Скачать Методики расчета и выбора оборудования подземного транспорта угольных шахт на стадии ТЭО

Дата актуализации: 01.01.2021

Методики расчета и выбора оборудования подземного транспорта угольных шахт на стадии ТЭО

Статус:справочные материалы, мп, тпр
Название рус.:Методики расчета и выбора оборудования подземного транспорта угольных шахт на стадии ТЭО
Дата добавления в базу:01.01.2019
Дата актуализации:01.01.2021
Область применения:Методики предназначены для проведения укрупненных расчетов и выбора основного оборудования подземного транспорта при многовариантных проработках на стадиях ТЭО кондиций, доразведки, освоения, а также проектирования и строительства новых и реконструируемых угольных шахт. Определенные с помощью методик типоразмеры и число единиц оборудования используются только для сравнения вариантов основных характеристик шахты и подлежат обязательному уточнению при техническом или техно-рабочем проектировании
Оглавление:1. Введение
2. Расчет грузопотоков по горным выработкам
   2.1. Основные методические положения
   2.2. Условные обозначения
   2.3. Расчет параметров грузопотоков
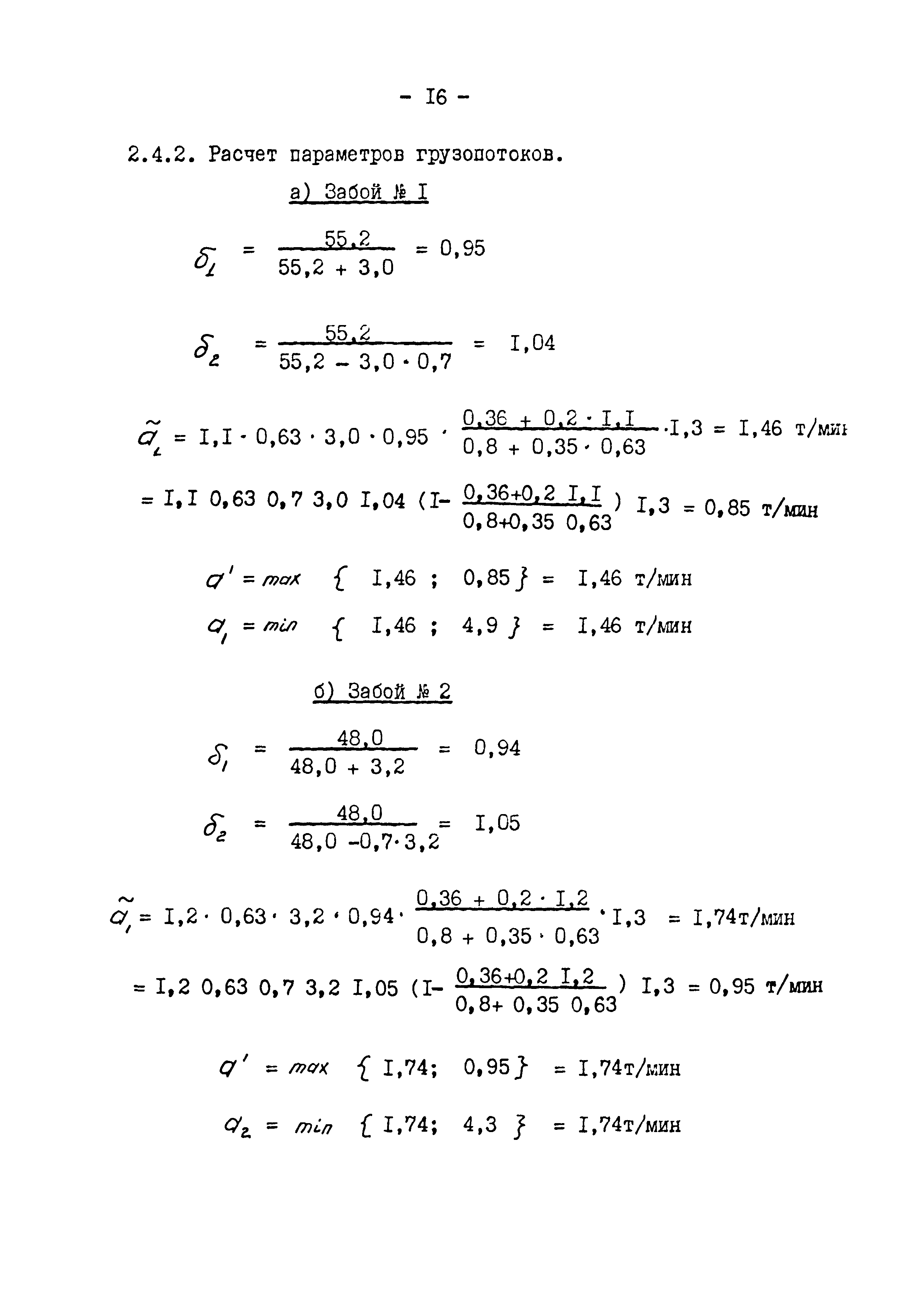
   2.4. Пример расчета параметров грузопотоков
3. Расчет и выбор оборудования конвейерного транспорта
   3.1. Основные методические положения
   3.2. Условные обозначения
   3.3. Выбор типа конвейера
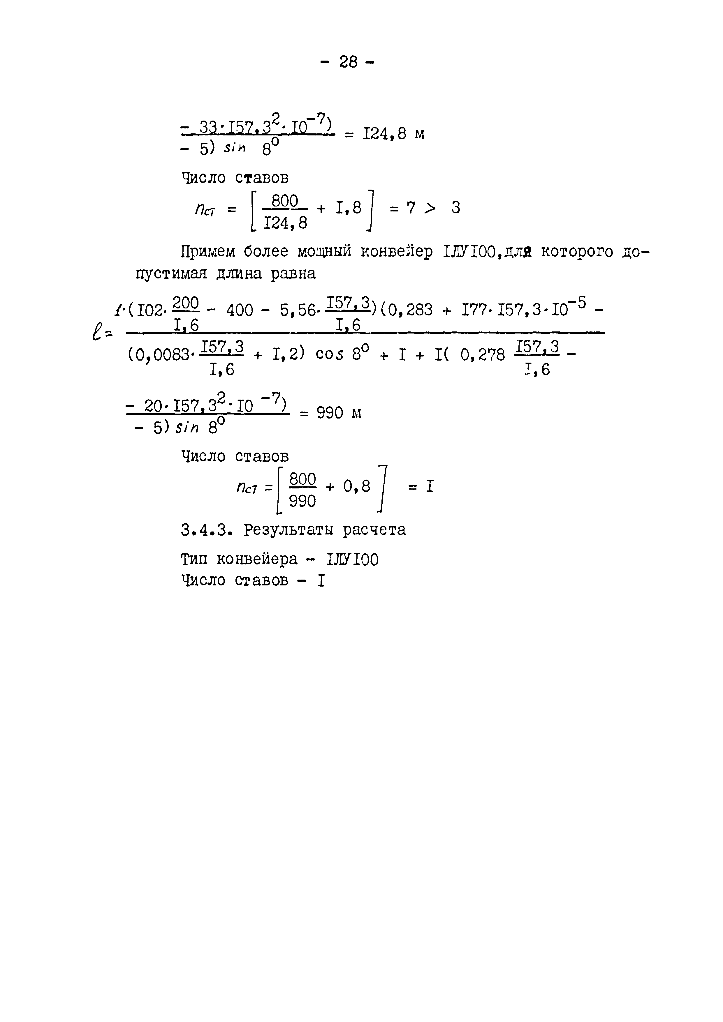
   3.4. Пример расчета конвейерного транспорта
4. Расчет локомотивного транспорта
   4.1. Основные методические положения
   4.2. Условные обозначения
   4.3. Расчет локомотивного транспорта
   4.4. Пример расчета локомотивного транспорта
5. Расчет одноконцевого подъема
   5.1. Основные методические положения
   5.2. Условные обозначения
   5.3. Расчет одноконцевого подъема
   5.4. Примеры расчета одноконцевого подъема
6. Литература
Разработан: Центрогипрошахт
Утверждён: Министерство угольной промышленности СССР (USSR Ministry of the Coal Industry )