Скачать Письмо 40178-ЛС/09 О рекомендуемой величине прогнозных индексов изменения сметной стоимости строительства в III квартале 2018 года, в том числе величине прогнозных индексов изменения сметной стоимости строительно-монтажных работ, прогнозных индексов изменения сметной стоимости пусконаладочных работ, прогнозных индексов изменения сметной стоимости прочих работ и затрат, а также величине прогнозных индексов изменения сметной стоимости оборудованияДата актуализации: 01.01.2021
|
| Обозначение: | Письмо 40178-ЛС/09 |
| Обозначение англ: | Notice 40178-ЛС/09 |
| Статус: | информационный документ |
| Название рус.: | О рекомендуемой величине прогнозных индексов изменения сметной стоимости строительства в III квартале 2018 года, в том числе величине прогнозных индексов изменения сметной стоимости строительно-монтажных работ, прогнозных индексов изменения сметной стоимости пусконаладочных работ, прогнозных индексов изменения сметной стоимости прочих работ и затрат, а также величине прогнозных индексов изменения сметной стоимости оборудования |
| Дата добавления в базу: | 01.01.2019 |
| Дата актуализации: | 01.01.2021 |
| Дата введения: | 01.10.2018 |
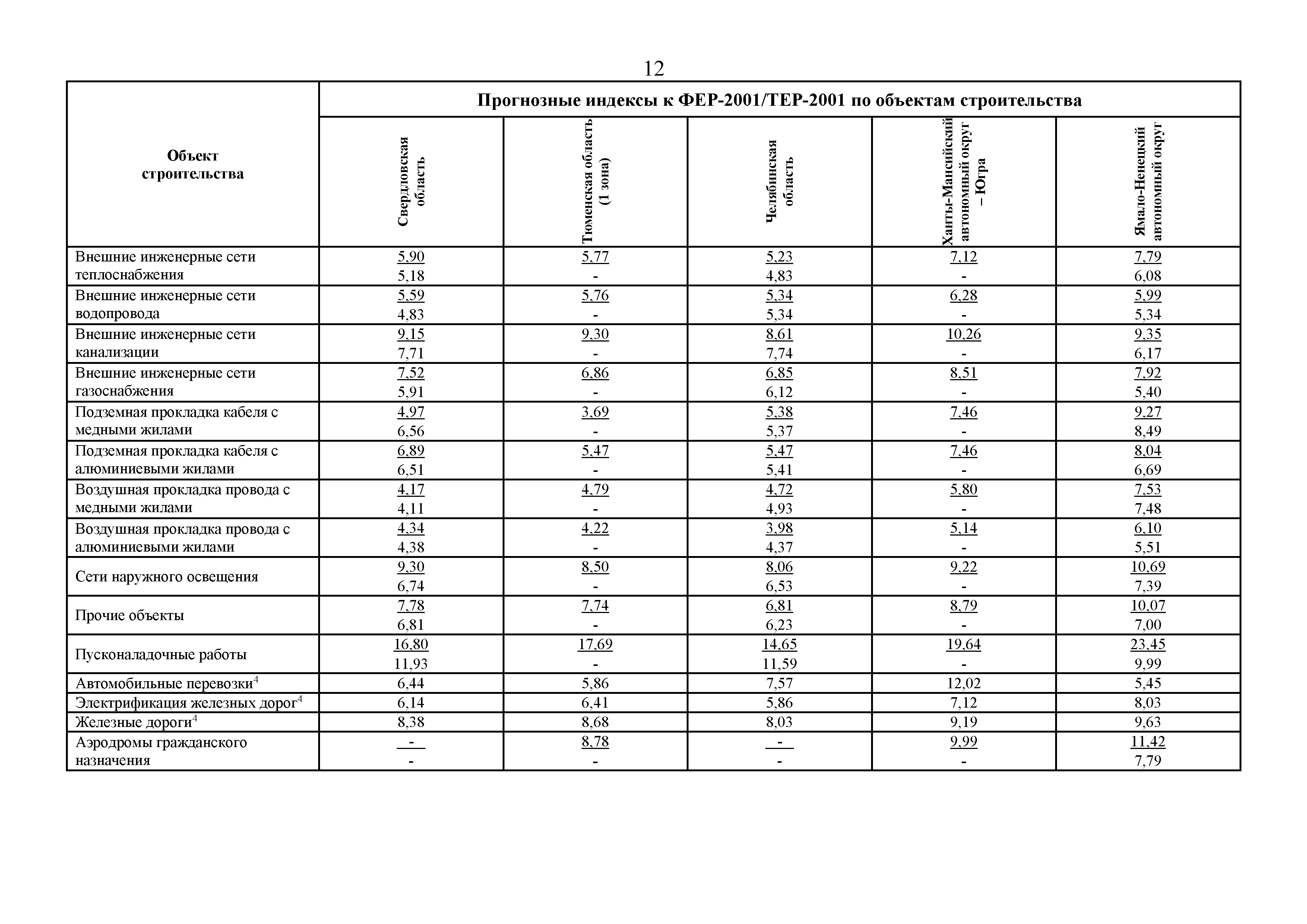
| Оглавление: | Приложение 1. Прогнозные индексы изменения сметной стоимости строительно-монтажных и пусконаладочных работ по объектам строительства, определяемых с применением федеральных и территориальных единичных расценок, на III квартал 2018 года Приложение 2. Прогнозные индексы изменения сметной стоимости строительно-монтажных работ, определяемых с применением отраслевой сметно-нормативной базы на III квартал 2018 года Приложение 3. Прогнозные индексы изменения сметной стоимости прочих работ и затрат к уровню цен по состоянию на 01.01.2000 на III квартал 2018 года Приложение 4. Прогнозные индексы изменения сметной стоимости оборудования на III квартал 2018 года |
| Утверждён: | 01.10.2018 Министерство строительства и жилищно-коммунального хозяйства Российской Федерации (40178-ЛС/09) |
| Нормативные ссылки: |
|
























