Скачать Методические рекомендации по проектированию технологических устройств для регулирования режимов электропотребления на угольных шахтах

Дата актуализации: 01.01.2021

Методические рекомендации по проектированию технологических устройств для регулирования режимов электропотребления на угольных шахтах

Статус:действует
Название рус.:Методические рекомендации по проектированию технологических устройств для регулирования режимов электропотребления на угольных шахтах
Дата добавления в базу:01.01.2019
Дата актуализации:01.01.2021
Дата введения:01.10.1987
Область применения:Рекомендации предназначены для применения при разработке проектов на строительство новых, реконструкцию, расширение и техническое перевооружение действующих шахт с обычной технологией добычи угля Министерства угольной промышленности СССР в части создания технических основ использования электроприемников в качестве потребителей-регуляторов с целью полного или частичного отключения (частичного снижения мощности) потребителей в период прохождения максимума нагрузки в питающей энергосистеме.
Оглавление:1 Общие положения
2 Организационные мероприятия
3 Технические мероприятия
Приложение 1. Методика определения экономической целесообразности регулирования режимов электропотребления на технологических процессах "Добыча и транспортирование угля" и "Транспортирование породы"
Приложение 2. Методика определения экономической целесообразности регулирования режимов электропотребления на технологическом процессе "Шахтный водоотлив"
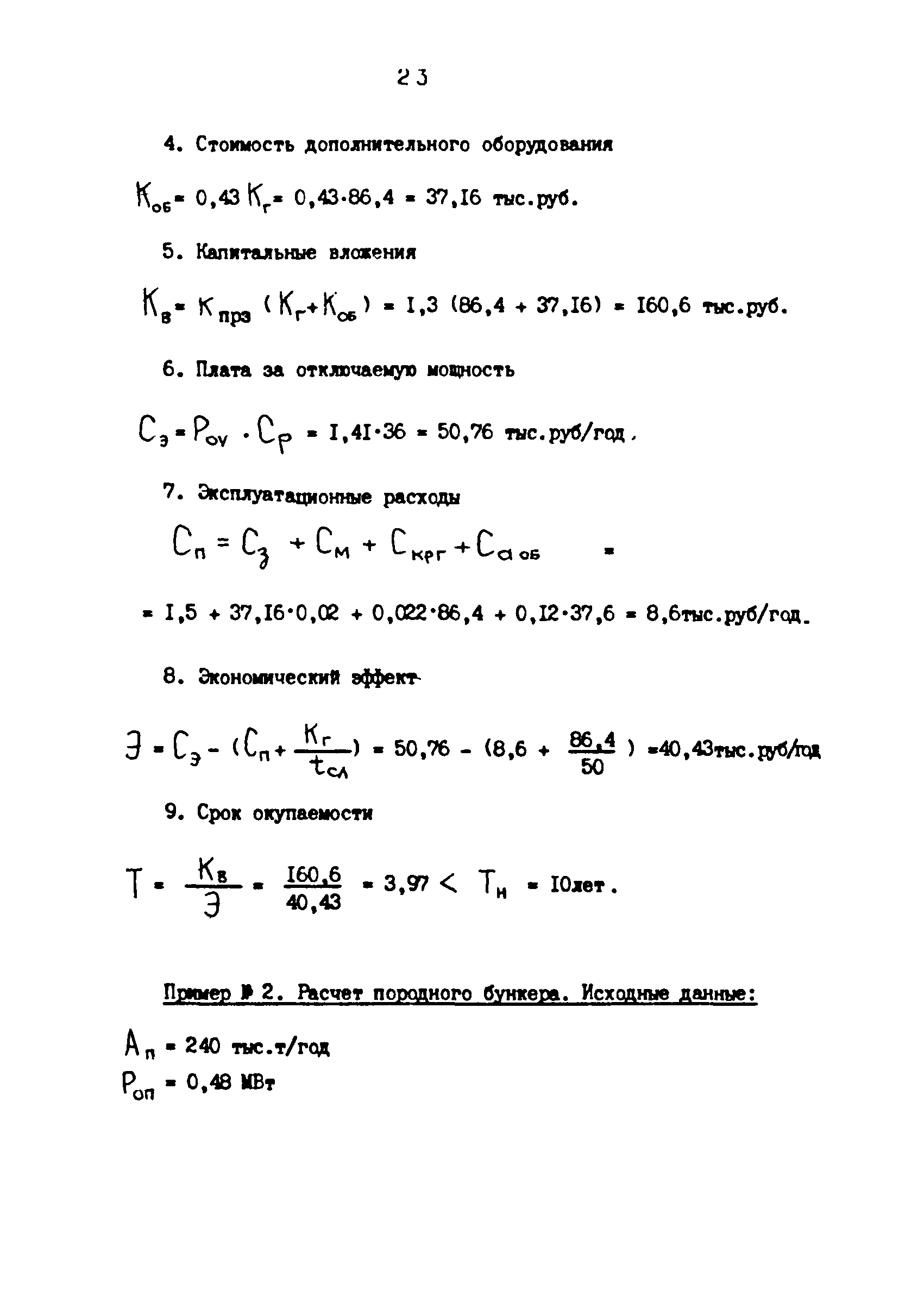
Приложение 3. Пример 1. Расчет угольного бункера
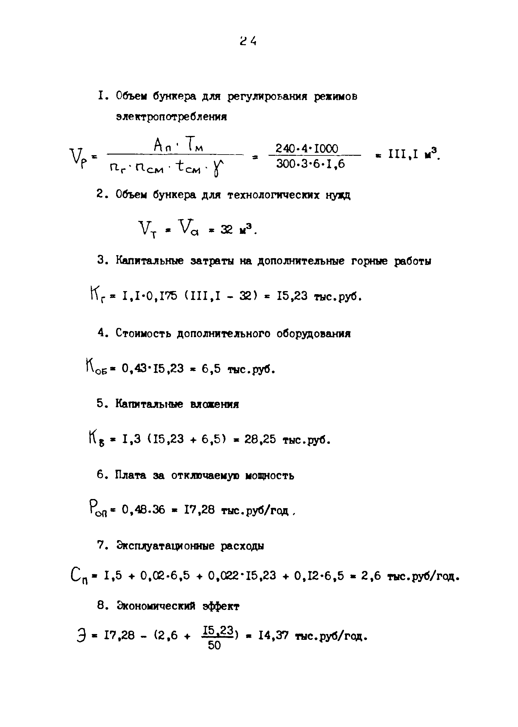
   Пример 2. Расчет породного бункера
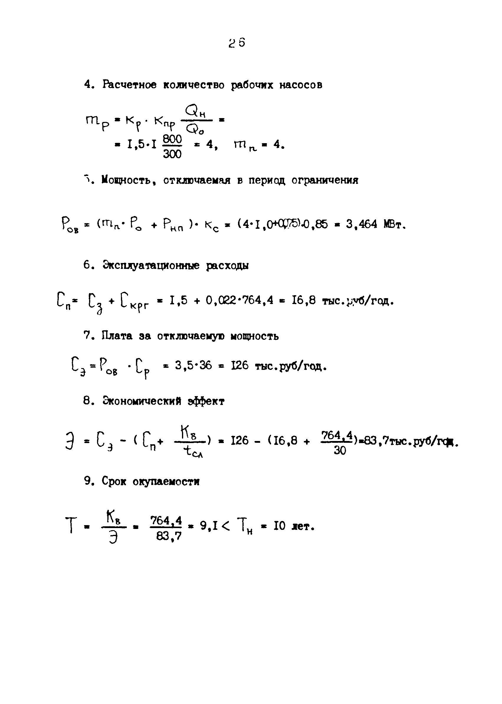
   Пример 3. Расчет емкости водосборника
Разработан: Днепрогипрошахт
Утверждён: Союзшахтопроект
Принят:14.05.1987 Министерство угольной промышленности СССР (USSR Ministry of the Coal Industry )