Скачать ГОСТ Р 57700.17-2018 Численное моделирование физических процессов. Численное моделирование дозвуковых течений вязких жидкостей и газов. Валидация ПОДата актуализации: 01.01.2021
|
| Обозначение: | ГОСТ Р 57700.17-2018 |
| Обозначение англ: | GOST R 57700.17-2018 |
| Статус: | введен впервые |
| Название рус.: | Численное моделирование физических процессов. Численное моделирование дозвуковых течений вязких жидкостей и газов. Валидация ПО |
| Название англ.: | Numerical modeling of physical processes. Numerical simulation of subsonic flows of viscous liquids and gases. Software validation |
| Дата добавления в базу: | 01.01.2019 |
| Дата актуализации: | 01.01.2021 |
| Дата введения: | 01.01.2019 |
| Область применения: | Стандарт определяет общие требования к валидации программного обеспечения компьютерного моделирования, применяемого для численного моделирования турбулентного дозвукового движения (течения) жидкости или газа. Дозвуковым называют течение жидкости в том случае, если ее скорость меньше скорости звука. Турбулентным называют течение, характеризующееся наличием стохастических пульсаций. Течение может сопровождаться переносом тепла, диффузией компонентов и химическими реакциями. В зависимости от рассматриваемого диапазона условий правильную картину течения можно получать в рамках моделей несжимаемой жидкости, слабо-сжимаемой жидкости или сжимаемой жидкости. Стандарт применим для валидации программного обеспечения компьютерного моделирования при проведении их сертификации. |
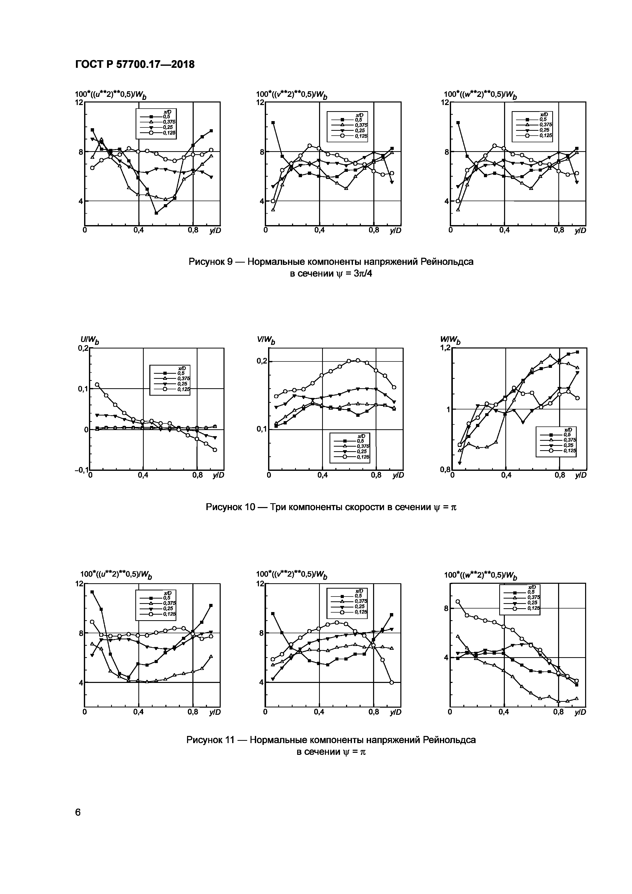
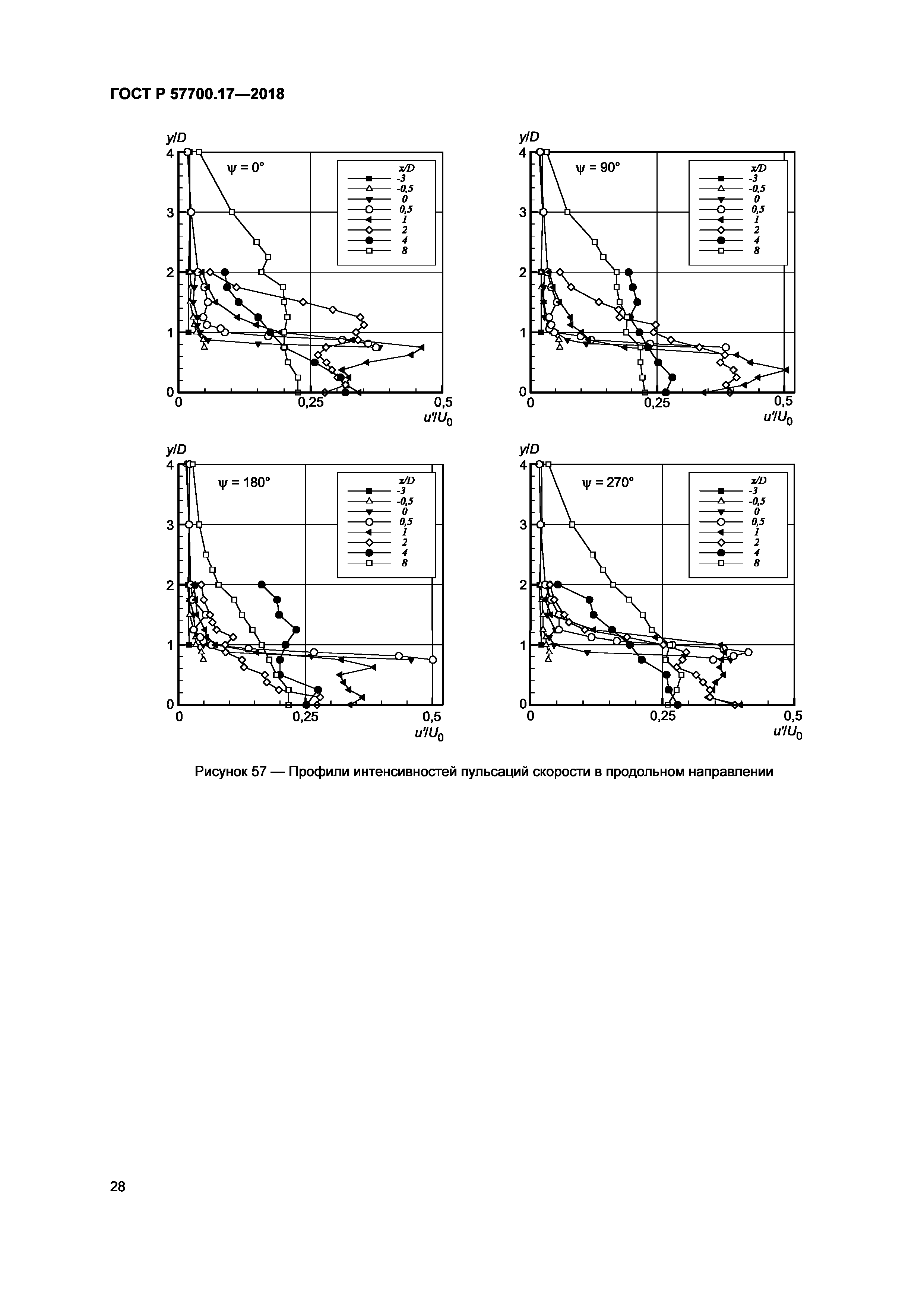
| Оглавление: | 1 Область применения 2 Нормативные ссылки 3 Термины, определения и сокращения 4 Общие положения 5 Требования к валидации ПО 6 Рекомендуемые эталоны для проведения валидации ПО 6.1 Течение в 180-градусном повороте в трубе квадратного сечения [3] — [5] 6.2 Течение Куэтта (рисунок 12) с неподвижной волнистой стенкой [6] — [9] 6.3 Обтекание 20 холма (рисунок 17) в канале [10] — [13] 6.4 Круглая струя (рисунок 22), нормально падающая на плоскость [14] — [21] 6.5 Обтекание обратного уступа (рисунок 27) [22] 6.6 Обтекание кубического препятствия в канале [23] — [26] 6.7 Течение (рисунок 47) в конически расширяющейся трубе [27] 6.8 Турбулентная дорожка Кармана (рисунок 54) за квадратным цилиндром [28] — [30] Библиография |
| Разработан: | ЗАО Т-Сервисы |
| Утверждён: | 06.02.2018 Федеральное агентство по техническому регулированию и метрологии (57-ст) |
| Издан: | Стандартинформ (2018 г. ) |
| Нормативные ссылки: |
|



































