Скачать СТ РК ГОСТ Р 50835-2010 Вещества взрывчатые бризантные. Методы определения характеристик чувствительности к трению при ударном сдвигеДата актуализации: 01.01.2021
|
| Обозначение: | СТ РК ГОСТ Р 50835-2010 |
| Обозначение англ: | 50835-2010 |
| Статус: | применяется в еаэс |
| Название рус.: | Вещества взрывчатые бризантные. Методы определения характеристик чувствительности к трению при ударном сдвиге |
| Дата добавления в базу: | 01.01.2019 |
| Дата актуализации: | 01.01.2021 |
| Дата введения: | 01.01.2012 |
| Область применения: | Стандарт распространяется на твердые бризантные взрывчатые вещества и устанавливает методы определения следующих характеристик чувствительности к трению при ударном сдвиге: - нижнего предела чувствительности к трению - основная характеристика; - частости взрывов - дополнительная характеристика, используемая для определения вероятности взрыва бризантных взрывчатых веществ в зависимости от давления прижатия |
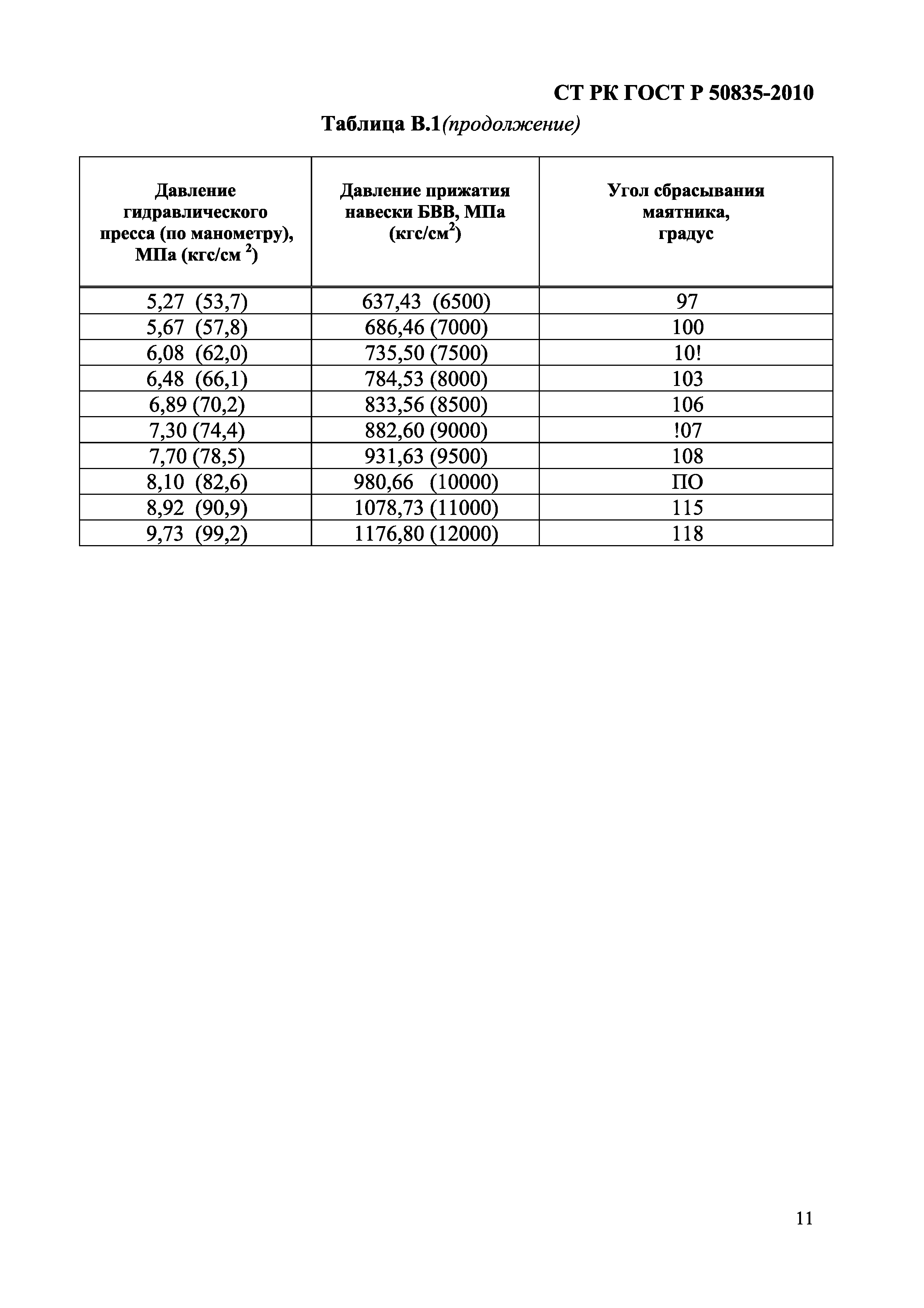
| Оглавление: | 1 Область применения 2 Нормативные ссылки 3 Термины и определения 4 Порядок отбора проб 5 Аппаратура, материалы и реактивы 6 Подготовка аппаратуры к испытанию 7 Определение нижнего предела чувствительности к трению 8 Определение частности взрывов 9 Требования безопасности Приложение А (информационное) Схема прибора К-44-3 Приложение Б (обязательное) Роликовый прибор. Муфта. Ролик Приложение В (информационное) Соотношения давления гидравлического пресса (по манометру) с давлением прижатия навески БВВ и углом сбрасывания маятника, обеспечивающим постоянное значение сдвига (1,5 мм), на приборе К-44-3 |
| Разработан: | Технический комитет по стандартизации № 69 Инновационные технологии инфраструктуры Республиканское государственное предприятие Казахстанский институт метрологии |
| Утверждён: | 15.12.2010 Комитет технического регулирования и метрологии Министерства индустрии и новых технологий Республики Казахстан (575-од) |
| Нормативные ссылки: |



























