4.2 Организация измерений 4.3 Измеряемые электрические величины 4.4 Объединение результатов измерений по времени 4.5 Алгоритм объединения результатов измерений 4.6 Неопределенность измерения времени 4.7 Концепция маркирования 5 Показатели качества электрической энергии 5.1 Частота 5.2 Значение напряжения 5.3 Фликер 5.4 Провалы напряжения и перенапряжения 5.5 Прерывания напряжения 5.6 Переходные процессы напряжения 5.7 Несимметрия напряжений 5.8 Гармоники напряжения 5.9 Интергармоники напряжения 5.10 Напряжения сигналов в электрических сетях 5.11 Быстрое изменение напряжения (RVC) 5.12 Отрицательное и положительное отклонения напряжения 5.13 Ток 6 Верификация качества функционирования Приложение A (справочное) Измерения качества электрической энергии - вопросы и рекомендации Приложение B (справочное) Измерения показателей качества электрической энергии - руководство по проведению Приложение C (справочное) Кондуктивная электромагнитная эмиссия в полосе частот от 2 до 150 кГц Приложение D (справочное) Отрицательное и положительное отклонения напряжения Приложение E (справочное) Методы измерения класса B Приложение ДА (справочное) Сведения о соответствии ссылочных международных стандартов межгосударственным стандартам Библиография |
| Разработан: | ЗАО Научно-испытательный центр САМТЭС ТК 30 Электромагнитная совместимость технических средств |
| Утверждён: | 12.12.2017 Межгосударственный Совет по стандартизации, метрологии и сертификации (Inter-Governmental Council on Standardization, Metrology, and Certification 104-П) 14.12.2017 Федеральное агентство по техническому регулированию и метрологии (1981-ст) |
| Издан: | Стандартинформ (2018 г. ) |
| Нормативные ссылки: |




























































