Скачать ГОСТ ISO 13688-2015 Система стандартов безопасности труда. Одежда специальная защитная. Технические условияДата актуализации: 01.01.2021
|
| Обозначение: | ГОСТ ISO 13688-2015 |
| Обозначение англ: | 13688-2015 |
| Статус: | применяется в еаэс |
| Название рус.: | Система стандартов безопасности труда. Одежда специальная защитная. Технические условия |
| Дата добавления в базу: | 01.01.2019 |
| Дата актуализации: | 01.01.2021 |
| Дата введения: | 18.06.2015 |
| Область применения: | Стандарт распространяется на специальную защитную одежду и устанавливает требования и рекомендации по эргономике, износу, обозначению размеров, маркировке, информации для потребителя. Стандарт предназначен для использования совместно с другими стандартам и, содержащими требования к защитной одежде. |
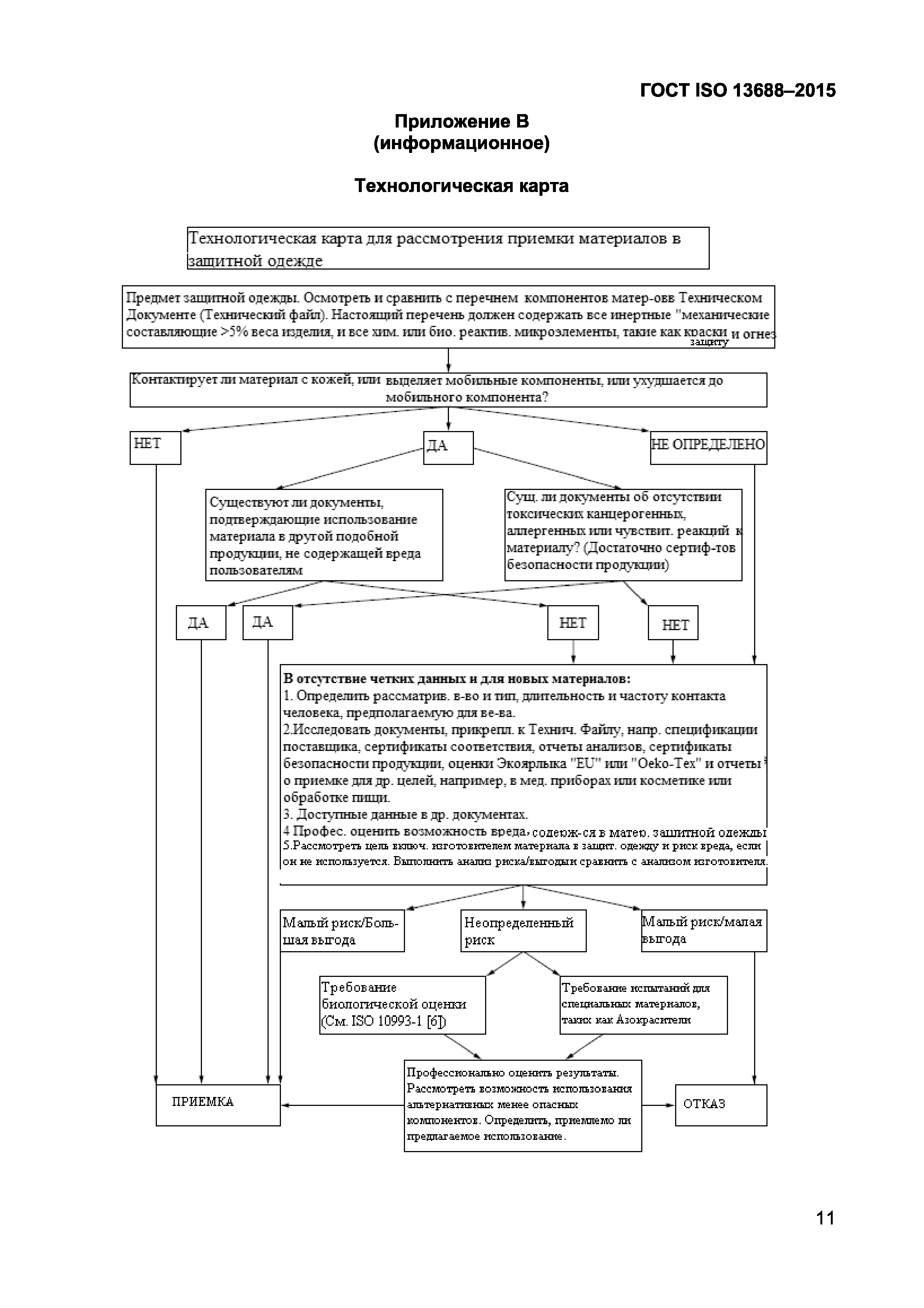
| Оглавление: | 1 Область применения 2 Нормативные ссылки 3 Термины и определения 4 Требования к сохранению здоровья и эргономические требования 5 Изнашивание 6 Общее обозначение размера 7 Маркировка 8 Информация, предоставленная изготовителем Приложение A (информационное) Уровень защиты Приложение B (информационное) Технологическая карта Приложение C (информационное) Проверка эргономических характеристик защитной одежды (Практические эксплуатационные испытания) Приложение D (информационное) Примеры обозначения размеров Приложение E (нормативное) Пиктограммы Приложение F (обязательное) Воздействие на окружающую среду Библиография |
| Разработан: | Республиканское государственное предприятие Казахстанский институт стандартизации и сертификации Технический комитет по стандартизации ТК 73 Продукция легкой промышленности при ОЮЛ Ассоциация предприятий легкой промышленности Республики Казахстан |
| Утверждён: | 18.06.2015 Евразийский совет по стандартизации, метрологии и сертификации (47-2015) |
| Нормативные ссылки: |


























