Скачать ГОСТ 30887-2002 Совместимость технических средств электромагнитная. Системы электрического привода с регулируемой скоростью вращения. Требования и методы испытанийДата актуализации: 01.01.2021
|
| Обозначение: | ГОСТ 30887-2002 |
| Обозначение англ: | GOST 30887-2002 |
| Статус: | заменен |
| Название рус.: | Совместимость технических средств электромагнитная. Системы электрического привода с регулируемой скоростью вращения. Требования и методы испытаний |
| Название англ.: | Electromagnetic compatibility of technical equipment. Adjustable speed electrical power drive systems. Requirements and test methods |
| Дата добавления в базу: | 01.01.2019 |
| Дата актуализации: | 01.01.2021 |
| Дата окончания срока действия: | 01.04.2017 |
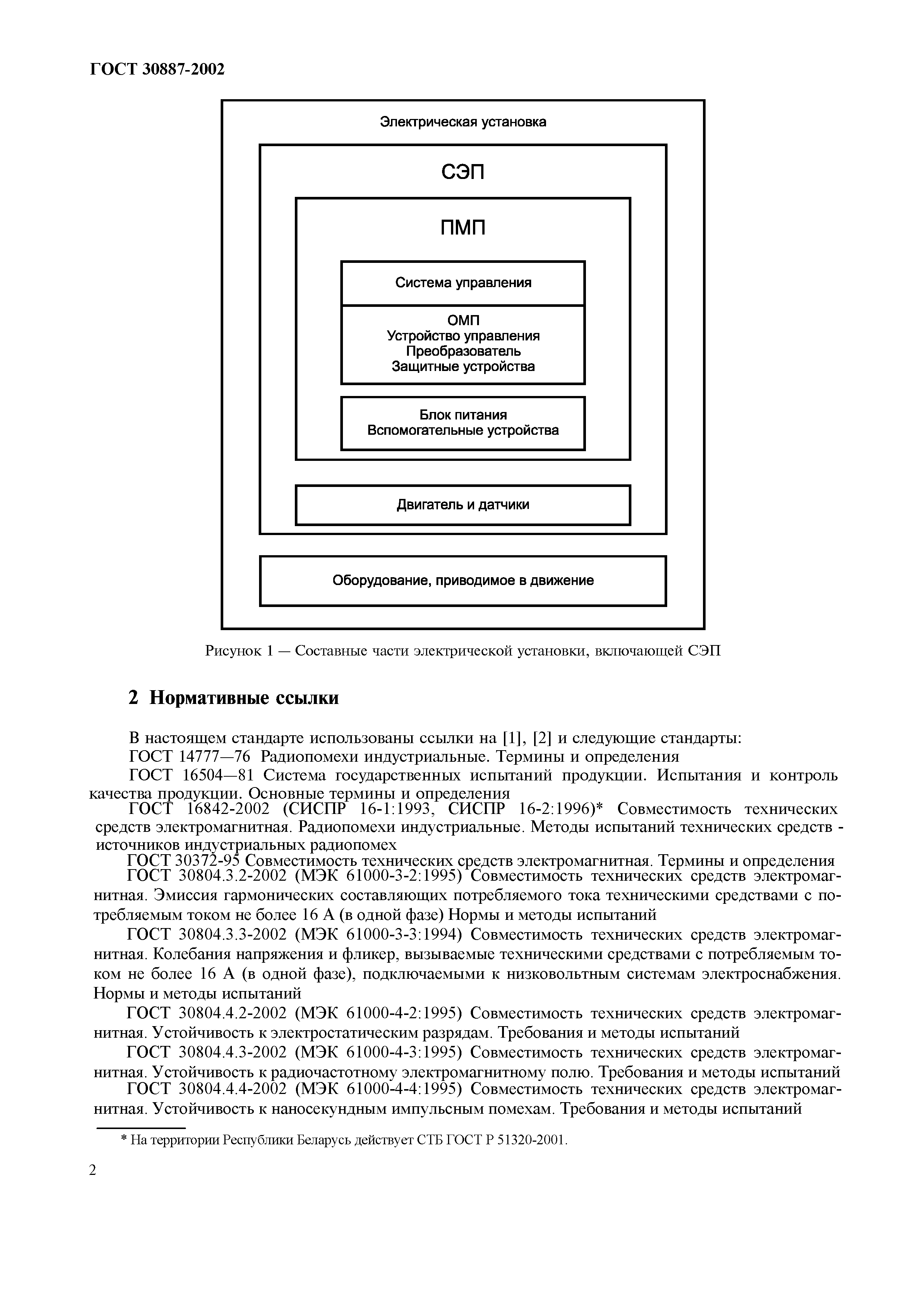
| Область применения: | Стандарт распространяется на системы электрического привода с регулируемой скоростью вращения двигателей переменного и постоянного тока, подключаемые к электрическим сетям переменного тока с номинальным напряжением до 1000 В (СЭП), применяемые в жилых, коммерческих зонах и производственных зонах с малым энергопотреблением, а также в промышленных зонах, за исключением применяемых на электрических транспортных средствах. Стандарт не распространяется на электрические установки, содержащие СЭП. Стандарт устанавливает требования к СЭП по обеспечению электромагнитной совместимости, включая требования устойчивости к электромагнитным помехам (помехоустойчивости) и ограничения помехоэмиссии, а также соответствующие методы испытаний. Стандарт не устанавливает требований безопасности СЭП, в том числе по защите персонала от поражения электрическим током, требований к координации изоляции и соответствующие диэлектрические испытания, а также условия безопасной эксплуатации СЭП или предотвращения опасных последствий аварий. |
| Оглавление: | 1 Область применения 2 Нормативные ссылки 3 Определения 4 Требования помехоустойчивости 4.1 Общие положения 4.2 Критерии качества функционирования при испытаниях на помехоустойчивость 4.3 Устойчивость к низкочастотным помехам 4.4 Устойчивость к высокочастотным помехам 5 Нормы помехоэмиссии 5.1 Общие положения 5.2 Низкочастотные помехи 5.3 Индустриальные радиопомехи 6 Методы испытаний 6.1 Общие положения 6.2 Испытания на помехоустойчивость 6.3 Испытания на помехоэмиссию 7 Оценка результатов испытаний Приложение А Библиография |
| Разработан: | БелГИСС ТК 30 Электромагнитная совместимость технических средств |
| Утверждён: | 30.01.2004 Госстандарт Республики Беларусь (6) 06.11.2002 Евразийский совет по стандартизации, метрологии и сертификации (22) |
| Чем заменён: |
|
| Нормативные ссылки: |
|




















