Скачать ГОСТ ISO 16000-27-2017 Воздух замкнутых помещений. Часть 27. Определение наличия осевшей волокнистой пыли на поверхностях с помощью СЭМ (сканирующего электронного микроскопа) (прямой метод)Дата актуализации: 01.01.2021
|
| Обозначение: | ГОСТ ISO 16000-27-2017 |
| Обозначение англ: | 16000-27-2017 |
| Статус: | введен впервые |
| Название рус.: | Воздух замкнутых помещений. Часть 27. Определение наличия осевшей волокнистой пыли на поверхностях с помощью СЭМ (сканирующего электронного микроскопа) (прямой метод) |
| Название англ.: | Indoor air. Part 27. Determination of settled fibrous dust on surfaces by SEM (scanning electron microscopy) (direct method) |
| Дата добавления в базу: | 01.01.2019 |
| Дата актуализации: | 01.01.2021 |
| Дата введения: | 01.01.2019 |
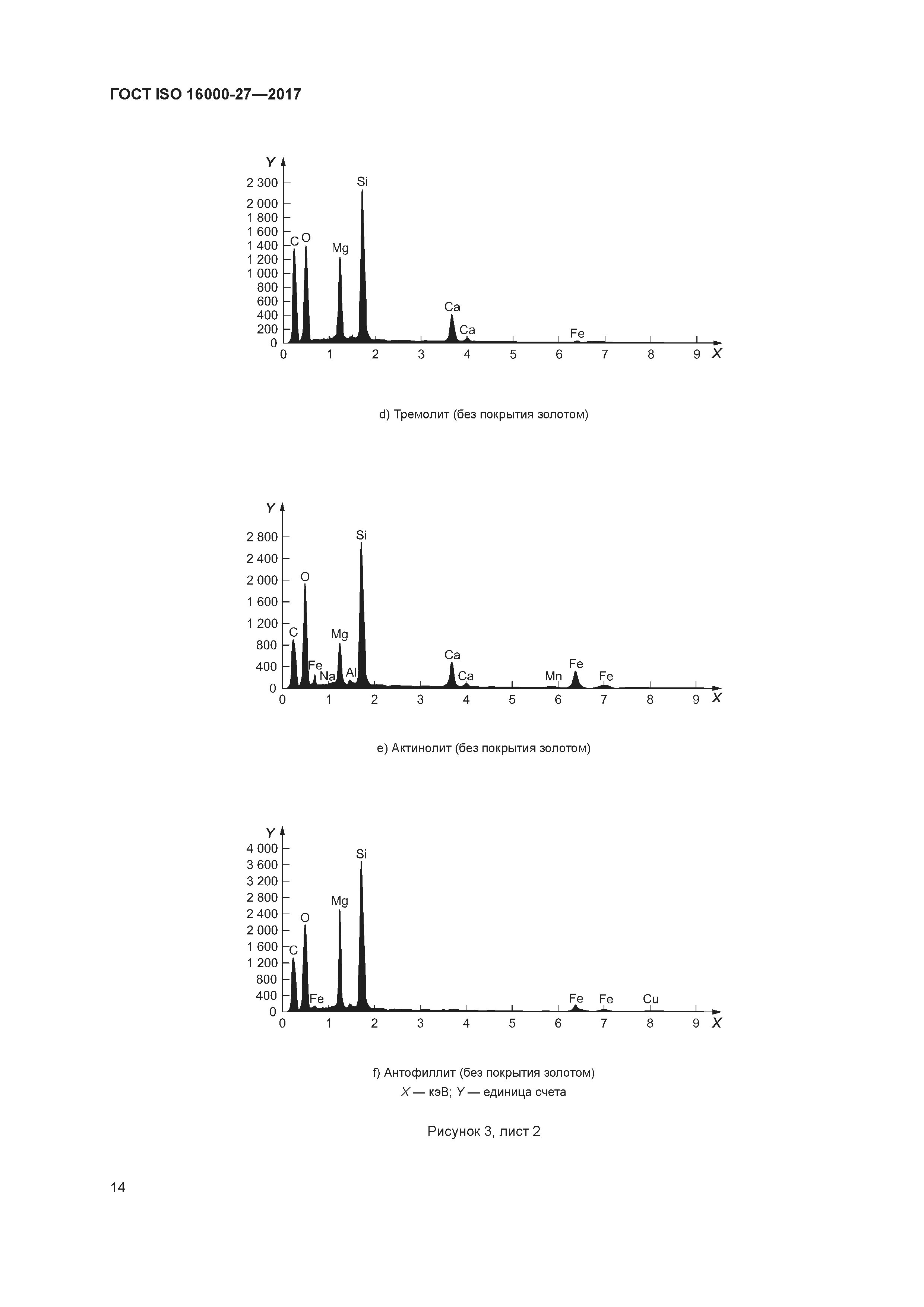
| Область применения: | Стандарт устанавливает методику определения количественного содержания волокнистых структур с волокнами диаметром равным или более 0,2 мкм в осевшей на поверхности пыли и их классификацию по конкретным группам веществ (например, хризотиловый асбест, амфиболовый асбест, другие неорганические волокна). В первую очередь метод применяют к замкнутым помещениям, но он также подходит для определенных случаев на открытом воздухе. Приведена техника отбора проб для улавливания осевшей пыли с использованием липкой ленты. Метод включает в себя аналитический подход для оценки отобранных проб с помощью сканирующей электронной микроскопии. Результат может быть получен в структурных единицах асбеста на единицу площади и/или в качестве классификации по четырем различным классам загрузки. Чувствительность анализа зависит от исследуемой области и может составлять даже 10 структур/см кв. В целях настоящего стандарта асбестовую или волокнистую структуру определяют как частицу, содержащую асбест или (другие органические/неорганические) волокна, независимо от их диаметра. |
| Оглавление: | 1 Область применения 2 Нормативные ссылки 3 Термины и определения 4 Обозначения и сокращения 5 Основные принципы 6 Оборудование и материалы 7 Отбор проб 7.1 Планирование измерений 7.2 Цели измерения и место отбора проб 7.3 Количество проб 7.4 Требования к пробоотборной поверхности 7.5 Методика отбора проб 7.6 Протокол отбора проб 8 Анализ с использованием СЭМ 9 Вычисление и представление результатов 10 Протокол испытаний 11 Неопределенность измерения 12 Применение и инструкции по эксплуатации Приложение A (справочное) Пример формы для записи подсчета структур с использованием СЭМ Приложение B (обязательное) Методика калибровки и настройки параметров СЭМ Приложение C (справочное) Случайное отклонение пробы Приложение D (справочное) Пример использования метода для воздуха замкнутых помещений Приложение ДА (справочное) Сведения о соответствии ссылочных международных стандартов межгосударственным стандартам Библиография |
| Разработан: | АО НИЦ КД |
| Утверждён: | 30.11.2017 Межгосударственный Совет по стандартизации, метрологии и сертификации (Inter-Governmental Council on Standardization, Metrology, and Certification 52) 15.05.2018 Федеральное агентство по техническому регулированию и метрологии (247-ст) |
| Издан: | Стандартинформ (2018 г. ) |


































