Скачать ТССЦ 01-2001 Московская область Часть II. Строительные конструкции и изделияДата актуализации: 01.01.2021
|
| Обозначение: | ТССЦ 01-2001 Московская область |
| Обозначение англ: | 01-2001 Московская область |
| Статус: | действует |
| Название рус.: | Часть II. Строительные конструкции и изделия |
| Дата добавления в базу: | 01.01.2019 |
| Дата актуализации: | 01.01.2021 |
| Область применения: | Территориальные сметные цены на материалы, изделия и конструкции, применяемые в строительстве предназначены для определения сметной стоимости строительно-монтажных (ремонтно-строительных) работ, а также при разработке Территориальных единичных расценок на строительные, монтажные и ремонтно-строительные работы. |
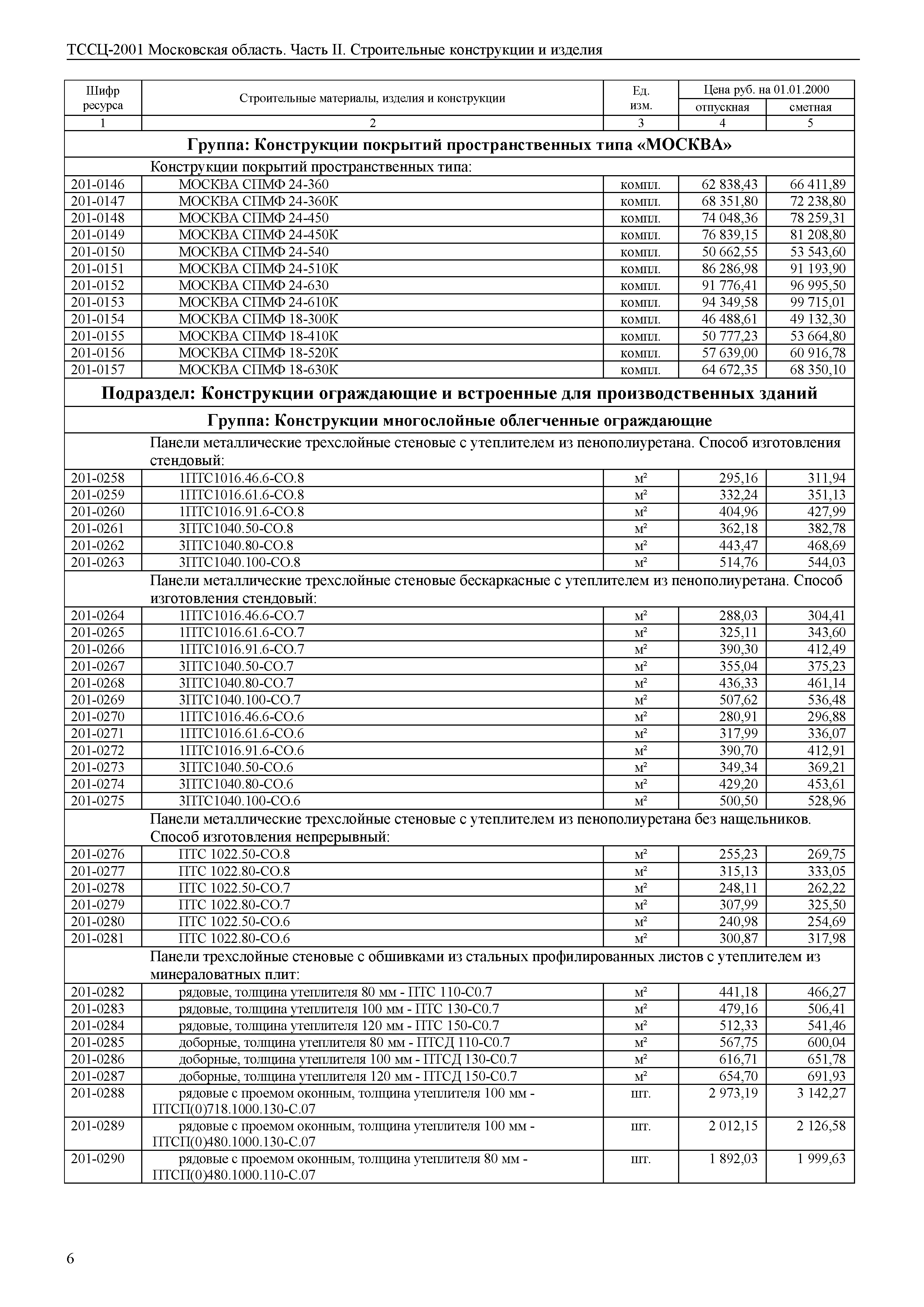
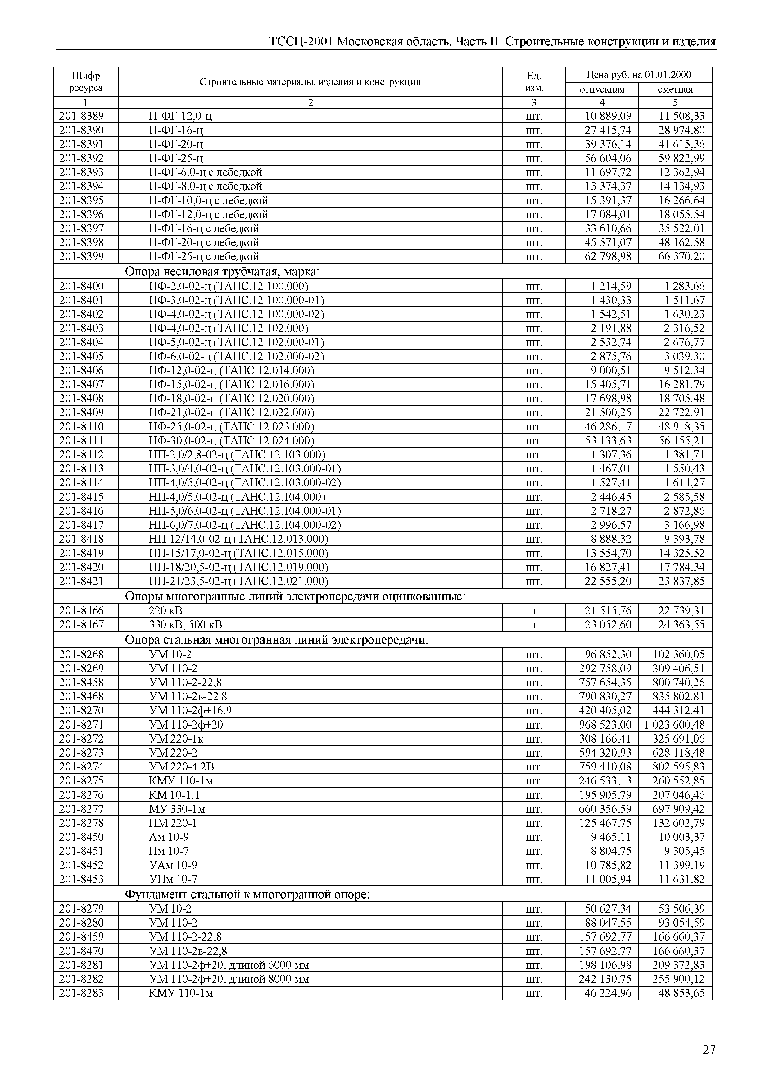
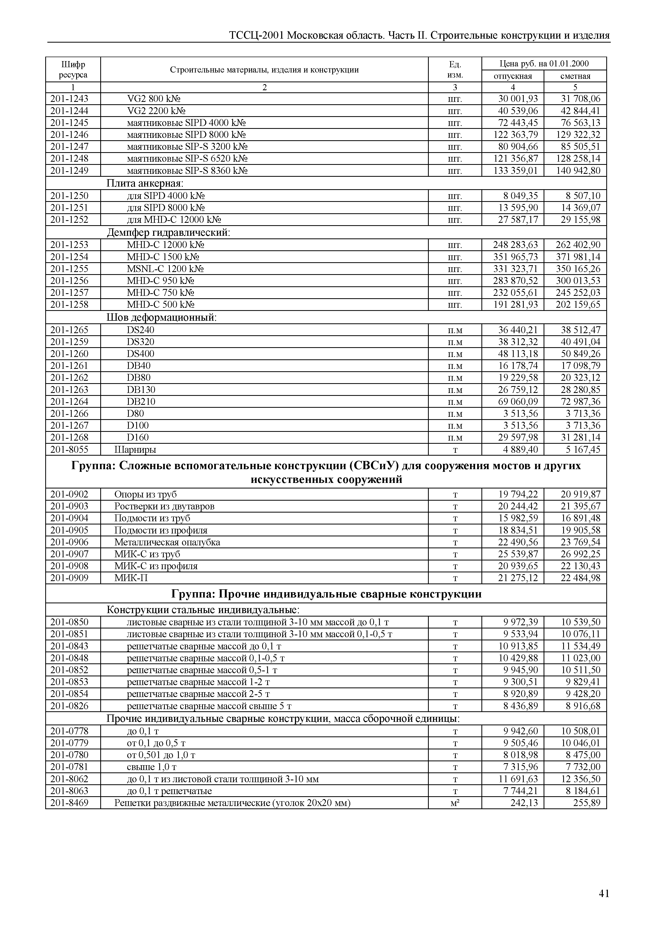
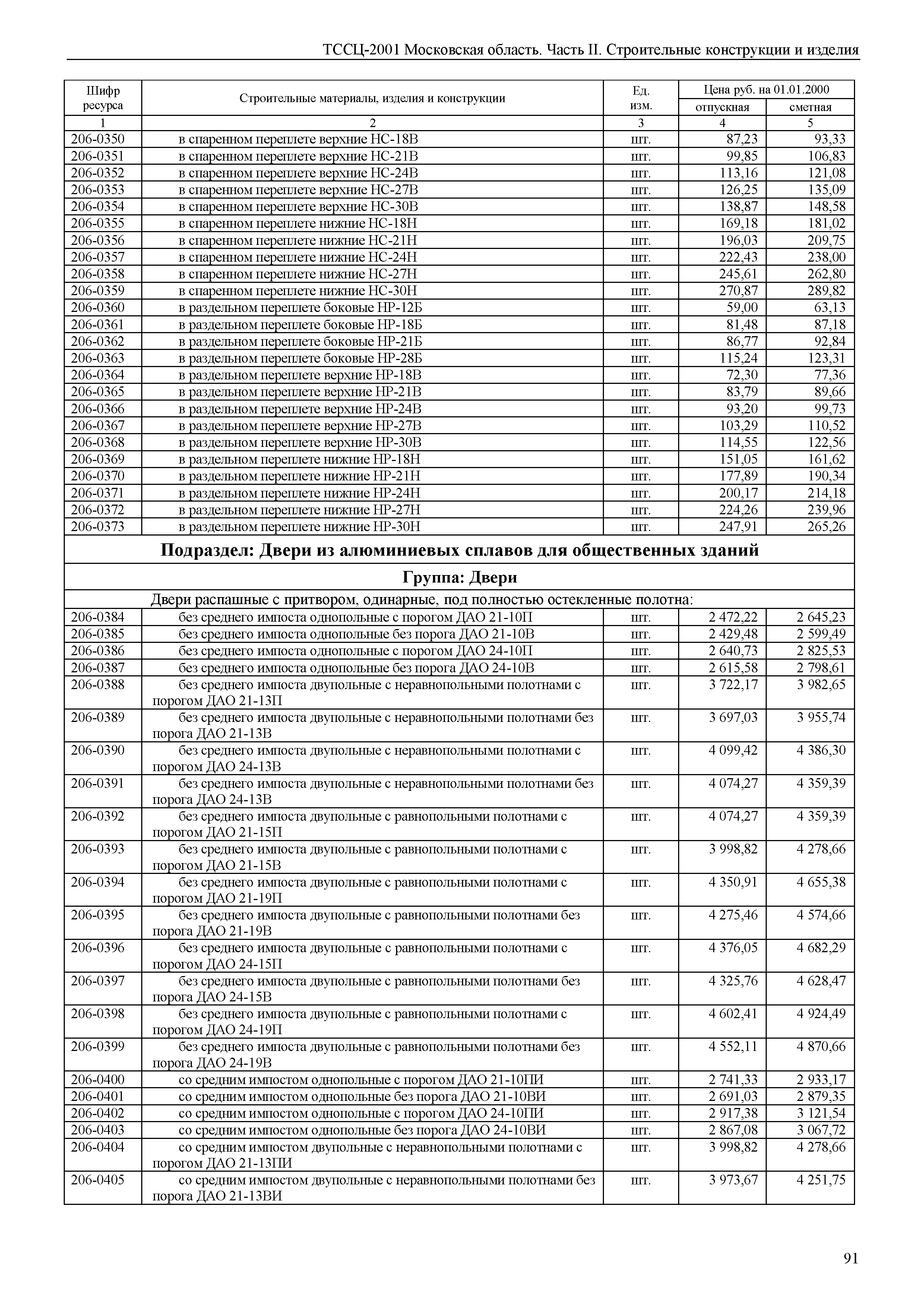
| Оглавление: | Часть II. Строительные конструкции и изделия Раздел 2.01. Стальные конструкции промышленных и сельскохозяйственных зданий, сооружений и мостов Подраздел: Конструкции легкие металлические Подраздел: Конструкции ограждающие и встроенные для производственных зданий Подраздел: Резервуарные, рулонированные и емкости Подраздел: Строительные стальные конструкции, изготавливаемые по индивидуальным проектам (чертежам КМ) для зданий одноэтажных производственных и многоэтажных производственного и непроизводственного назначения Подраздел: Конструкции разных сооружений Подраздел: Галереи и эстакады различного назначения Подраздел: Радио и телевизионные мачты, башни, антенные устройства Подраздел: Конструкции, заказываемые и поставляемые для комплектации объектов в виде отдельных сборочных единиц Подраздел: Элементы облицовки Раздел 2.02. Стальные конструкции гидротехнических сооружений Раздел 2.03. Деревянные конструкции и изделия. Блоки и сборочные элементы оконные, балконные и дверные Подраздел: Блоки оконные Подраздел: Блоки балконные дверные деревянные для жилых и общественных зданий Подраздел: Блоки дверные деревянные для жилых, общественных и производственных зданий Подраздел: Сборочные элементы оконных блоков Подраздел: Сборочные элементы дверных блоков Подраздел: Коробки оконные и дверные Подраздел: Детали профильные из древесных материалов для строительства Подраздел: Ворота деревянные распашные для производственных зданий и сооружений с полотнами из деревянных каркасов, с металлическими навесами и накладками, нижняя часть ворот защищена полосами из оцинкованной стали Подраздел: Конструкции деревянные клееные без металлических изделий Подраздел: Балки перекрытий деревянные, предназначенные для устройства чердачных, междуэтажных и цокольных перекрытий в одно-двухэтажных жилых и одноэтажных общественных зданиях Подраздел: Элементы и детали встроенных и антресольных шкафов каркасной конструкции для жилых зданий Подраздел: Разные изделия и конструкции Раздел 2.04. Арматура товарная для железобетонных конструкций Раздел 2.05. Литые конструкции промышленных печей и труб Раздел 2.06. Алюминиевые конструкции Подраздел: Окна и двери балконные из алюминиевых сплавов для общественных зданий Подраздел: Двери из алюминиевых сплавов для общественных зданий Подраздел: Витражи, витрины Подраздел: Тамбуры Подраздел: Панели Подраздел: Перегородки Подраздел: Потолки подвесные Подраздел: Ограждения балконов, лоджий, лестниц Подраздел: Конструкции декоративно-облицовочные Подраздел: Конструкции и изделия прочие Алфавитный указатель |
| Разработан: | Управление ценообразования в строительстве Государственного автономного учреждения Московской области Мособлгосэкспертиза |
| Утверждён: | 21.09.2015 Министерство строительства и жилищно-коммунального хозяйства Российской Федерации (675/пр) |
| Список изменений: |
|






































































































































































































































Текстовое изменение № ТССЦ 81-01-2001-И1











































































































































