Скачать Методика расчета нагрузок на элементы рештачного става, формирующихся в опорах выемочного комбайнаДата актуализации: 01.01.2021
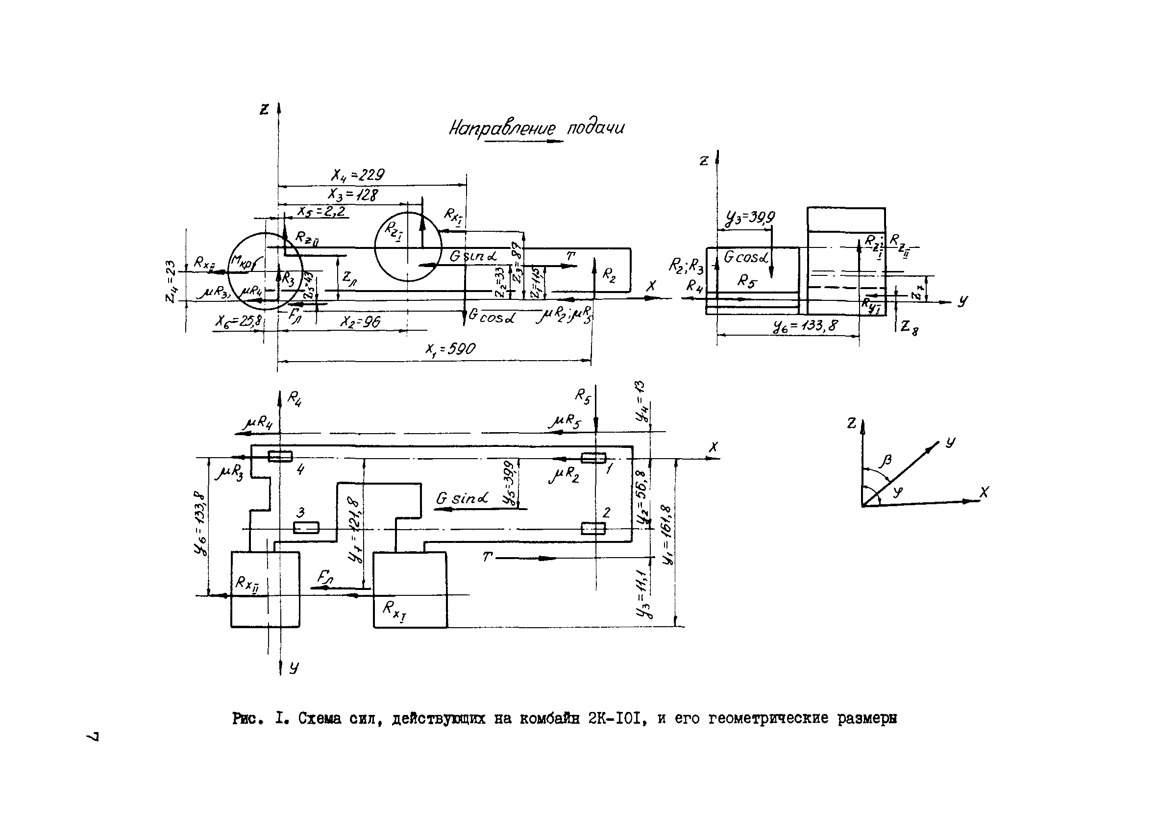
Методика расчета нагрузок на элементы рештачного става, формирующихся в опорах выемочного комбайна| Статус: | справочные материалы, мп, тпр | | Название рус.: | Методика расчета нагрузок на элементы рештачного става, формирующихся в опорах выемочного комбайна | | Дата добавления в базу: | 01.01.2019 | | Дата актуализации: | 01.01.2021 | | Область применения: | Методика распространяется на расчеты нагрузок, формируемых в опорах комбайна и действующих на линейные секции рештачного става забойного конвейера. Методика предназначена для работников угольного машиностроения, занимающихся модернизацией существующих и созданием новых типов забойных передвижных конвейеров и выемочных комбайнов. | | Оглавление: | Введение Расчет нагрузок в опорах выемочных машин Расчет нагрузок, передаваемых опорами комбайна на верхние полки рештаков и направляющие Расчет цилиндрической направляющей Расчет нагрузок, передаваемых опорами комбайна на пороги между рештаками и замковыми соединениями Расчет нагрузок, действующих на направляющие Пример расчета нагрузок в опорах выемочного комбайна ГШ-68 Пример расчета нагрузок на элементы рештачного става конвейера СЦМ87ДН, передаваемых опорами комбайна ГШ—68 Литература | | Разработан: | Институт горного дела им. А.А. Скочинского
| | Утверждён: | 09.09.1975 Институт горного дела им. А.А. Скочинского
|
                                            
|