Скачать Отраслевая методика определения экономической эффективности новой техники и совершенствования производства в угольной промышленностиДата актуализации: 01.01.2021
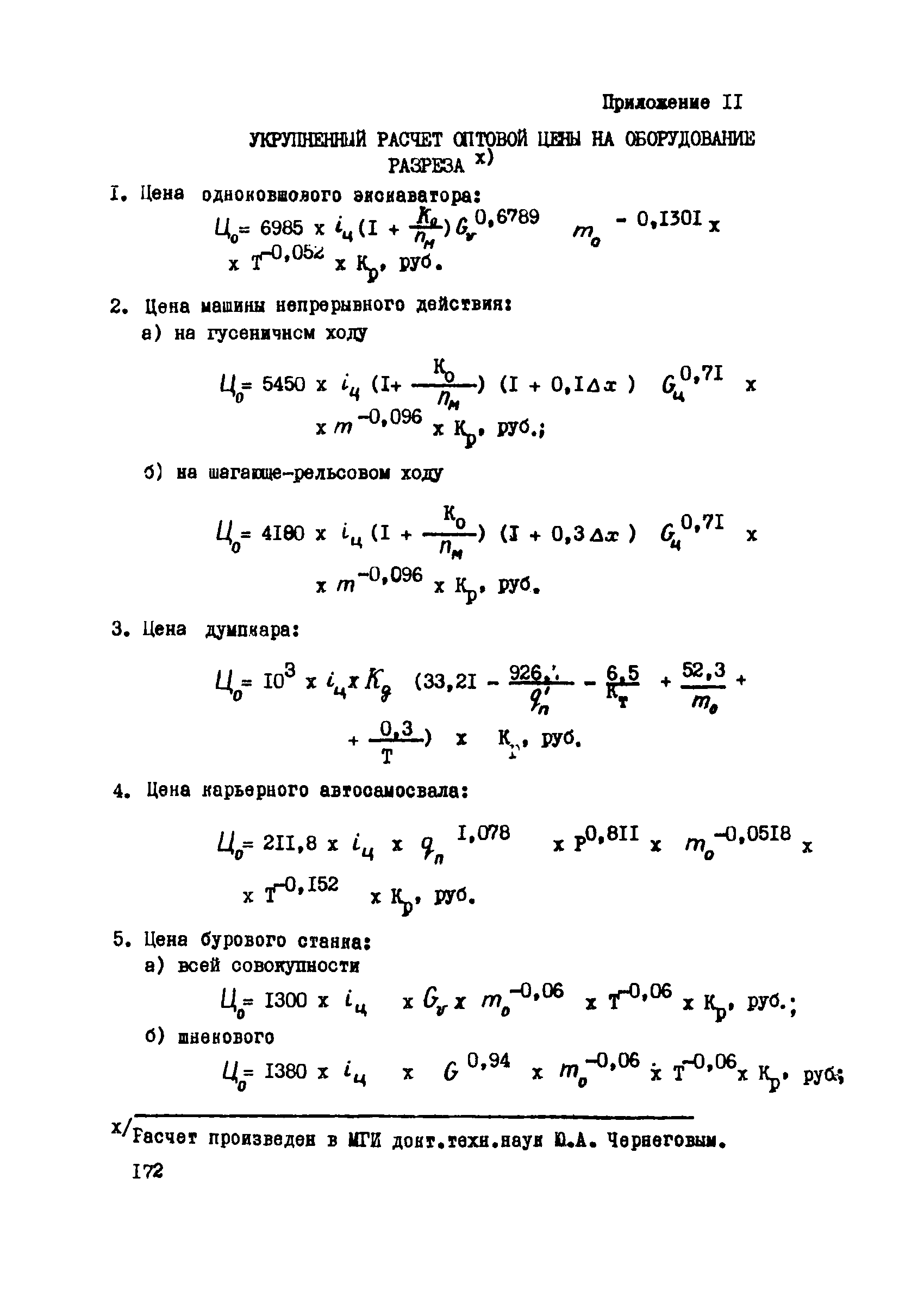
Отраслевая методика определения экономической эффективности новой техники и совершенствования производства в угольной промышленности| Статус: | заменен | | Название рус.: | Отраслевая методика определения экономической эффективности новой техники и совершенствования производства в угольной промышленности | | Дата добавления в базу: | 01.01.2021 | | Дата актуализации: | 01.01.2021 | | Область применения: | Отраслевая методика содержит рекомендации по определению экономической эффективности новой техники и совершенствования производства в угольной промышленности. В ней рассматриваются специфические особенности расчетов экономической эффективности при проектировании машин и анализе результатов внедрения нового и совершенствования действующего горношахтного оборудования. | | Оглавление: | I. Общие сведения II. Основные показатели экономической эффективности новой техники III. Дополнительные показатели экономической эффективности и косвенные последствия ввода новой техники IV. Особенности определения экономической эффективности новой техники на стадии ее проектирования V. Особенности определения фактически достигнутой эффективности новой техники VI. Особенности расчета годового экономического эффекта для определения размеров премирования за внедрение новой техники VII. Особенности определения экономической эффективности повышения эксплуатационной надежности оборудования VIII. Особенности определения экономической эффективности автоматизации производственных процессов и совершенствования средств и систем автоматизации IX. Особенности расчетов эффективности мероприятий в области организации труда X. Особенности определения экономической эффективности новой техники для предприятия, угольного машиностроения, переведенных на новую систему планирования и экономического стимулирования XI. Укрупненные методы расчета планового или фактически достигнутого эффекта от внедрения новой техники сравнительно с предшествующим периодом при росте объемов продукции, производимой новой техникой XII. Примеры определения экономической эффективности отдельных видов новой техники Приложение 1. Укрупненные методы определения годового экономического эффекта от внедрения отдельных видов новой техники Приложение 2. Расчетные коэффициенты доплат для подсчета полной заработной платы рабочих, ИТР и служащих на шахтах основных бассейнов Приложение 3. Нормативы суточной нагрузки на очистной забой, определяющие группы дифференцированного размена премии за выполнение плана для рабочих, занятых на очистных работах Приложение 4. Нормативы объемов прохождения выработок, определяющие группы дифференцированного размера премии за выполнение плана для рабочих, занятых на подготовительных работах Приложение 5. Поправочные коэффициенты для корректировки сдельной заработной платы рабочих очистного забоя на 1 т добычи угля по мощности пласта Приложение 6. Коэффициенты списочного состава по группам рабочих с различной продолжительностью очередного трудового отпуска Приложение 7. Стоимость 1 кг веса узлов для подсчета ожидаемой цены создаваемых механизированных крепей при их серийном производстве Приложение 8. Расчетные нормативы резерва оборудования Приложение 9. Отпускные цены на горношахтное оборудование (действующие и намечаемые при серийном производстве создаваемой новой техники) Приложение 10. Нормы расхода горнорежущего инструмента и его оптовые цены Приложение 11. Укрупненный расчет оптовой цены на оборудование разреза Приложение 12. Нормативы расхода лесных материалов при различных способах управления кровлей Приложение 13. Нормативы расхода взрывчатых материалов Приложение 14. Тарифы на потребляемую электроэнергию Приложение 15. Отпускные цены на уголь Приложение 16. Расход масла при работе механизированных комплексов в зависимости от разрабатываемой мощности пласта и длины очистного забоя Приложение 17. Расход присадки для приготовления эмульсии, используемой при работе механизированных комплексов, в зависимости от разрабатываемой мощности пласта и длины очистного забоя Приложение 18. Укрупненные кормы погашения расходов по спецодежде на одного рабочего в сутки Приложение 19. Определение стоимости проведения подготовительных выработок, прилегающих к очистному забою Приложение 20. Расчетные нормативы времени по операциям рабочих процессов при очисткой выемке угля (А) и проведении подготовительных выработок (Б) Приложение 21. Средняя фактическая продолжительность отдельных операций при механизированном обмене вагонеток в клетях Приложение 22. Трудоемкость отдельных производственных процессов в зависимости от вида механизации очистных работ Приложение 23. Распределение механизированного и ручного труда на отдельных производственных процессах при проведении горных выработок различных групп Приложение 24. Удельный вес условно постоянных расходов по отдельным производственным процессам в себестоимости 1 т угля по шахтам Донбасса Приложение 25. Временные оптовые цены на работы по монтажу, демонтажу, наладке и ревизии механизированных комплексов, выполняемые специализированным подземным участком рудоремонтного завода Приложение 26. Распределение себестоимости 1 т угля по технологическим звеньям на шахтах Донбасса, разрабатывающих пологие пласты Приложение 27. Удельный вес фактических трудовых затрат па профилактические осмотры и ремонты и на ликвидацию случайных отказов в общих фактических затратах на слесарное обслуживание основных видов оборудования комплекса Приложение 28. Высвобождение явочного штата рабочих в результате автоматизации производственных процессов Приложение 29. Численность электрослесарей для обслуживания средств автоматизации Приложение 30. Экономия электроэнергии в результате автоматизации производственных процессов Приложение 31. Пример расчета рабочей скорости подачи комбайна типа К-105 с крепью типа М-87 Приложение 32. Себестоимость процесса обогащения 1 т продуктов обогащения Приложение 33. Сводные данные об измельчении антрацита на отдельных звеньях технологической цепи Приложение 34. Методика определения допустимой толщины стружки, снимаемой стругами типов УСБ и УСТ в зависимости от сопротивляемости антрацита резанию.. Приложение 35. Снижение годовых затрат на материалы, запасные части и спецодежду при автоматизации производственных процессов Приложение 36. Капитальные затраты при автоматизации конвейерных линий Приложение 37. Капитальные затраты при автоматизации скипового подъема с применением аппаратуры АГП-61 Приложение 38. Капитальные затраты при автоматизации главной водоотливной установки с применением аппаратуры УАВ Приложение 39. Капитальные затраты при автоматизации технологического комплекса (сортировки) Приложение 40. Капитальные затраты при автоматизации комплекса погрузки угля в железнодорожные вагоны Приложение 41. Капитальные затраты на автоматизацию комплекса обмена вагонеток в надшахтном здании Приложение 42. Капитальные затраты при автоматизации подземного погрузочного пункта Приложение 43. Капитальные затраты при автоматизации комплекса разгрузки вагонеток в околоствольном дворе Приложение 44. Капитальные затраты при автоматизации рельсовых терриконов, насосов хозяйственного и противопожарного водоснабжении и подземных подстанций Приложение 45. Капитальные затраты при автоматизации электровозной откатки с применением аппаратуры ЧУС-3 Приложение 46. Капитальные затраты при автоматизации вентиляторной установки с применением аппаратуры КУАВ Приложение 47. Нормы амортизационных отчислений на аппаратуру автоматизации Приложение 48. Увеличение пропускной способности технологических звеньев при автоматизации Приложение 49. Рост пропускной способности электровозной откатки при переводе стрелок с движущегося электровоза Приложение 50. Рекомендуемый календарный период между двумя профилактическими осмотрами для аппаратуры горной автоматики Приложение 51. Нормы затрат на материалы и запасные части при устранении отказов и проведении профилактических ремонтов Приложение 52. Формы для расчета экономической эффективности внедрении новой техники Использованная литература | | Разработан: | Центргипрошахт Минуглепрома СССР Гипроуглемаш Донгипроуглемаш Гипроуглеавтоматизация Центральный научно-исследовательский институт экономики и научно-технической информации угольной промышленности (ЦНИЭИуголь)
| | Утверждён: | 22.11.1972 Министерство угольной промышленности СССР (USSR Ministry of the Coal Industry 388)
|
                                                                                                                                                                                                                                                                                                           
|