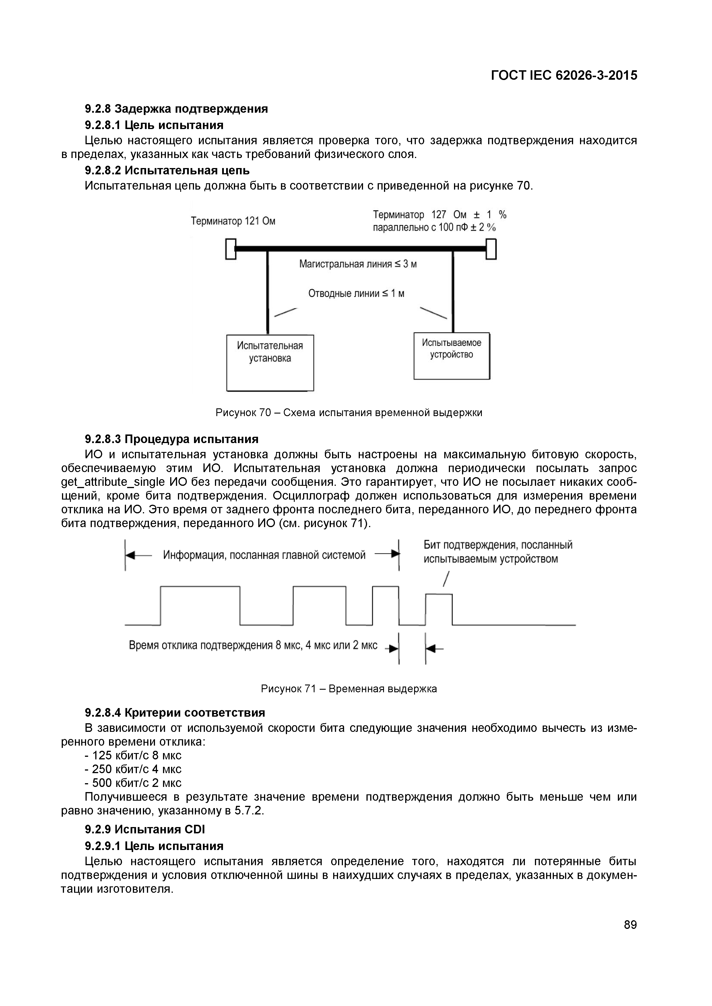
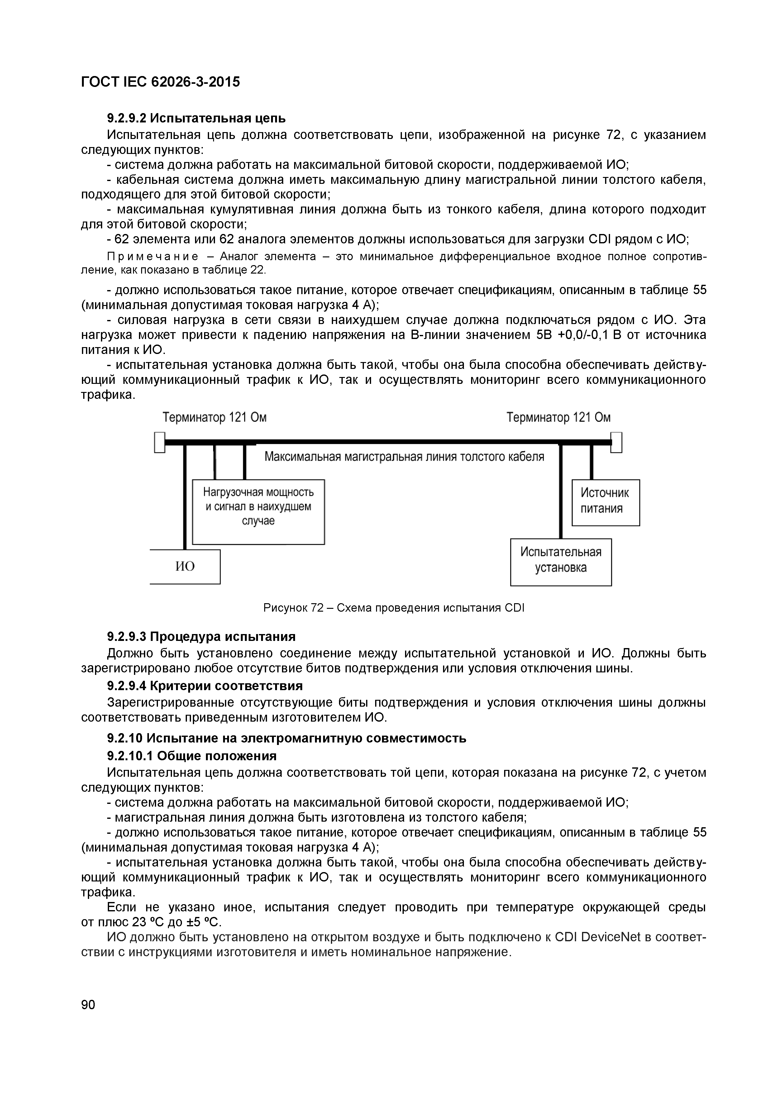
Скачать ГОСТ IEC 62026-3-2015 Аппаратура распределения и управления низковольтная. Интерфейсы между контроллерами и приборами (CDI). Часть 3. Система связи DeviceNetДата актуализации: 01.01.2021
|
| Обозначение: | ГОСТ IEC 62026-3-2015 |
| Обозначение англ: | 62026-3-2015 |
| Статус: | применяется в еаэс |
| Название рус.: | Аппаратура распределения и управления низковольтная. Интерфейсы между контроллерами и приборами (CDI). Часть 3. Система связи DeviceNet |
| Название англ.: | Low-voltage switchgear and controlgear. Controller-device interfaces (CDIs). Part 3. DeviceNet |
| Дата добавления в базу: | 01.01.2019 |
| Дата актуализации: | 01.01.2021 |
| Дата введения: | 01.03.2016 |
| Область применения: | Стандарт устанавливает требования к системе интерфейсов между единичными или многочисленными контроллерами и аппаратами цепи управления или коммутирующими элементами (далее – DeviceNet). Стандарт также определяет возможность замены компонентов, которые имеют схожие интерфейсы. Стандарт определяет следующие специальные требования для системы связи DeviceNet: требования к интерфейсам между контроллерами и коммутирующими элементами; нормальные условия эксплуатации устройств; конструктивные требования и требования к функционированию; испытания для подтверждения соответствия требованиям. Данные требования применяют в дополнение к общим требованиям, установленным в IEC 62026-1. |
| Оглавление: | 1 Область применения 2 Нормативные ссылки 3 Термины, определения, символы и сокращения 4 Классификация 5 Характеристики 6 Информация об изделии 7 Нормальные условия эксплуатации, установки и транспортирования 8 Требования к конструкции и работоспособности 9 Испытания Библиография Приложение Д.А (справочное) Сведения о соответствии межгосударственных стандартов ссылочным международным стандартам |
| Разработан: | БелГИСС |
| Утверждён: | 25.05.2015 Госстандарт Республики Беларусь (29) 27.02.2015 Евразийский совет по стандартизации, метрологии и сертификации (75-П) |
| Издан: | БелГИСС (2016 г. ) |
| Нормативные ссылки: |




































































































