Скачать Нормы бесплатной выдачи средств индивидуальной защиты для работников угольной промышленностиДата актуализации: 01.01.2021
Нормы бесплатной выдачи средств индивидуальной защиты для работников угольной промышленности| Статус: | справочные материалы, мп, тпр | | Название рус.: | Нормы бесплатной выдачи средств индивидуальной защиты для работников угольной промышленности | | Дата добавления в базу: | 01.02.2020 | | Дата актуализации: | 01.01.2021 | | Область применения: | В документе приведены типовые отраслевые (угольной промышленности) нормы бесплатной выдачи спецодежды, спецобуви и необходимые извлечения из типовых норм других отраслей для работающих в шахтах, карьерах, на шахтной поверхности и обогатительных фабриках | | Оглавление: | Инструкция о порядке обеспечения рабочих и служащих специальной одеждой, специальной обувью и другими средствами индивидуальной защиты Система стандартов безопасности труда. Средства индивидуальной защиты. Порядок обеспечения. Правила хранения, эксплуатации и ухода. ОСТ 12.24.255-85 Временная инструкция о порядке испытаний, приемки, хранения и транспортировки спецодежды, спецобуви и защитных шахтерских касок Инструкция о порядке выдачи, хранения, пользования и учета санитарной одежды, санитарной обуви и санпринадлежностей на предприятиях системы Министерства торговли СССР Типовые отраслевые нормы бесплатной выдачи специальной одежды, специальной обуви и других средств индивидуальной защиты работникам действующих и строящихся шахт, разрезов и предприятий угольной и сланцевой промышленности Нормы бесплатной выдачи рабочим и служащим теплой специальной одежды и специальной обуви по климатическим поясам, единым для всех отраслей народного хозяйства (кроме климатических районов, предусмотренных особо в Типовых отраслевых нормах бесплатной выдачи специальной одежды, специальной обуви и других средств ндивидуальной защиты; рабочим и служащим морского транспорта; рабочим и служащим гражданской авиации; рабочим и служащим, осуществляющим наблюдения и работы по гидрометеорологическому режиму окружающей среды; постоянному и переменному составу учебных и спортивных организаций ДОСААФ СССР) Типовые отраслевые нормы бесплатной выдачи специальной одежды, специальной обуви и других средств индивидуальной защиты рабочим и служащим сквозных профессий и должностей всех отраслей народного хозяйства и отдельных производств Типовые отраслевые нормы бесплатной выдачи специальной одежды, специальной обуви и других средств индивидуальной защиты рабочим и служащим, занятым на геологических, топографо-геодезических, изыскательских, землеустроительных работах и в картографическом производстве Типовые отраслевые нормы бесплатной выдачи специальной одежды, специальной обуви и других средств индивидуальной защиты рабочим и служащим паросилового и энергетического хозяйства (кроме производства электрической энергии) Типовые отраслевые нормы бесплатной выдачи специальной одежды, специальной обуви и других средств индивидуальной защиты рабочим и служащим автомобильного транспорта и шоссейных дорог Типовые отраслевые нормы бесплатной выдачи специальной одежды, специальной обуви и других средств индивидуальной защиты рабочим и служащим железнодорожного транспорта (железнодорожный внутризаводской транспорт) Типовые отраслевые нормы бесплатной выдачи специальной одежды, специальной обуви я других средств индивидуальной защиты рабочим и служащим жилищно-коммунального хозяйства Типовые отраслевые нормы бесплатной выдачи специальной одежды, специальной обуви и других средств индивидуальной защиты работникам учреждений здравоохранения и социального обеспечения (Извлечение) Типовые отраслевые нормы бесплатной выдачи специальной одежды, специальной обуви и других средств индивидуальной защиты рабочим и служащим предприятий бытового обслуживания населения (Извлечение) Типовые отраслевые нормы бесплатной выдачи специальной одежды, специальной обуви и других средств индивидуальной защиты рабочим и служащим радиотехнического и электронного производства Типовые отраслевые нормы бесплатной выдачи специальной одежды, специальной обуви и других средств индивидуальной защиты рабочим и служащим предприятий, учреждений и организаций культуры Типовые отраслевые нормы бесплатной выдачи специальной одежды, специальной обуви и других средств индивидуальной защиты рабочим и служащим, занятым на работах с радиоактивными веществами и источниками ионизирующих излучений Типовые отраслевые нормы бесплатной выдачи специальной одежды, специальной обуви и других средств индивидуальной защиты рабочим и служащим, занятым на строительных, строительно-монтажных и ремонтно-строительных работах (Извлечение) Типовые отраслевые нормы бесплатной выдачи специальной одежды, специальной обуви и других средств индивидуальной защиты рабочим и служащим машиностроительных и металлообрабатывающих производств Типовые отраслевые нормы бесплатной выдачи специальной одежды, специальной обуви и других средств индивидуальной защиты работникам связи (Извлечение) Типовые отраслевые нормы бесплатной выдачи специальной одежды, специальной обуви и других средств индивидуальной защиты работникам сельского и водного хозяйства (Извлечение) Типовые отраслевые нормы бесплатной выдачи специальной одежды, специальной обуви и других средств индивидуальной защиты работникам государственной торговли (Извлечение) Типовые отраслевые нормы бесплатной выдачи специальной одежды, специальной обуви и других средств индивидуальной защиты рабочим и служащим предприятий пищевой, мясной и молочной промышленности (Извлечение) Нормы санитарной одежды, санитарной обуви и санпринадлежностей для работников предприятий системы Министерства торговли СССР (Извлечение) | | Утверждён: | 24.05.1983 Государственный комитет СССР по труду и социальным вопросам (100/П-9)
| | Издан: | Издательство Недра (1987 г. )
| | Нормативные ссылки: | |
                                                                                                                                                                                                                                                                       
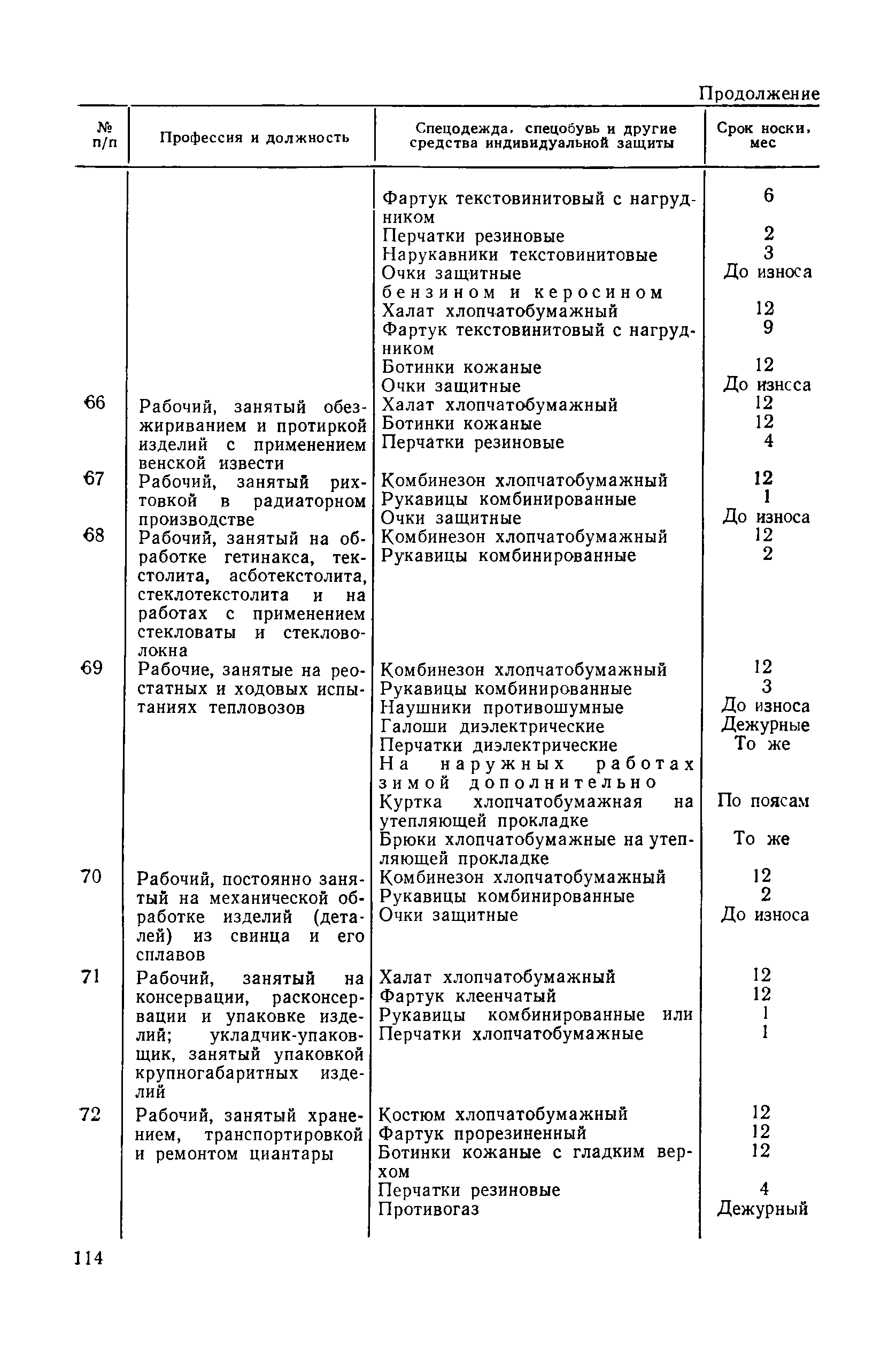
|