Скачать ГОСТ Р 8.945-2018 Государственная система обеспечения единства измерений. Стандартные справочные данные. Теплофизические характеристики пьезокерамик на основе ниобата лития в диапазоне температур от 300 К до 900 КДата актуализации: 01.01.2021
|
| Обозначение: | ГОСТ Р 8.945-2018 |
| Обозначение англ: | GOST R 8.945-2018 |
| Статус: | введен впервые |
| Название рус.: | Государственная система обеспечения единства измерений. Стандартные справочные данные. Теплофизические характеристики пьезокерамик на основе ниобата лития в диапазоне температур от 300 К до 900 К |
| Название англ.: | State system for ensuring the uniformity of measurements. Standard reference data. Thermophysical characteristics of piezoceramics based on lithium niobate in the temperature range from 300 K to 900 K |
| Дата добавления в базу: | 01.01.2019 |
| Дата актуализации: | 01.01.2021 |
| Дата введения: | 01.02.2019 |
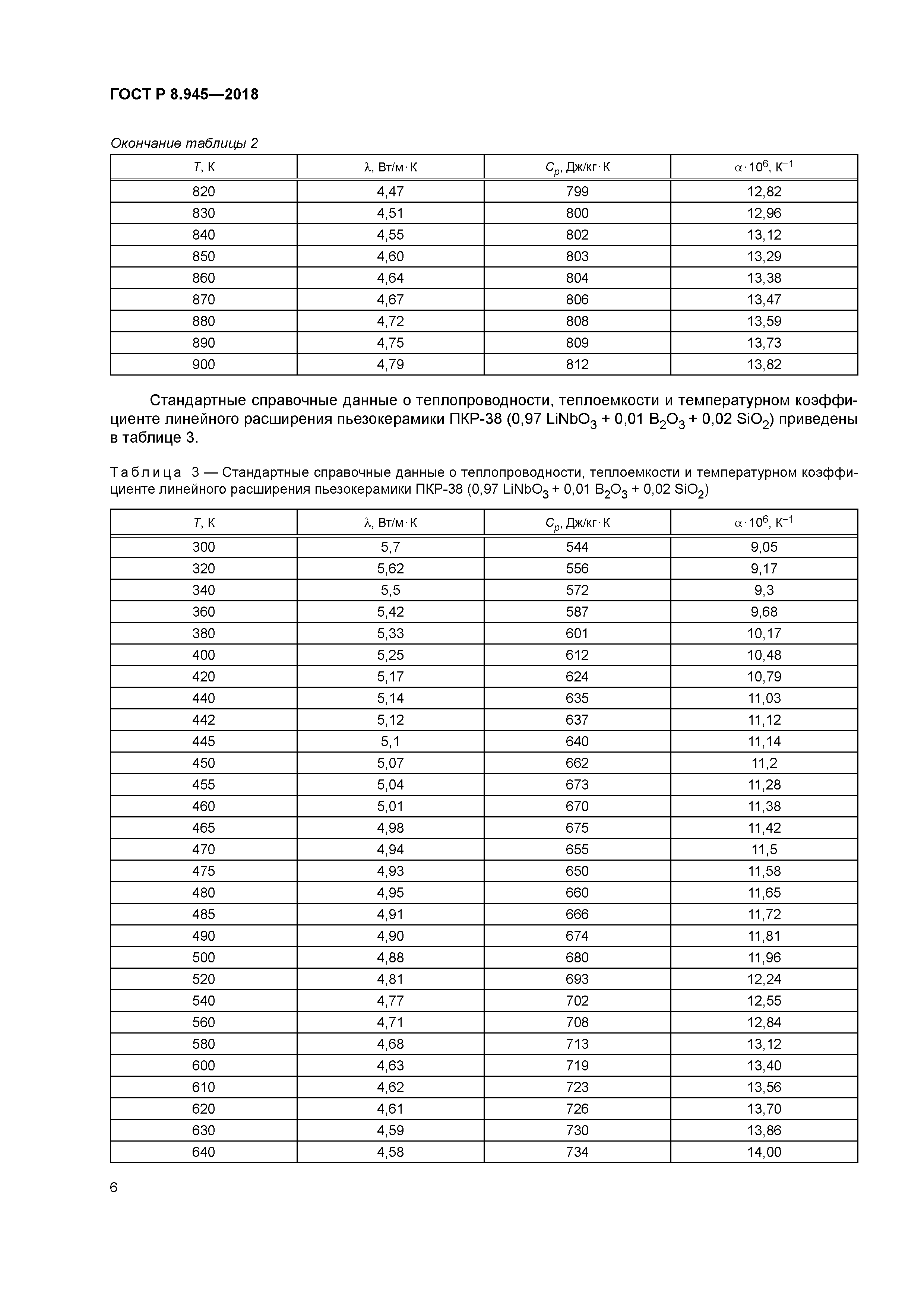
| Область применения: | Стандарт распространяется на стандартные справочные данные о теплопроводности, теплоемкости и температурном коэффициенте линейного расширения пьезокерамик на основе твердых растворов ниобата лития в диапазоне температур от 300 К до 900 К. Стандарт предназначен для использования ССД о теплопроводности, теплоемкости и температурном коэффициенте линейного расширения пьезокерамик на основе твердых растворов ниобата лития в диапазоне температур от 300 К до 900 К при разработке новых пьезокерамик с заданными свойствами, а также при создании различных приборов и устройств для ультразвуковых преобразователей. |
| Оглавление: | 1 Область применения 2 Нормативные ссылки 3 Общие положения 4 Стандартные справочные данные о теплопроводности, теплоемкости и температурном коэффициенте линейного расширения пьезокерамики Приложение А (справочное) Краткое описание методов экспериментального определения теплофизических свойств сегнетокерамических материалов Библиография |
| Разработан: | ГНМЦ ССД ФГБУН Институт физики им. Х.И. Амирханова Дагестанского научного центра РАН (ИФ ДНЦ РАН) |
| Утверждён: | 14.08.2018 Федеральное агентство по техническому регулированию и метрологии (499-ст) |
| Издан: | Стандартинформ (2018 г. ) |
| Нормативные ссылки: |















