Скачать ТССЦ 01-2001 Московская область Общие положения. ПриложенияДата актуализации: 01.01.2021
|
| Обозначение: | ТССЦ 01-2001 Московская область |
| Обозначение англ: | 01-2001 Московская область |
| Статус: | действует |
| Название рус.: | Общие положения. Приложения |
| Дата добавления в базу: | 01.01.2019 |
| Дата актуализации: | 01.01.2021 |
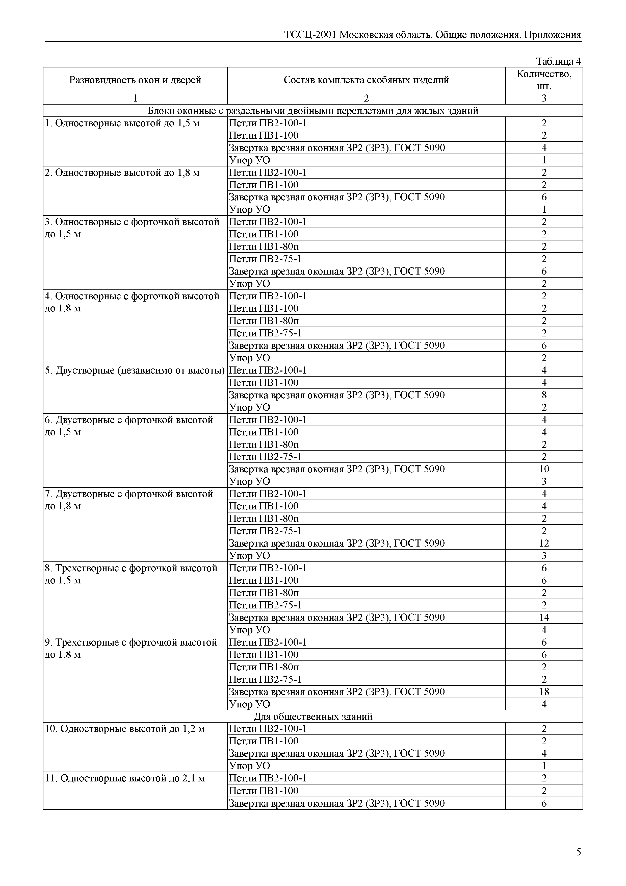
| Оглавление: | I. Общие положения III. Приложения Приложение 1.01 Приложение 1.02 Приложение 1.03 Приложение 1.05 Приложение 1.06 Приложение 1.07 Приложение 1.15 Приложение 2.01 Приложение 2.02 Приложение 2.03 Приложение 2.04 Приложение 2.05 Приложение 2.06 Приложение 3 Приложение 4 |
| Разработан: | Управление ценообразования в строительстве Государственного автономного учреждения Московской области Мособлгосэкспертиза |
| Утверждён: | 21.09.2015 Министерство строительства и жилищно-коммунального хозяйства Российской Федерации (675/пр) |




















