Скачать ГОСТ Р 51256-2018 Технические средства организации дорожного движения. Разметка дорожная. Классификация. Технические требования

Дата актуализации: 01.01.2021

ГОСТ Р 51256-2018

Технические средства организации дорожного движения. Разметка дорожная. Классификация. Технические требования

Обозначение: ГОСТ Р 51256-2018
Обозначение англ: GOST R 51256-2018
Статус:взамен
Название рус.:Технические средства организации дорожного движения. Разметка дорожная. Классификация. Технические требования
Название англ.:Traffic control devices. Road marking. Classification. Technical requirements
Дата добавления в базу:01.01.2019
Дата актуализации:01.01.2021
Дата введения:01.06.2018
Область применения:Стандарт распространяется на разметку автомобильных дорог общего пользования, улиц и дорог городов и сельских поселений, и устанавливает классификацию и технические требования к ней.
Оглавление:1 Область применения
2 Нормативные ссылки
3 Термины, определения и обозначения
4 Классификация дорожной разметки
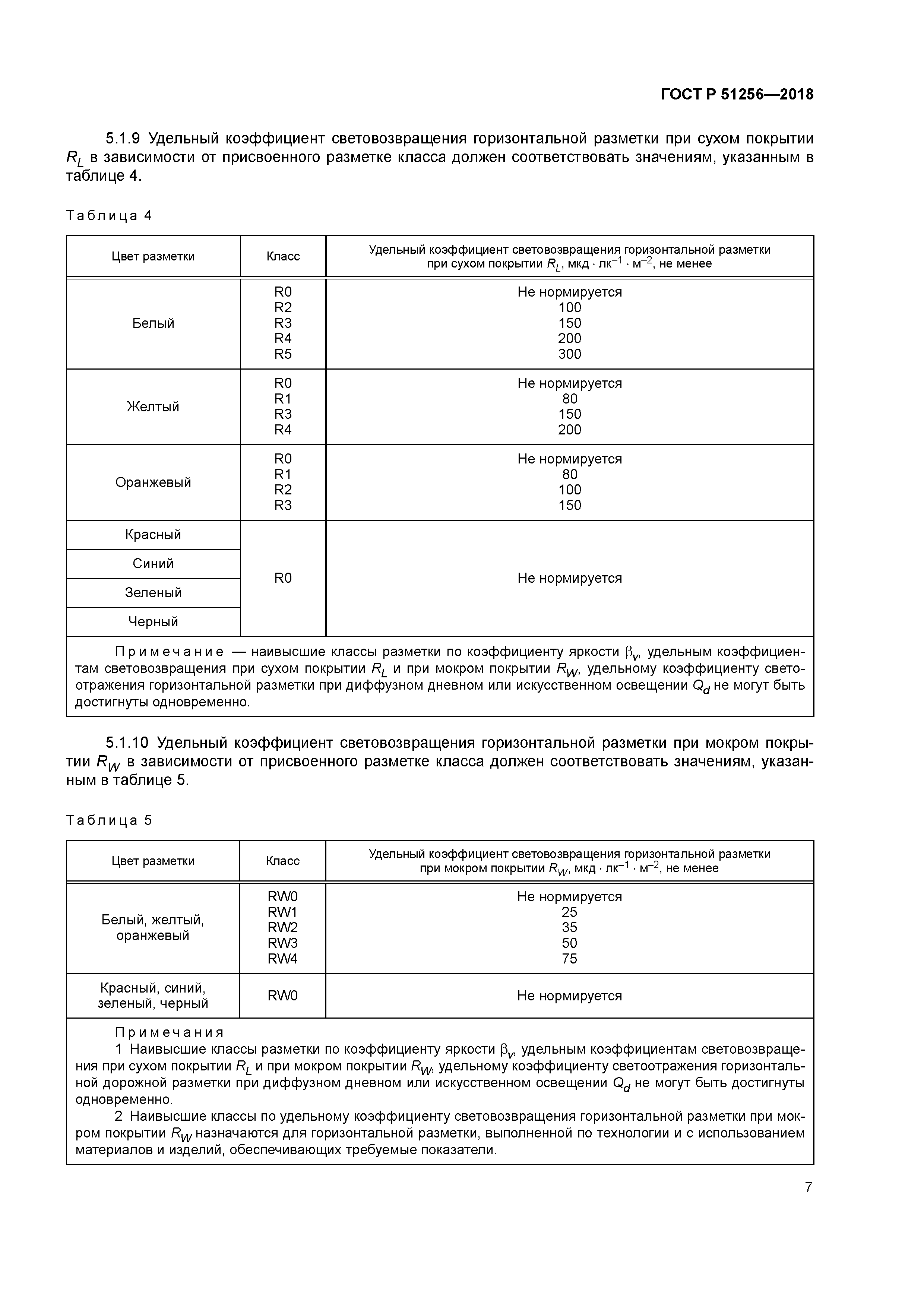
5 Технические требования
6 Методы контроля
7 Правила применения
Приложение А (обязательное) Форма, цвет, размеры горизонтальной разметки
Приложение Б (обязательное) Размеры отдельных типов горизонтальной разметки
Приложение В (обязательное) Форма, цвет, размеры вертикальной разметки
Приложение Г (обязательное) Размеры отдельных типов вертикальной разметки
Библиография
Разработан: ООО ЦИТИ Дорконтроль
Утверждён:20.02.2018 Росстандарт (81-ст)
Заменяет собой:
Нормативные ссылки:
ГОСТ Р 51256-2018ГОСТ Р 51256-2018ГОСТ Р 51256-2018ГОСТ Р 51256-2018ГОСТ Р 51256-2018ГОСТ Р 51256-2018ГОСТ Р 51256-2018ГОСТ Р 51256-2018ГОСТ Р 51256-2018ГОСТ Р 51256-2018ГОСТ Р 51256-2018ГОСТ Р 51256-2018ГОСТ Р 51256-2018ГОСТ Р 51256-2018ГОСТ Р 51256-2018ГОСТ Р 51256-2018ГОСТ Р 51256-2018ГОСТ Р 51256-2018ГОСТ Р 51256-2018ГОСТ Р 51256-2018ГОСТ Р 51256-2018ГОСТ Р 51256-2018ГОСТ Р 51256-2018ГОСТ Р 51256-2018ГОСТ Р 51256-2018ГОСТ Р 51256-2018ГОСТ Р 51256-2018ГОСТ Р 51256-2018ГОСТ Р 51256-2018ГОСТ Р 51256-2018ГОСТ Р 51256-2018ГОСТ Р 51256-2018ГОСТ Р 51256-2018ГОСТ Р 51256-2018ГОСТ Р 51256-2018ГОСТ Р 51256-2018ГОСТ Р 51256-2018ГОСТ Р 51256-2018ГОСТ Р 51256-2018ГОСТ Р 51256-2018ГОСТ Р 51256-2018