Скачать Типовые нормы бесплатной выдачи специальной одежды, специальной обуви и других средств индивидуальной защиты работникам, занятым на геологических, топографо-геодезических, изыскательских, землеустроительных работах и в картографическом производстве (занятым на работах с вредными и (или) опасными условиями труда, а также на работах, выполняемых в особых температурных условиях или связанных с загрязнением)Дата актуализации: 01.01.2021 |
| Статус: | действует |
| Название рус.: | Типовые нормы бесплатной выдачи специальной одежды, специальной обуви и других средств индивидуальной защиты работникам, занятым на геологических, топографо-геодезических, изыскательских, землеустроительных работах и в картографическом производстве (занятым на работах с вредными и (или) опасными условиями труда, а также на работах, выполняемых в особых температурных условиях или связанных с загрязнением) |
| Дата добавления в базу: | 01.01.2019 |
| Дата актуализации: | 01.01.2021 |
| Дата введения: | 03.06.2018 |
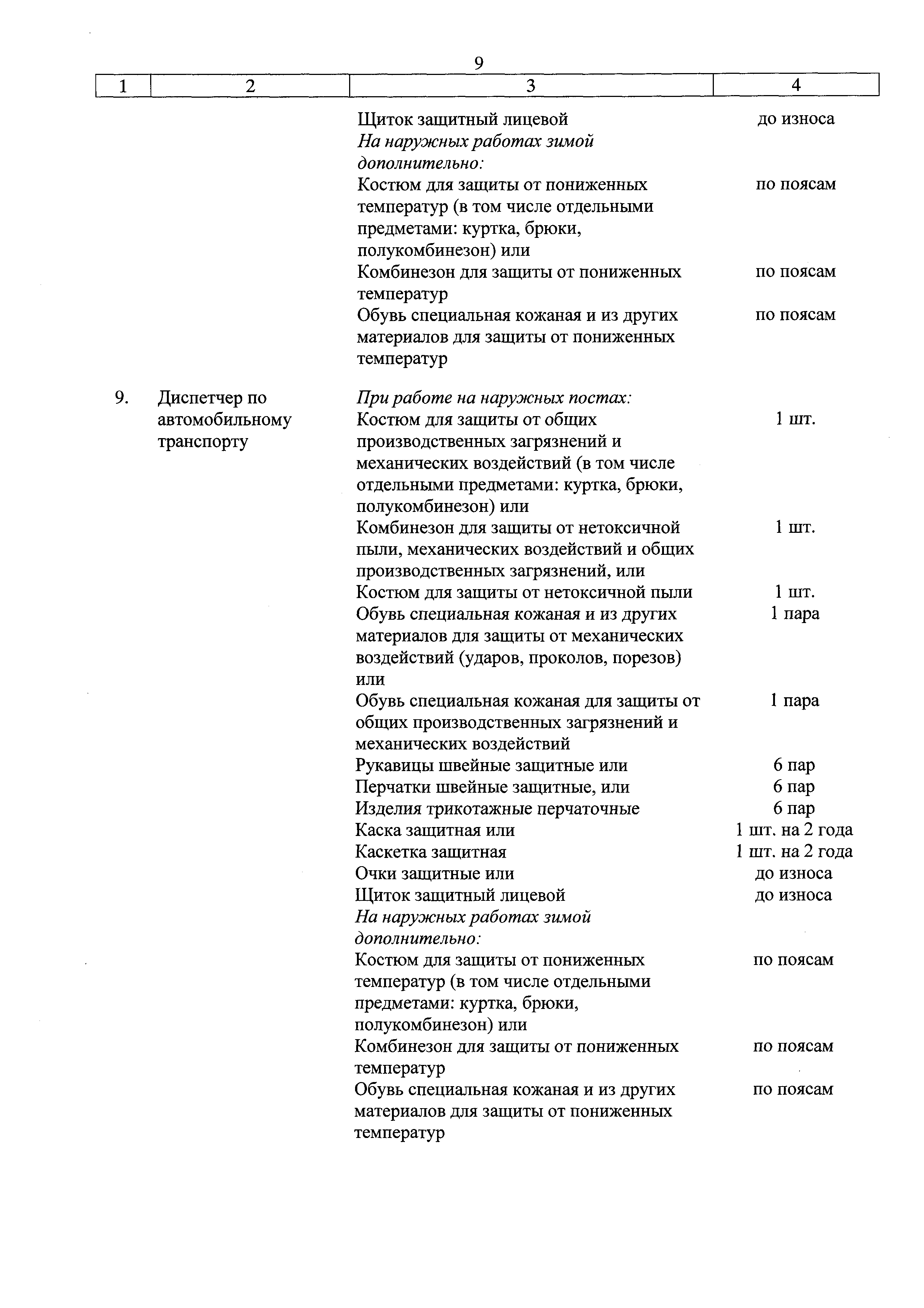
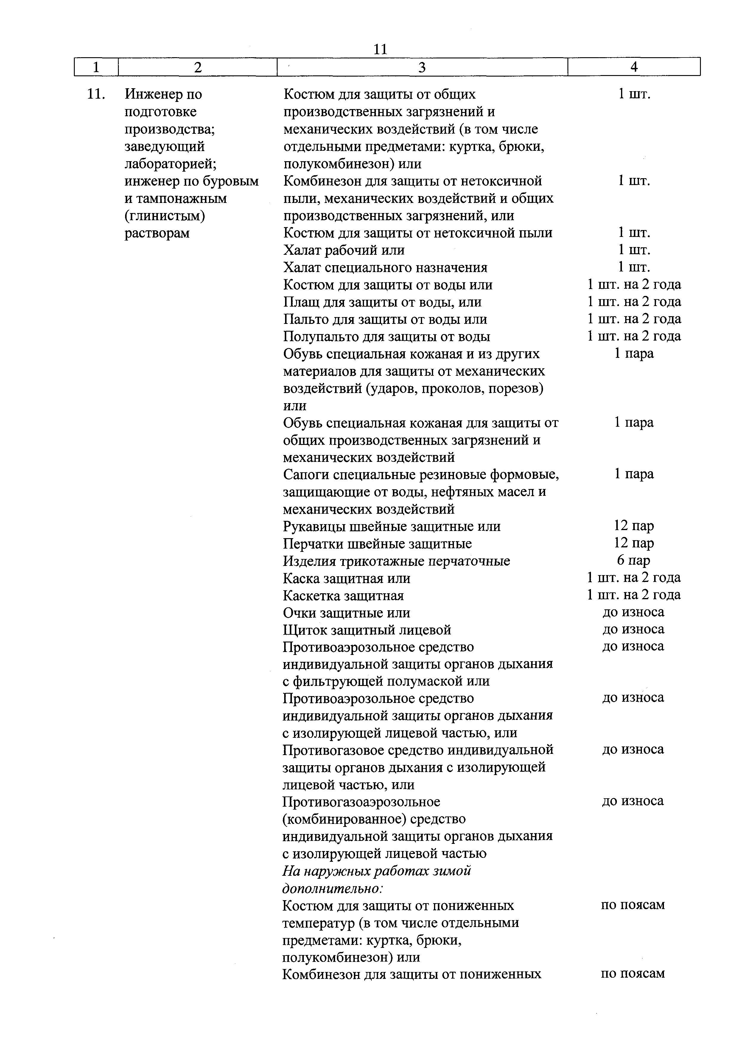
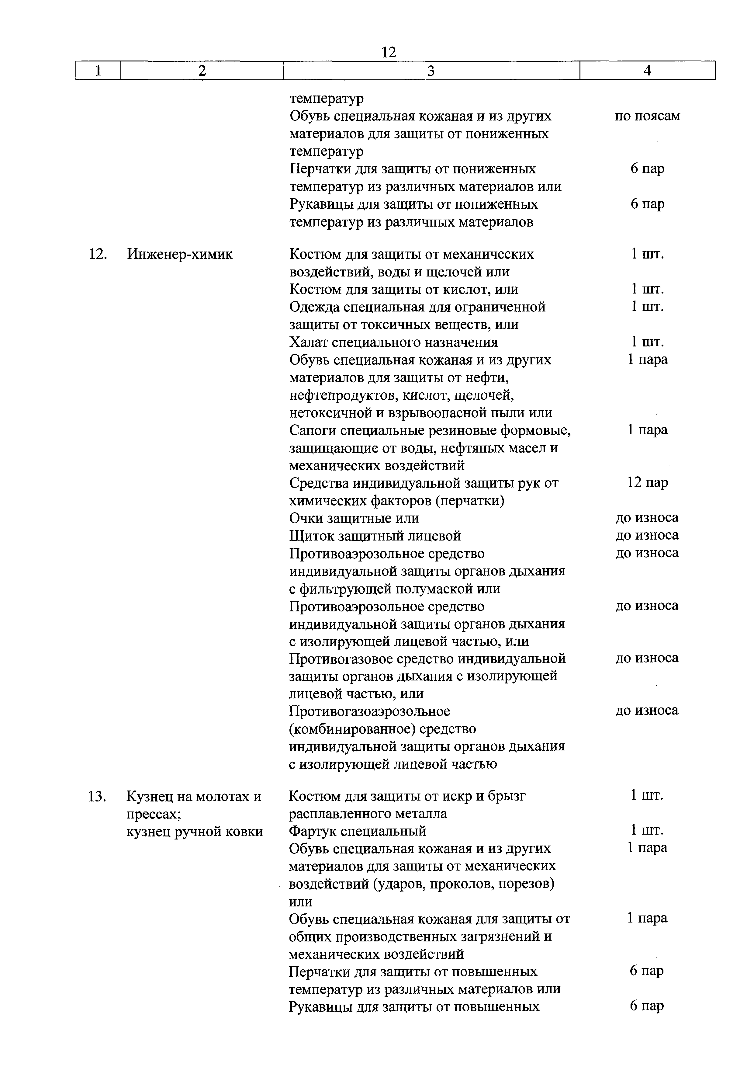
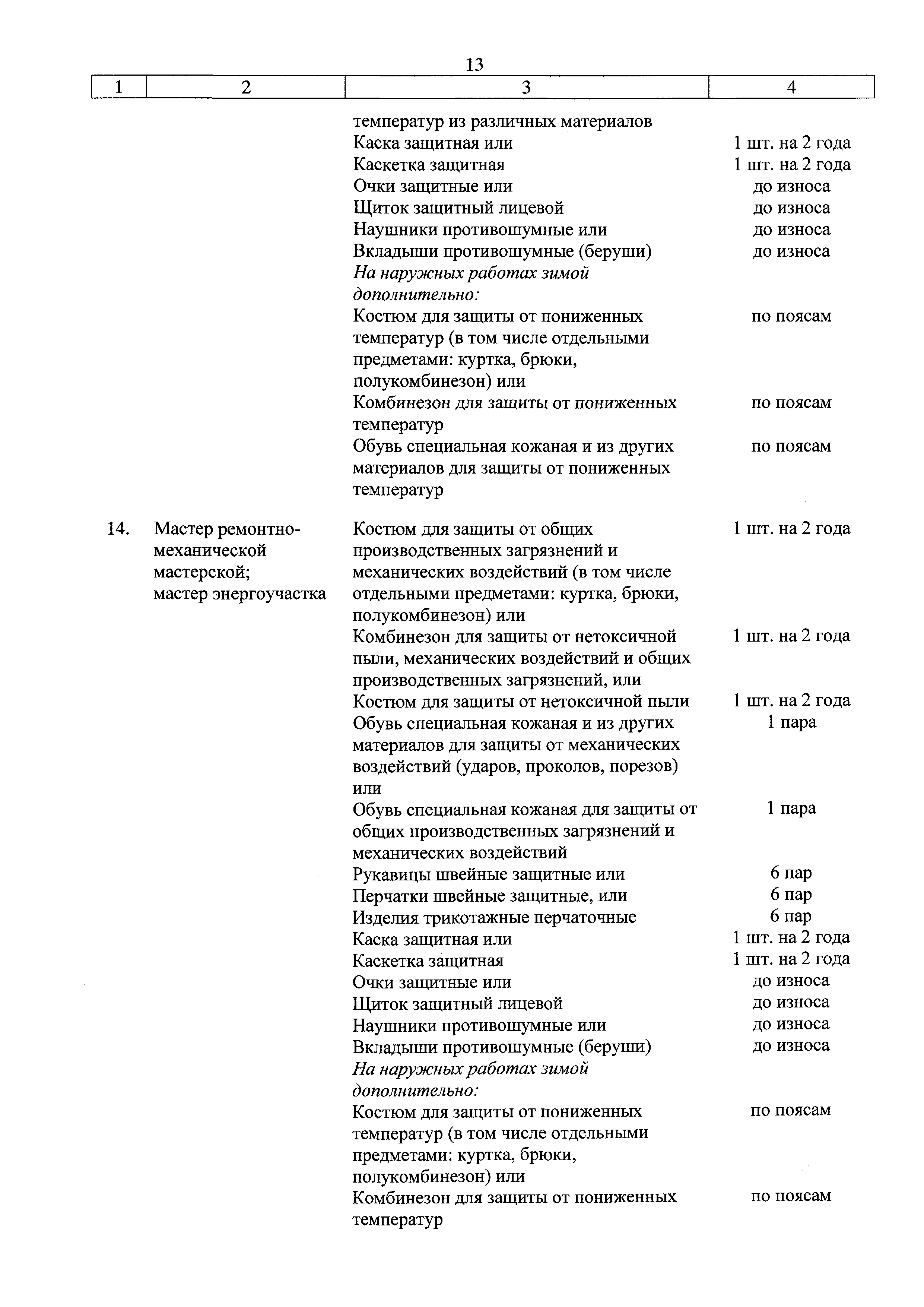
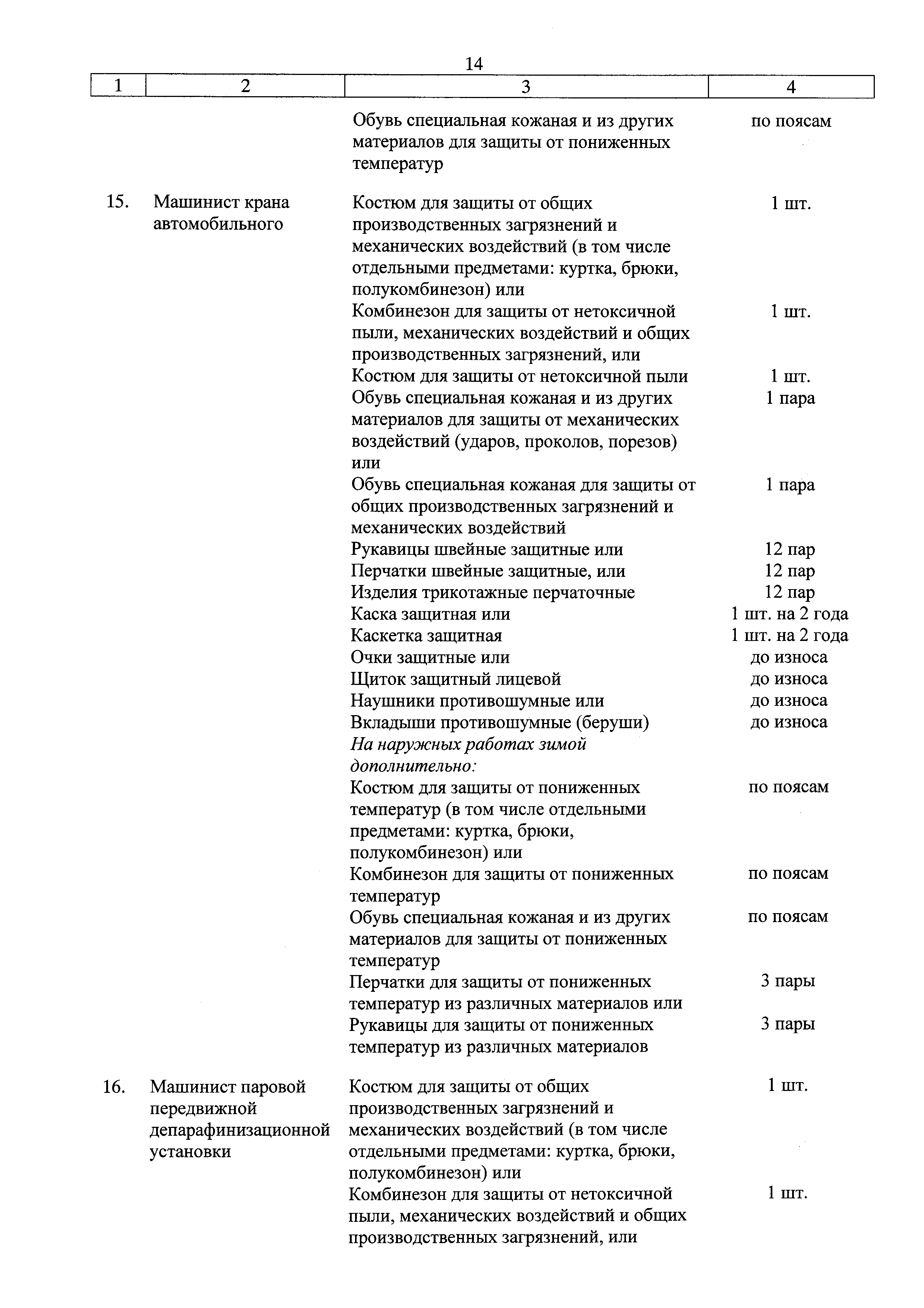
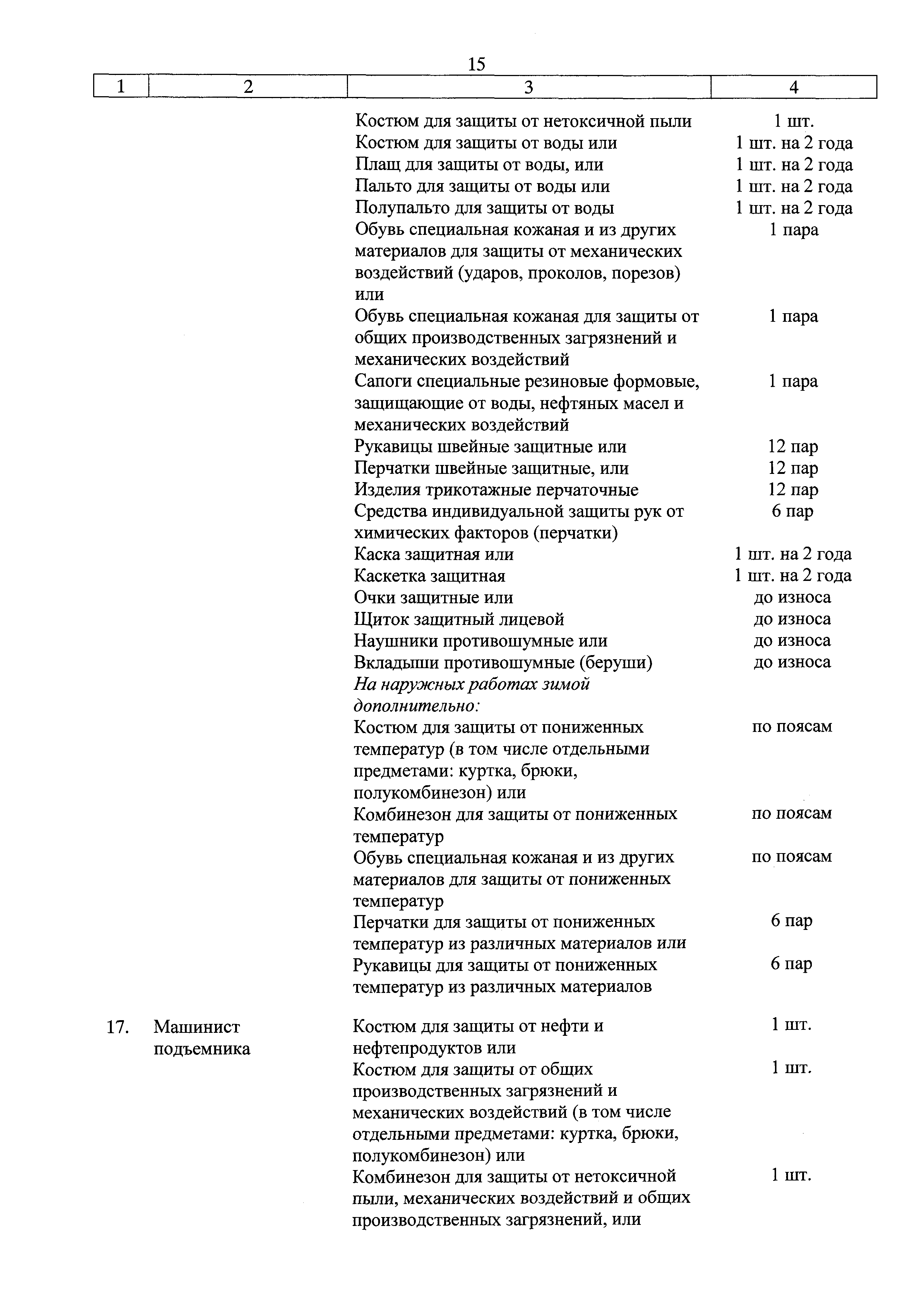
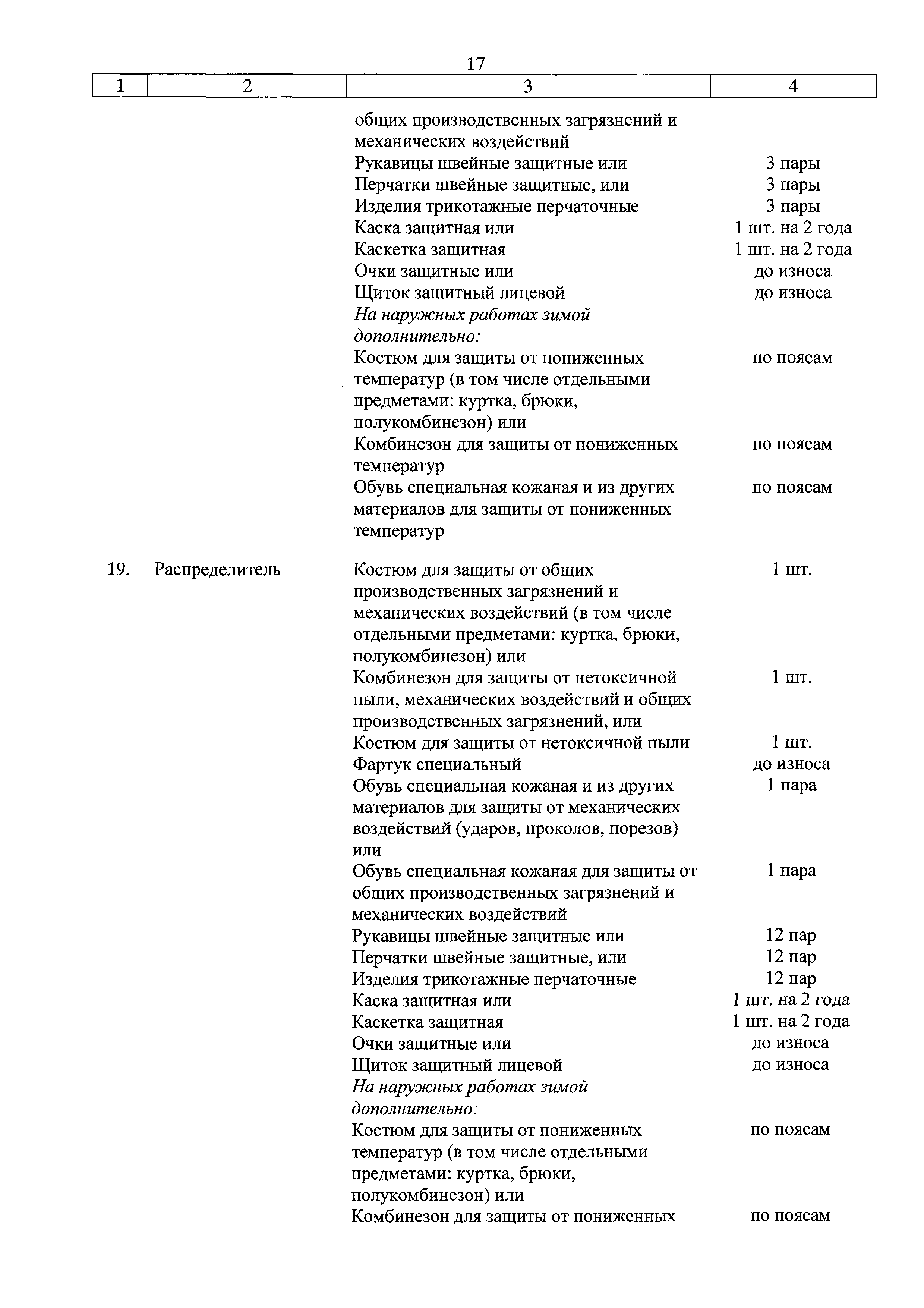
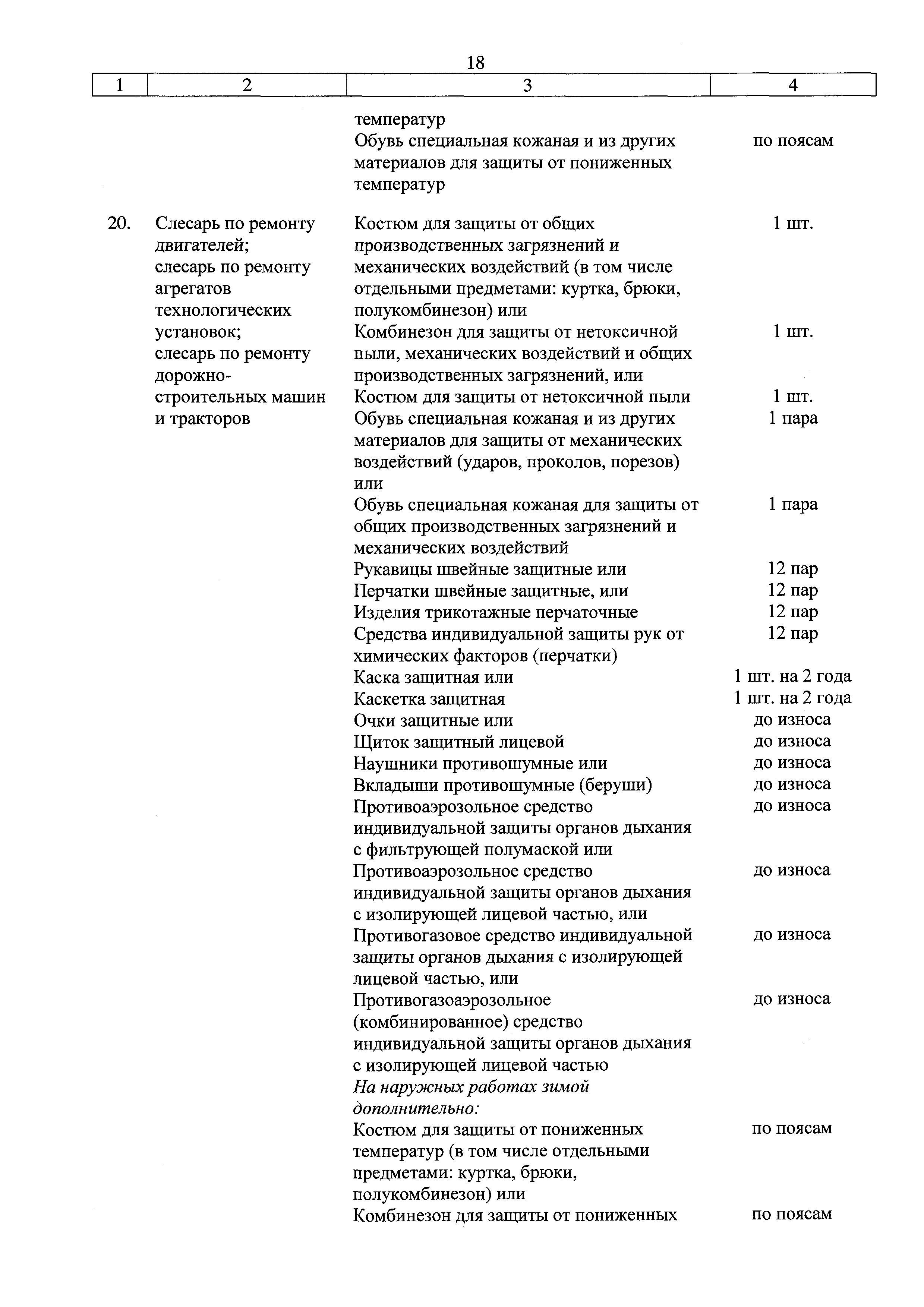
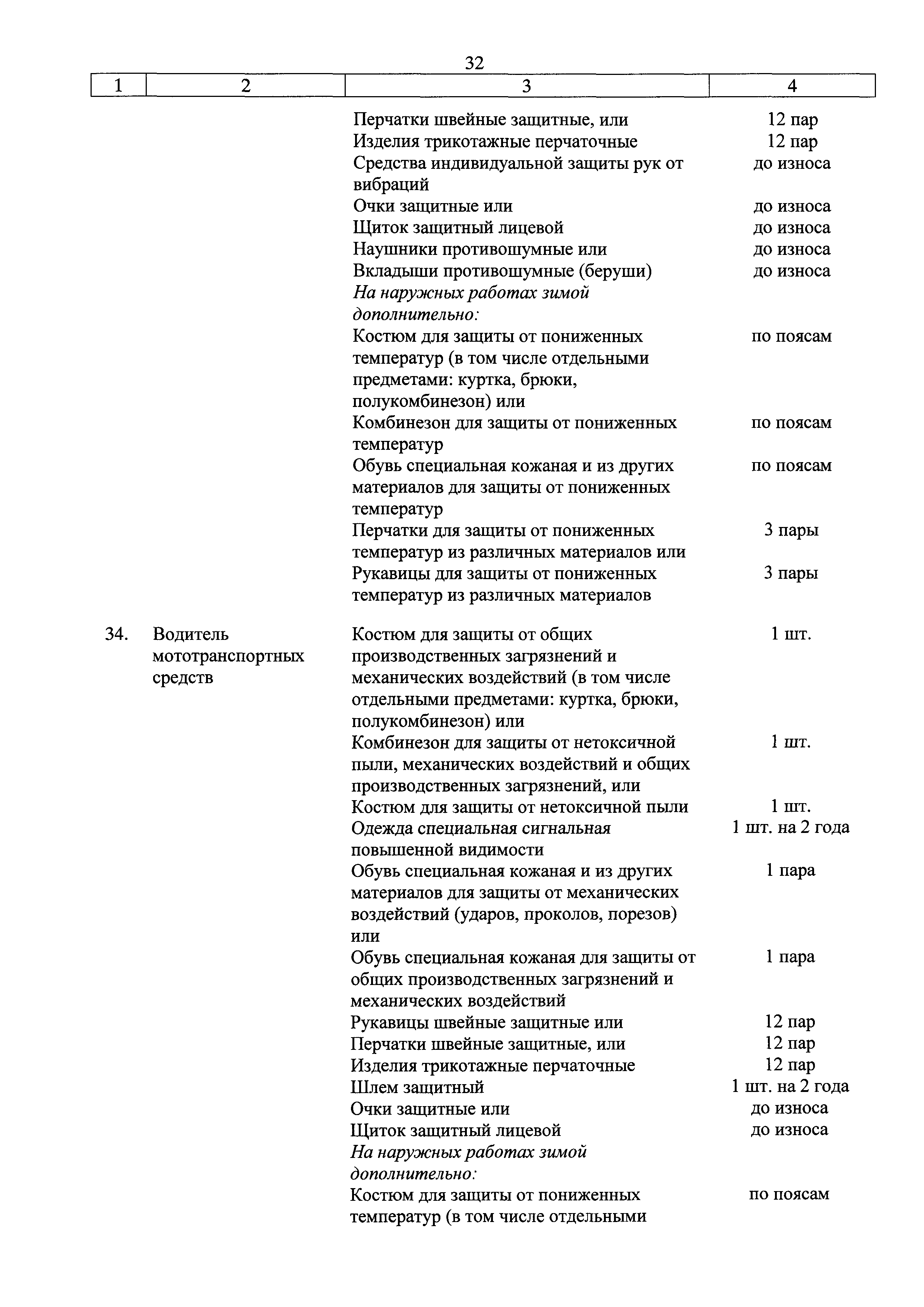
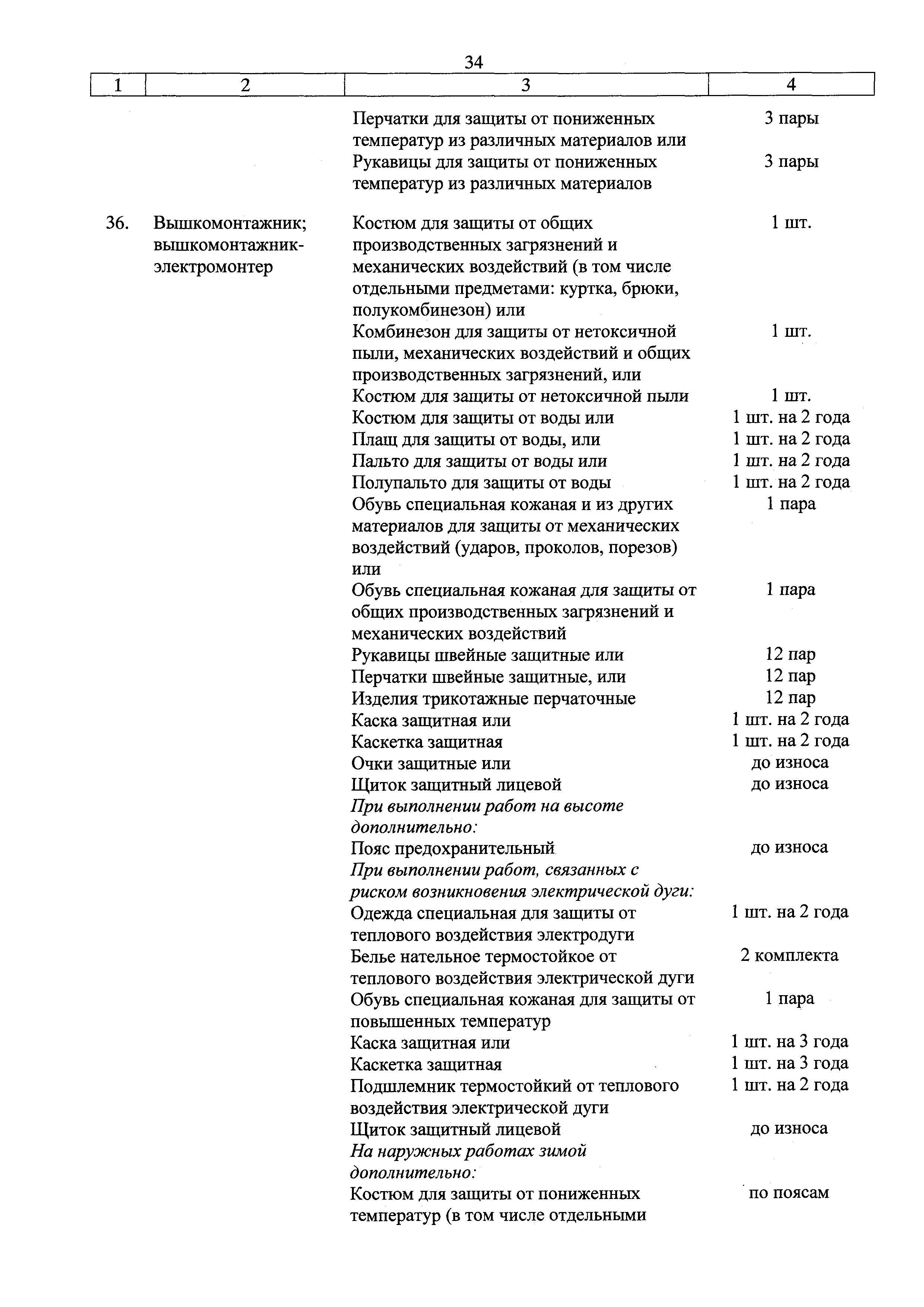
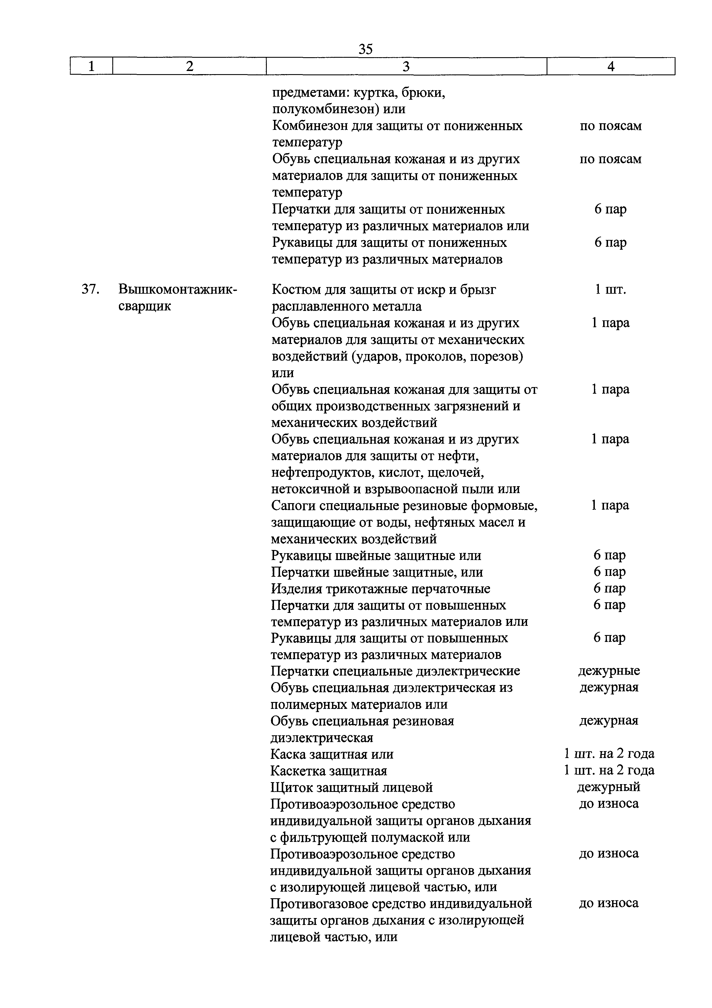
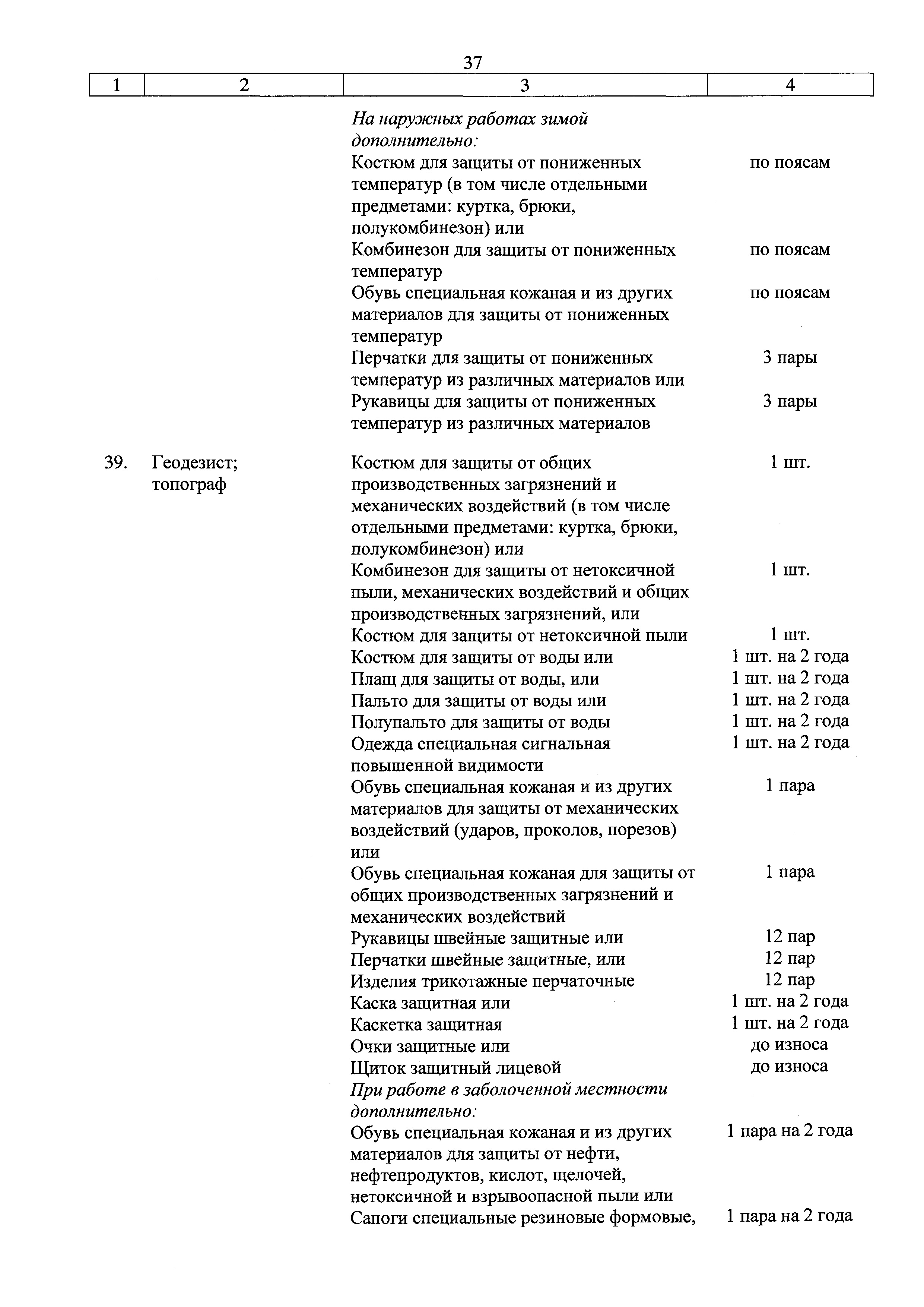
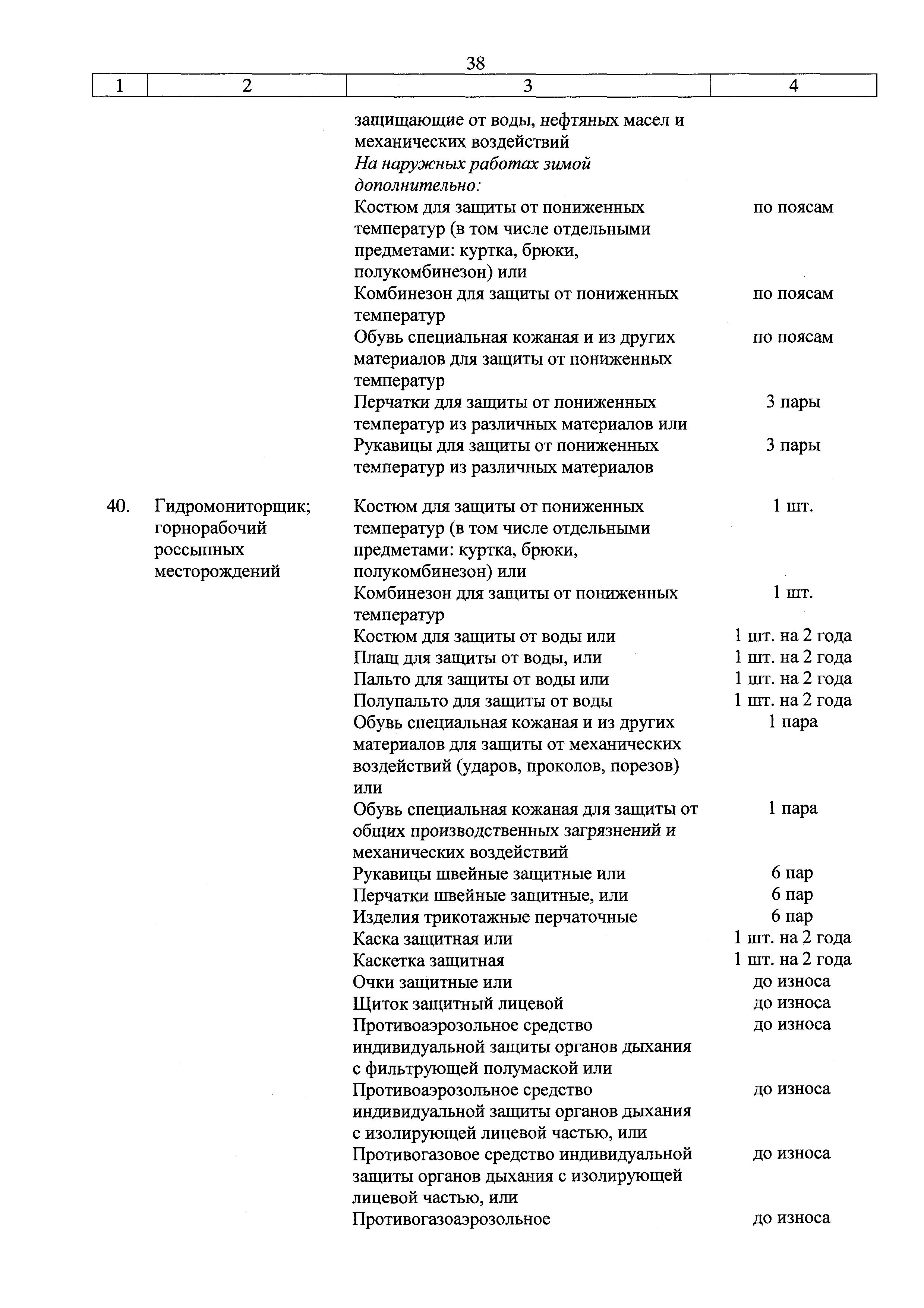
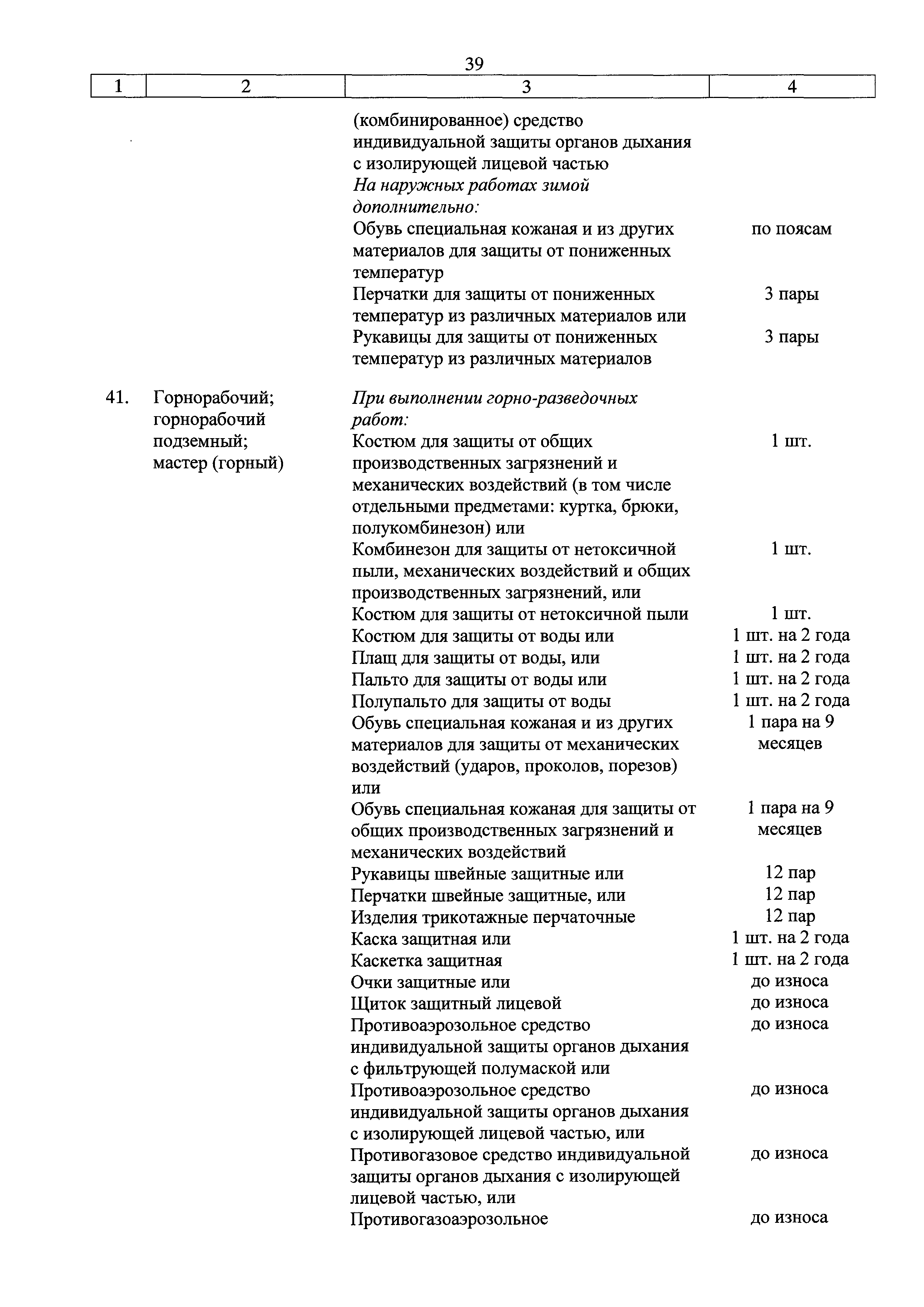
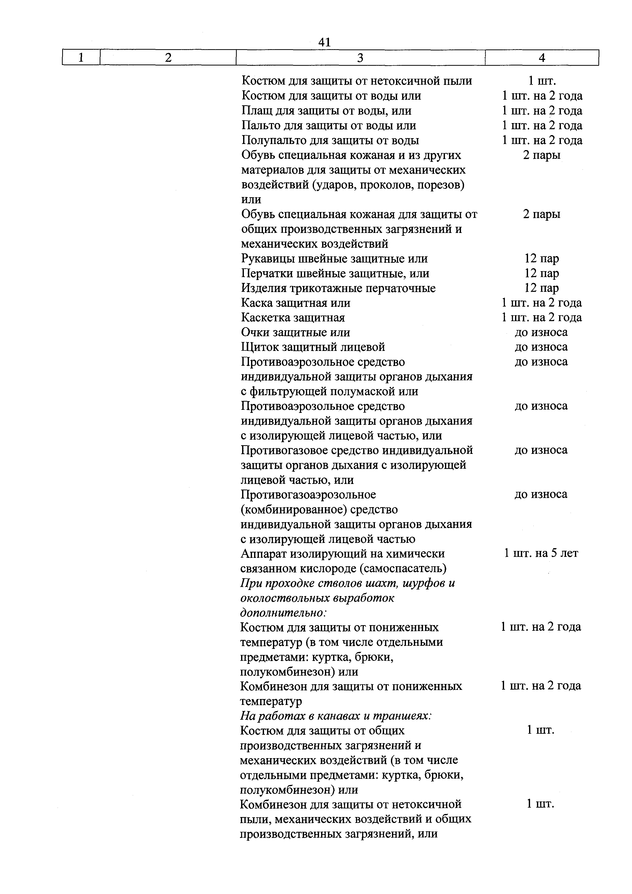
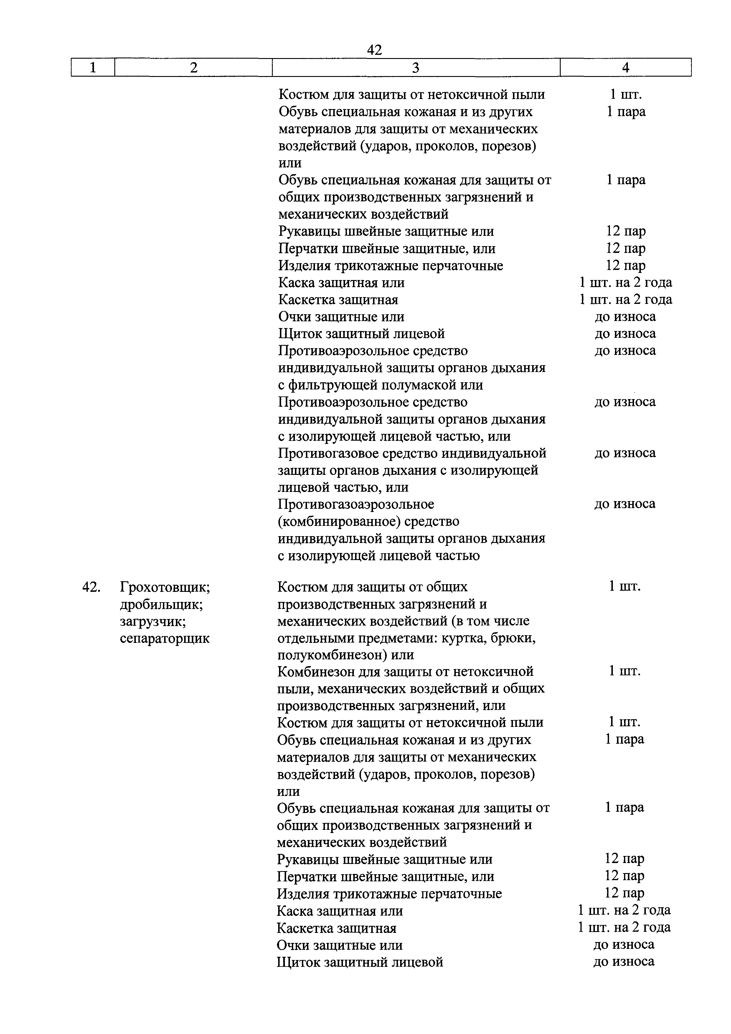
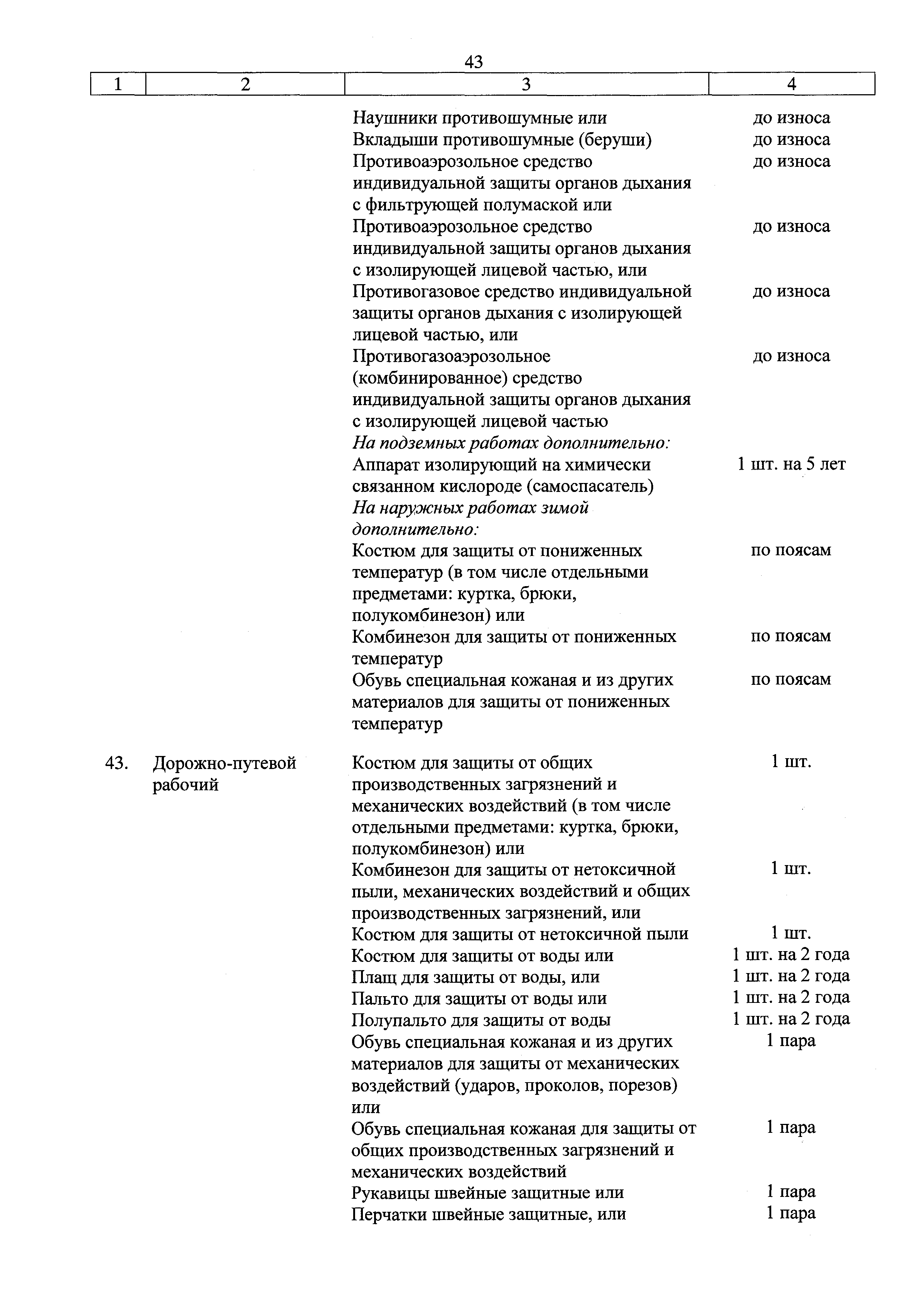
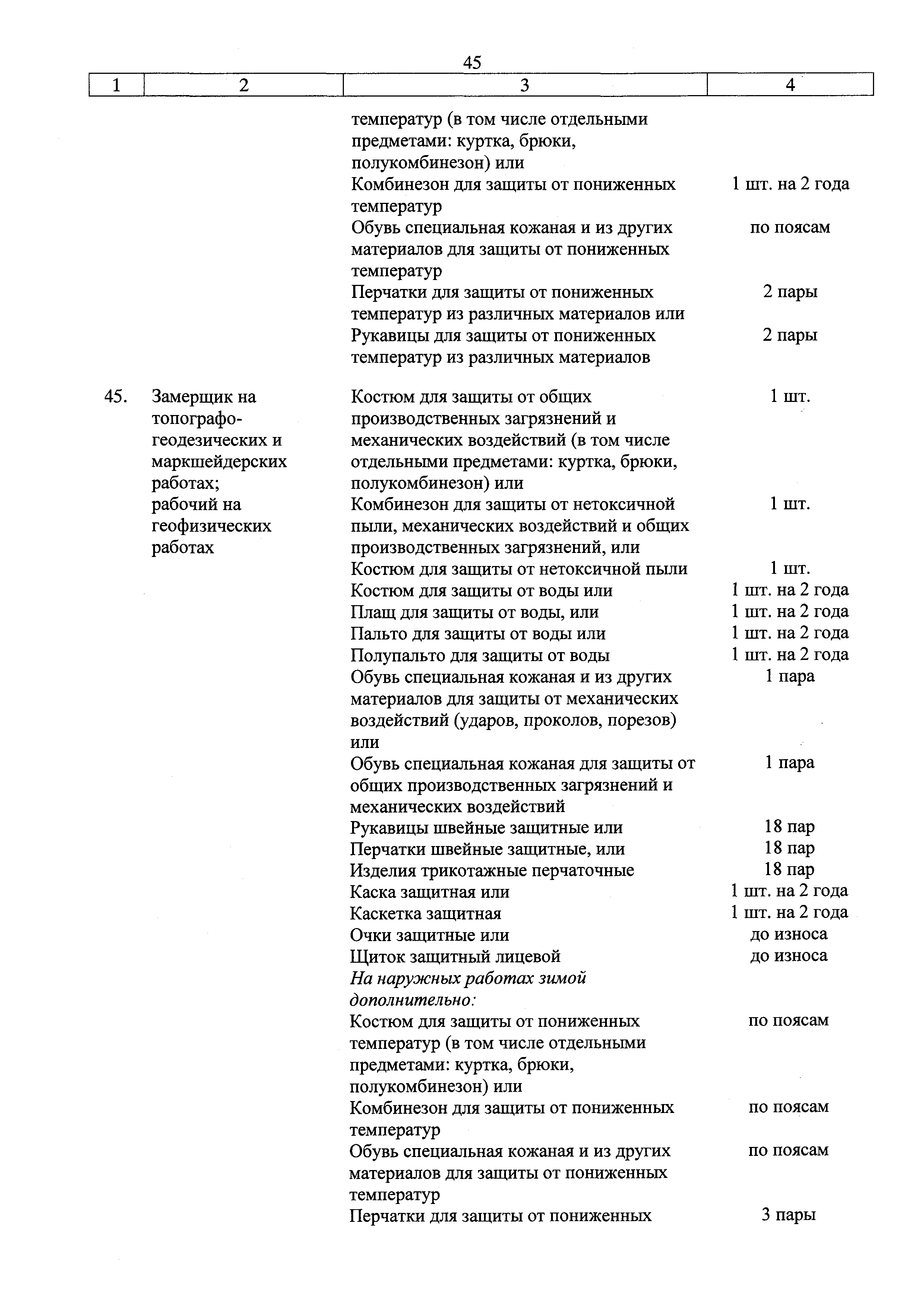
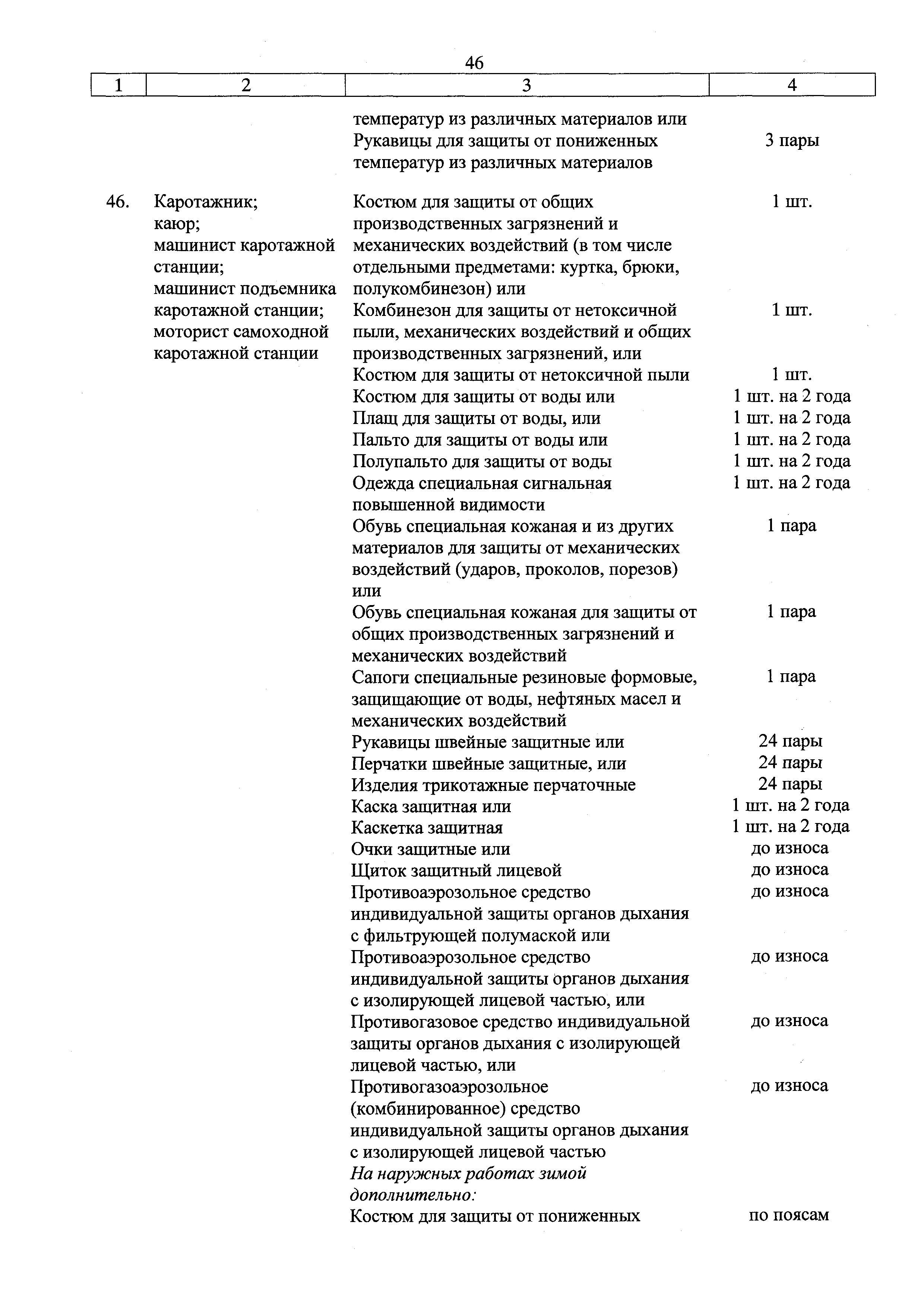
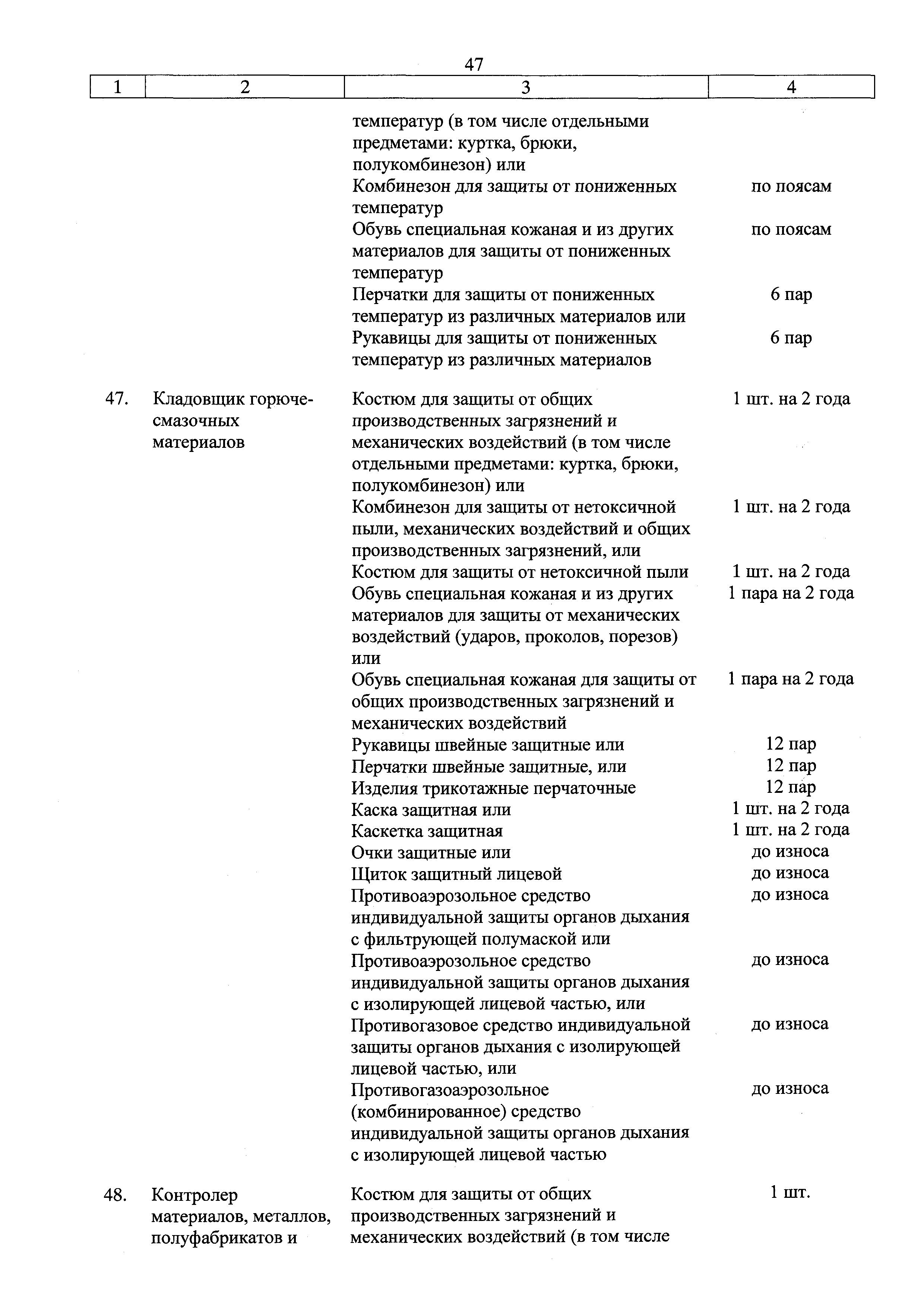
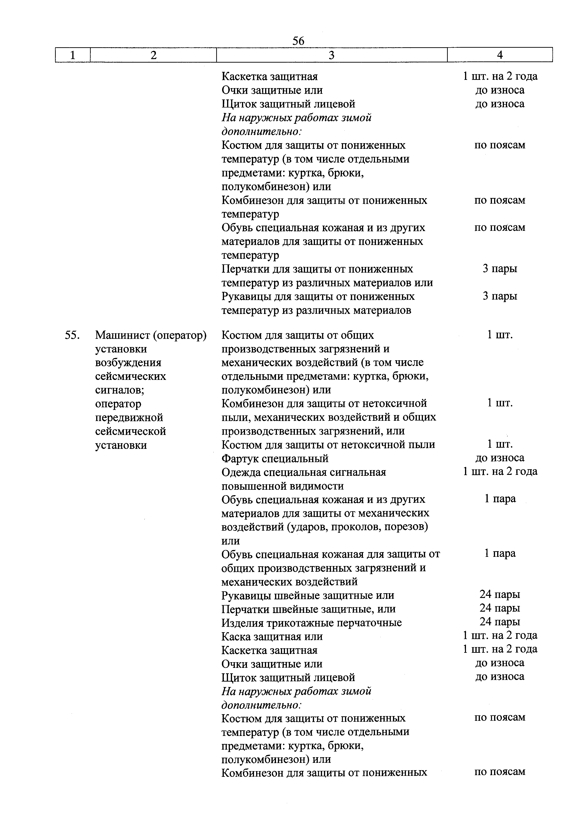
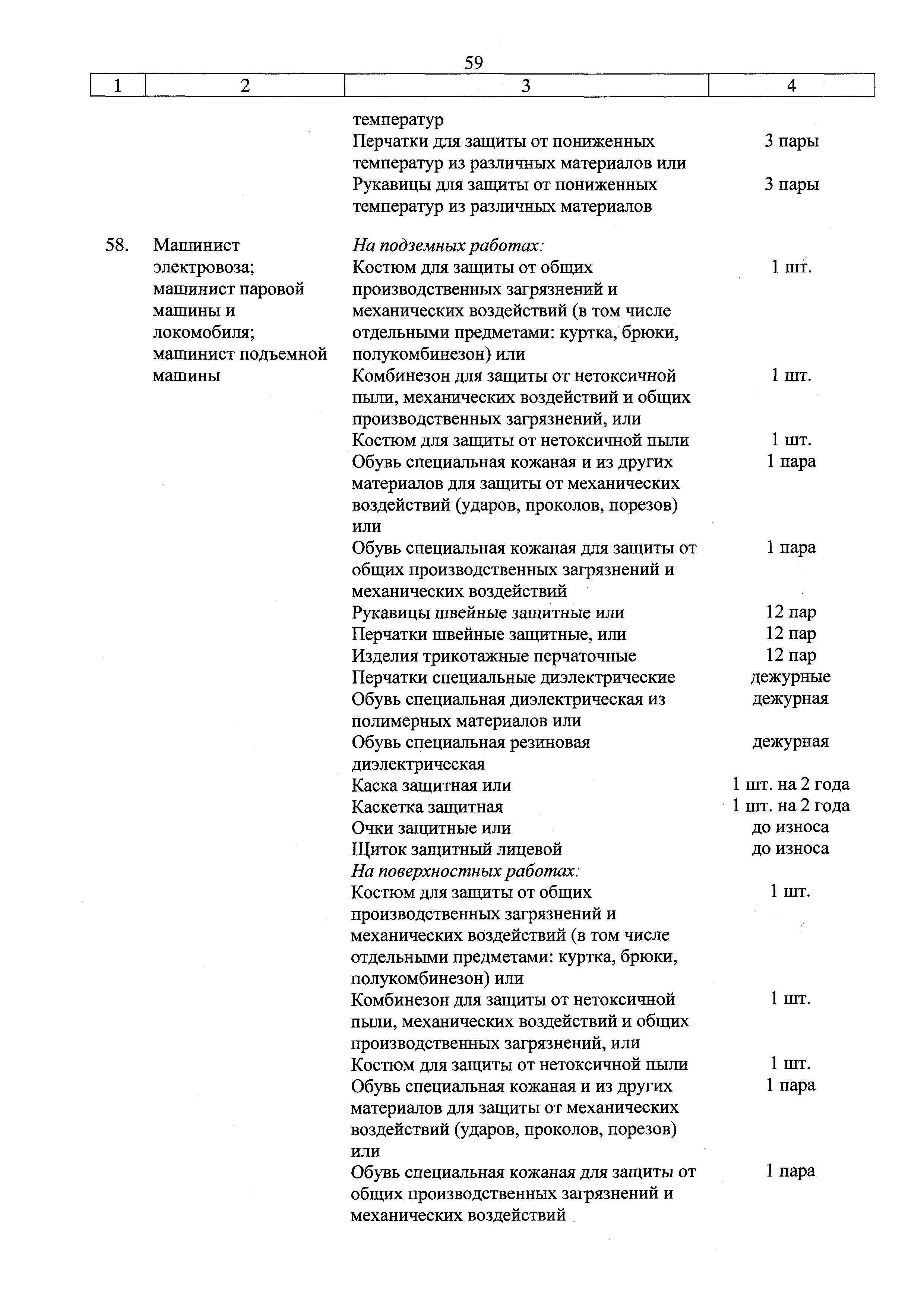
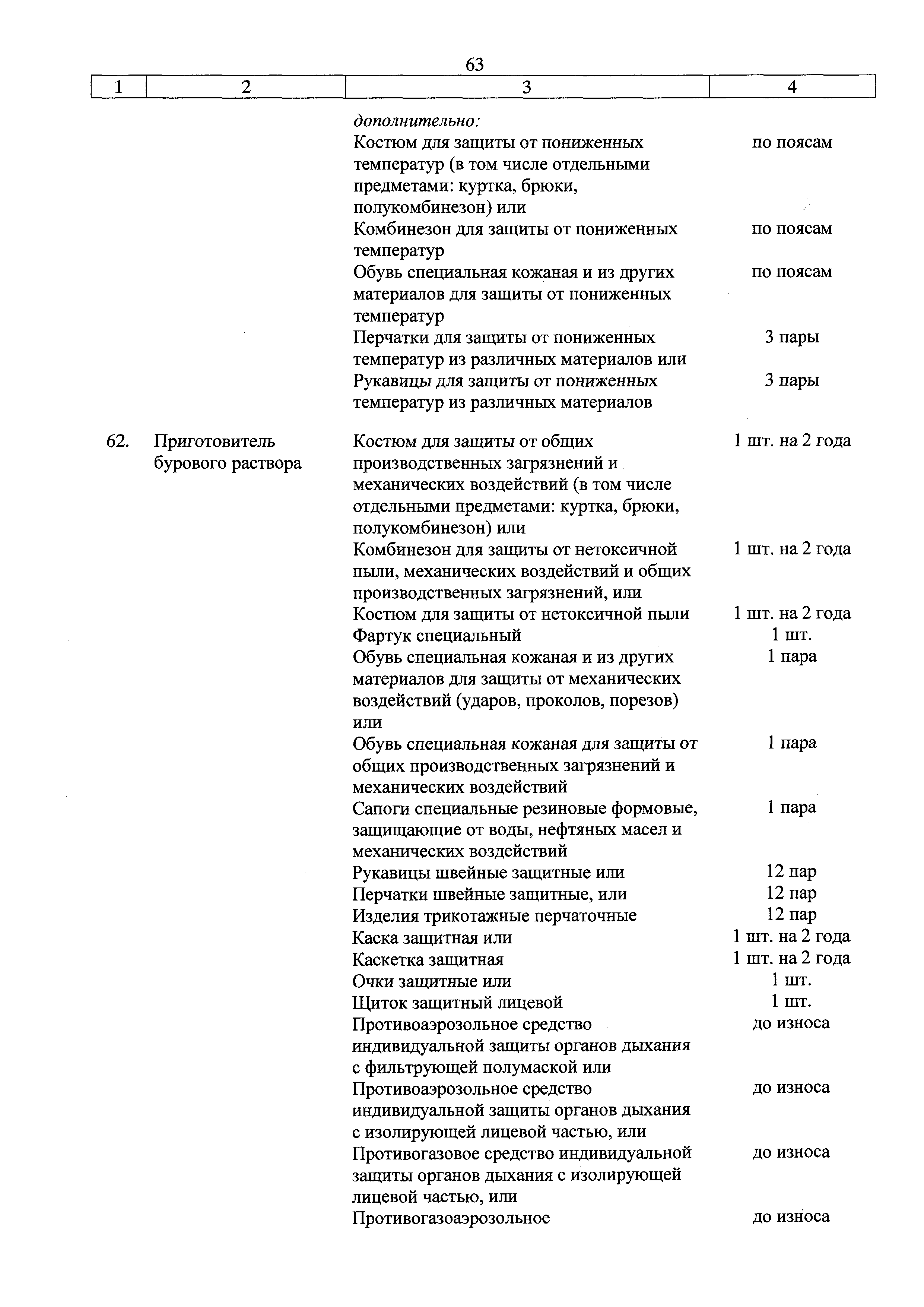
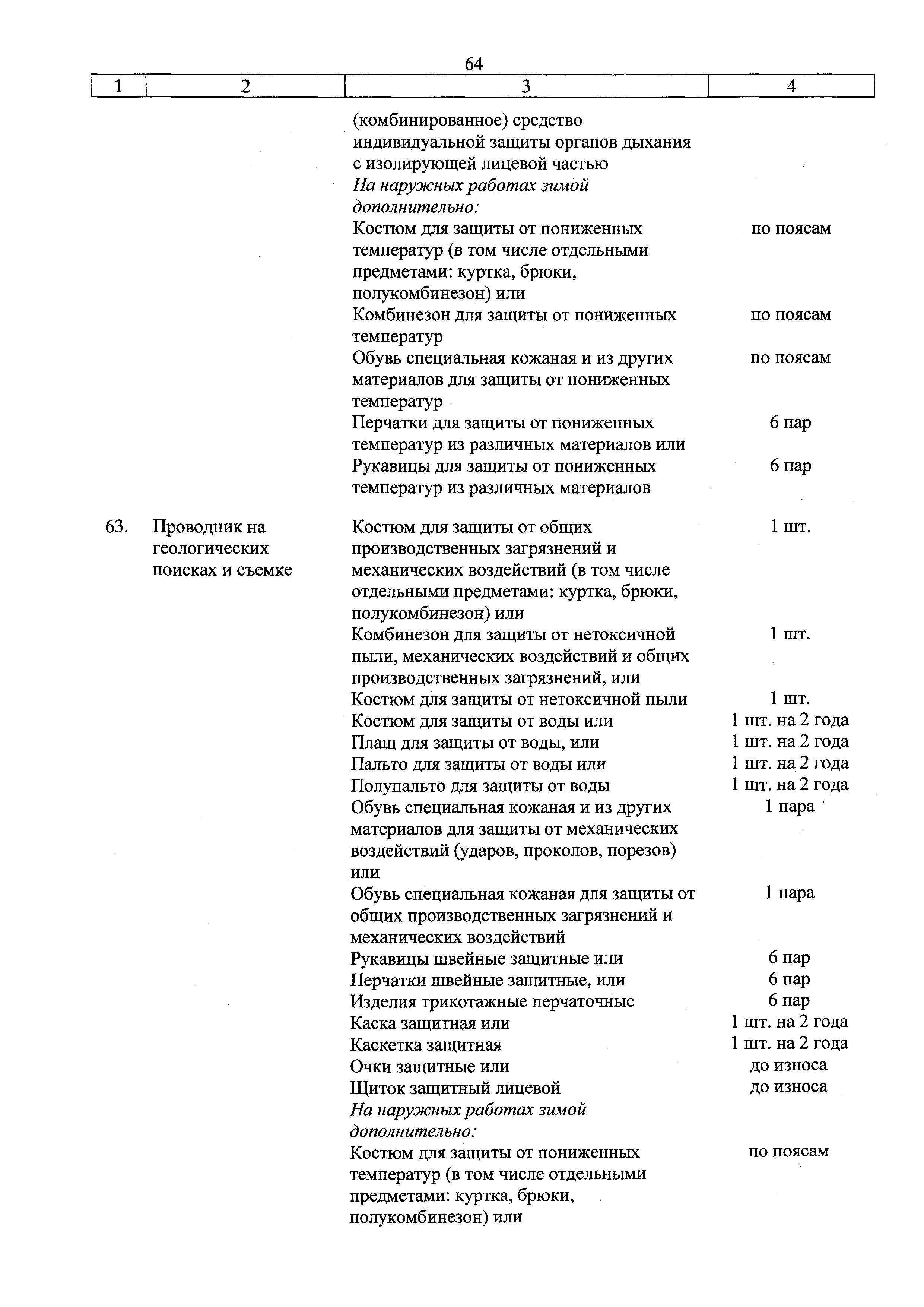
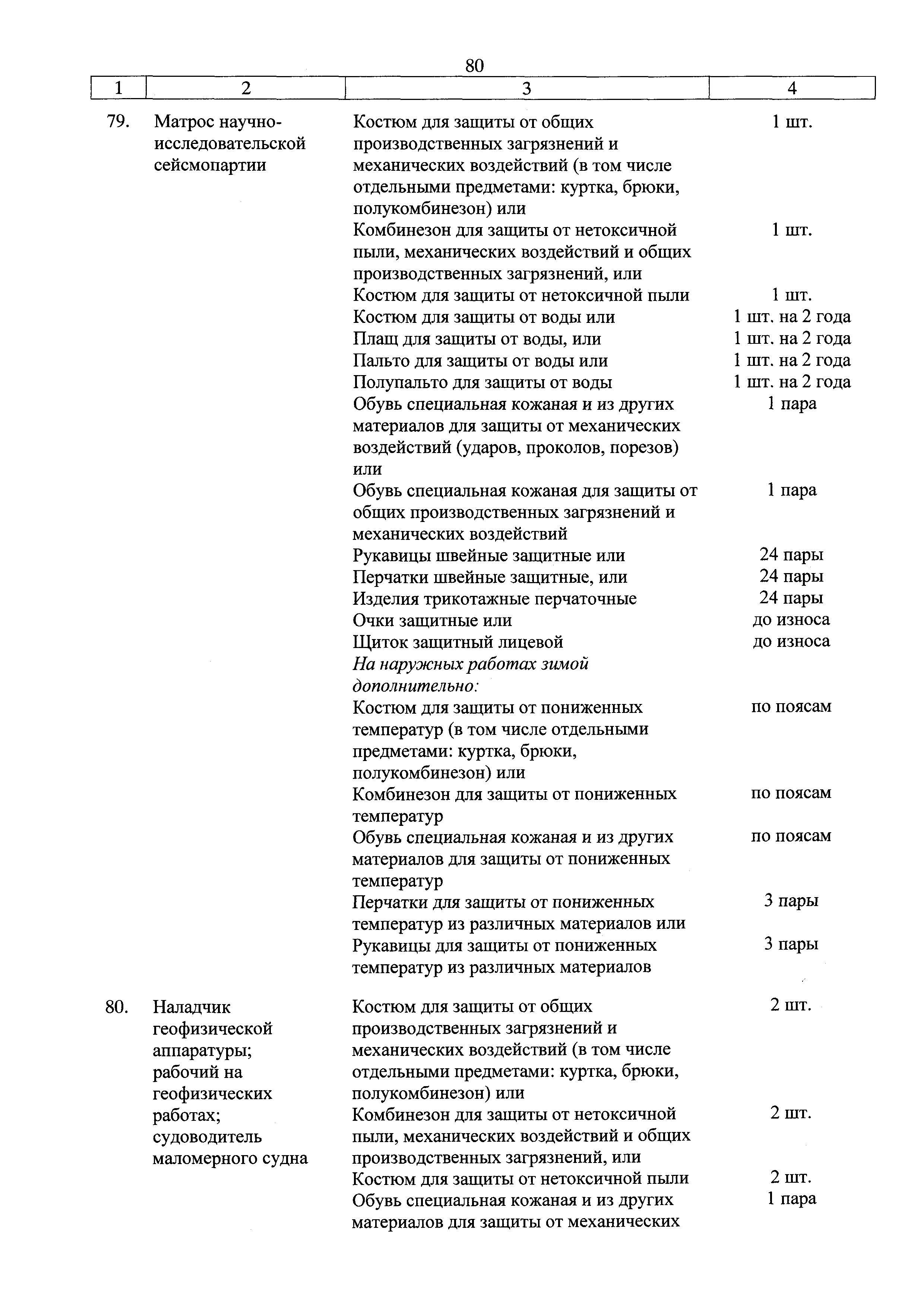
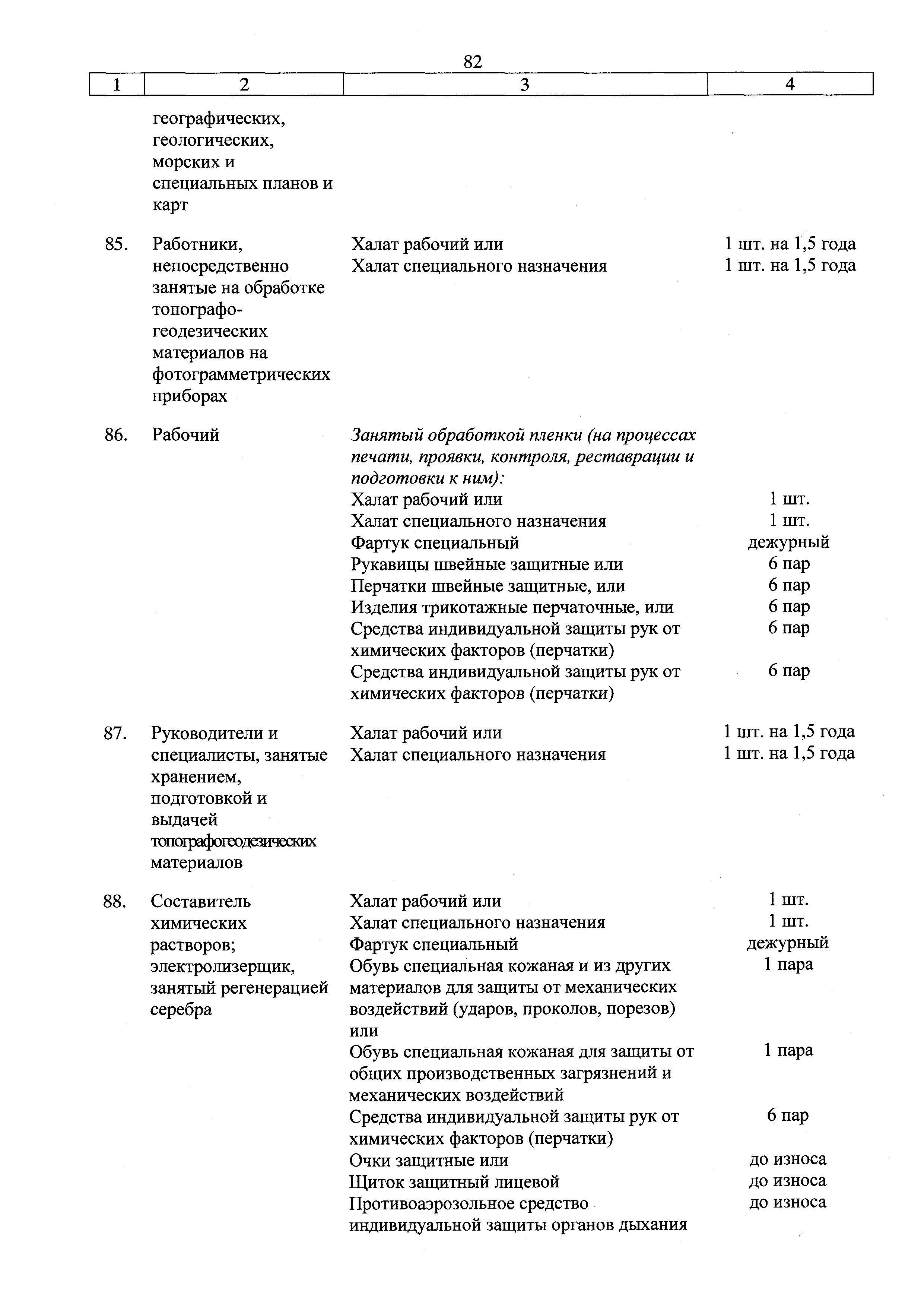
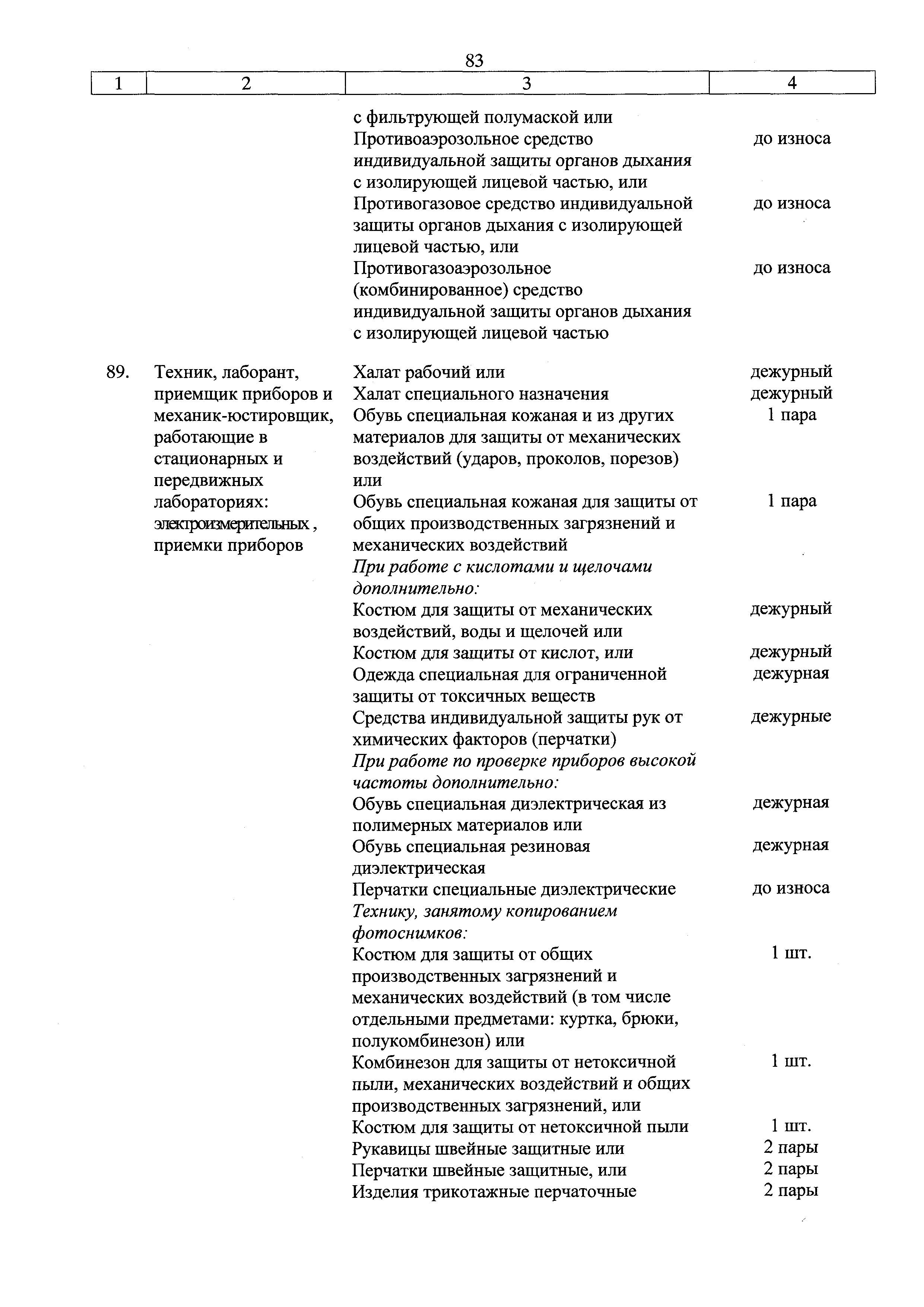
| Оглавление: | I. Общие профессии (должности) II. Сезонные и круглогодичные геолого-разведочные, геолого-съемочные, поисковые, гидрогеологические, инженерно-геологические, топографо-геодезические, аэрогеологические, геофизические, изыскательские, землеустроительные и другие работы в полевых условиях - в отрядах, партиях, нефтеразведках, экспедициях и геоконторах, включая отряды, партии и экспедиции научно-исследовательских институтов и изыскательских организаций III. Сезонные геолого-съемочные, поисковые, гидрогеологические, инженерно-геологические, топографо-геодезические, аэрологические, геофизические землеустроительные и другие сезонные работы в полевых условиях - в отрядах, партиях, нефтеразведках и экспедициях, включая отряды, партии и экспедиции научно-исследовательских институтов и изыскательских организаций IV. Круглогодичные геолого-разведочные гидрогеологические, инженерно-геологические, геофизические, топографо-геодезические и изыскательские работы в полевых условиях в отрядах, партиях, конторах, экспедициях и на гидрогеологических оползневых станциях V. Топографо-геодезические и геологические экспедиции, партии и отряды, выполняющие работы в арктических и антарктических районах VI. Полевые топографо-геодезические и геологические работы на континентальном шельфе морей и морские гравиметрические работы VII. Камеральные топографо-геодезические работы и картографическое производство |
| Утверждён: | 28.12.2017 Министерство труда и социальной защиты РФ (883н) |
| Издан: | Официальный интернет-портал правовой информации (www.pravo.gov.ru) (от 02.03.2018 г. Номер опубликования: 0001201803020005) |
| Нормативные ссылки: |
|




















































































