Скачать Приказ 236н Об утверждении профессионального стандарта Специалист по управлению многоквартирным домомДата актуализации: 01.01.2021
|
| Обозначение: | Приказ 236н |
| Обозначение англ: | Directive 236н |
| Статус: | утратил силу |
| Название рус.: | Об утверждении профессионального стандарта "Специалист по управлению многоквартирным домом" |
| Дата добавления в базу: | 01.01.2019 |
| Дата актуализации: | 01.01.2021 |
| Дата введения: | 19.09.2014 |
| Дата окончания срока действия: | 08.09.2019 |
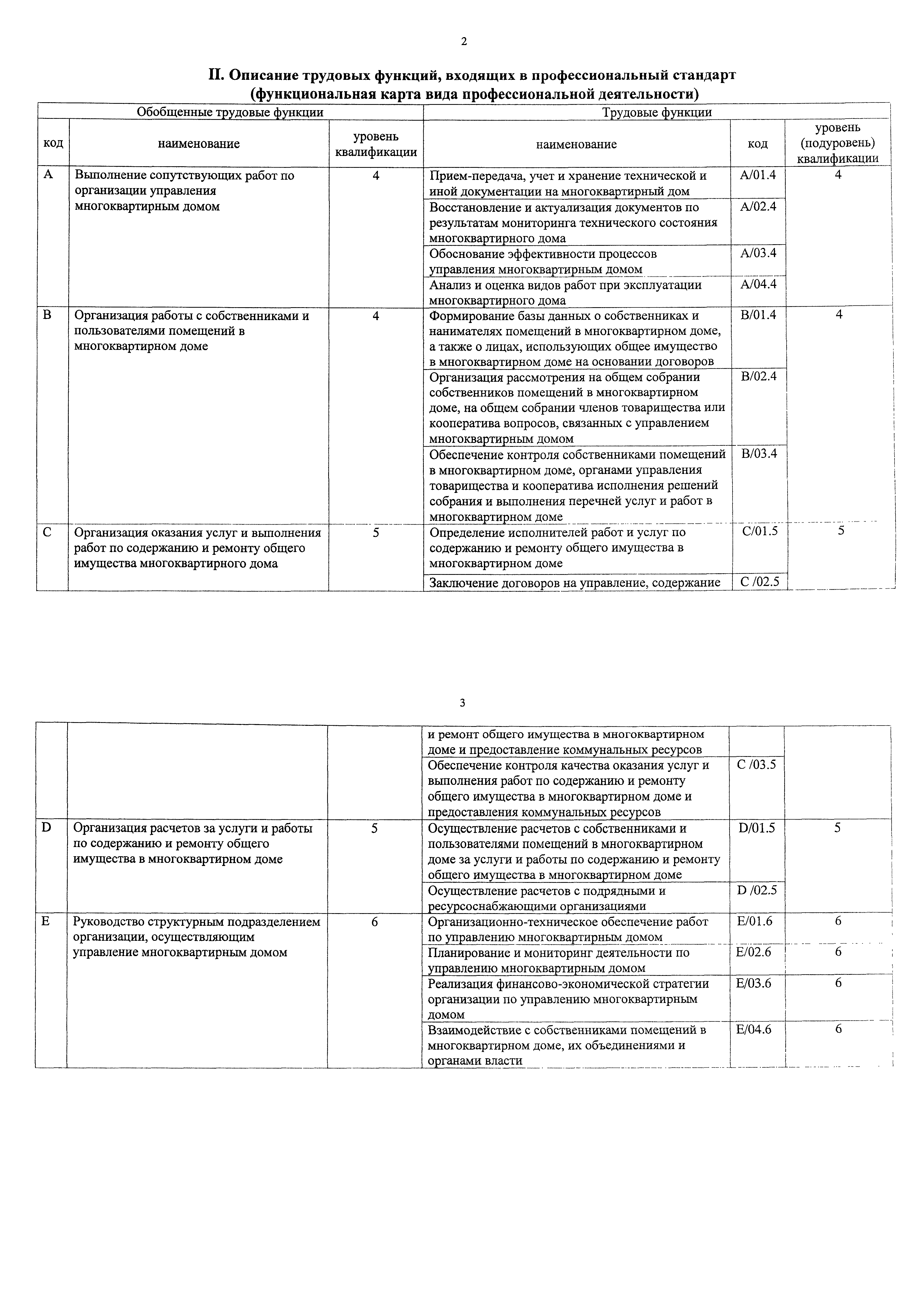
| Оглавление: | Профессиональный стандарт. Специалист по управлению многоквартирным домом I. Общие сведения II. Описание трудовых функций, входящих в профессиональный стандарт (функциональная карта вида трудовой деятельности) III. Характеристика обобщенных трудовых функций 3.1. Обобщенная трудовая функция. Выполнение сопутствующих работ по организации управления многоквартирным домом 3.2. Обобщенная трудовая функция. Организация работы с собственниками и пользователями помещений в многоквартирном доме 3.3. Обобщенная трудовая функция. Организация оказания услуг и выполнения работ по содержанию и ремонту общего имущества многоквартирного дома 3.4. Обобщенная трудовая функция. Организация расчетов за услуги и работы по содержанию и ремонту общего имущества в многоквартирном доме 3.5. Обобщенная трудовая функция. Руководство структурным подразделением организации, осуществляющим управление многоквартирным домом IV. Сведения об организациях - разработчиках профессионального стандарта 4.1. Ответственная организация-разработчик 4.2. Наименования организаций-разработчиков |
| Разработан: | ЗАО АКЦ ЖИЛКОМАУДИТ ЗАО Центр муниципальной экономики Некоммерческое партнерство Жилкоммунстройсертификация ФГБОУ ВПО Национальный исследовательский университет Высшая школа экономики (НИУ ВШЭ) Управляющая организация ОАО Атомспецкомсервис Управляющая организация ООО Жилище ФАОУ ДПО Государственная академия повышения квалификации специалистов в строительстве и ЖКХ |
| Утверждён: | 11.04.2014 Министерство труда и социальной защиты РФ (236н) |
| Издан: | Бюллетень нормативных актов федеральных органов исполнительной власти (от 08.09.2014 г. № 36) |
| Список изменений: |
|
| Нормативные ссылки: |
























Текстовое изменение № 1 от 28.01.2017

