Скачать ТЕРм Пр-2001 Московская область ПриложенияДата актуализации: 01.01.2021
|
| Обозначение: | ТЕРм Пр-2001 Московская область |
| Обозначение англ: | TERm Пр-2001 Московская область |
| Статус: | действует |
| Название рус.: | Приложения |
| Дата добавления в базу: | 01.01.2019 |
| Дата актуализации: | 01.01.2021 |
| Область применения: | Территориальные единичные расценки на монтаж оборудования предназначены для определения затрат при выполнении монтажных работ и составления на их основе сметных расчетов (смет) на производство указанных работ |
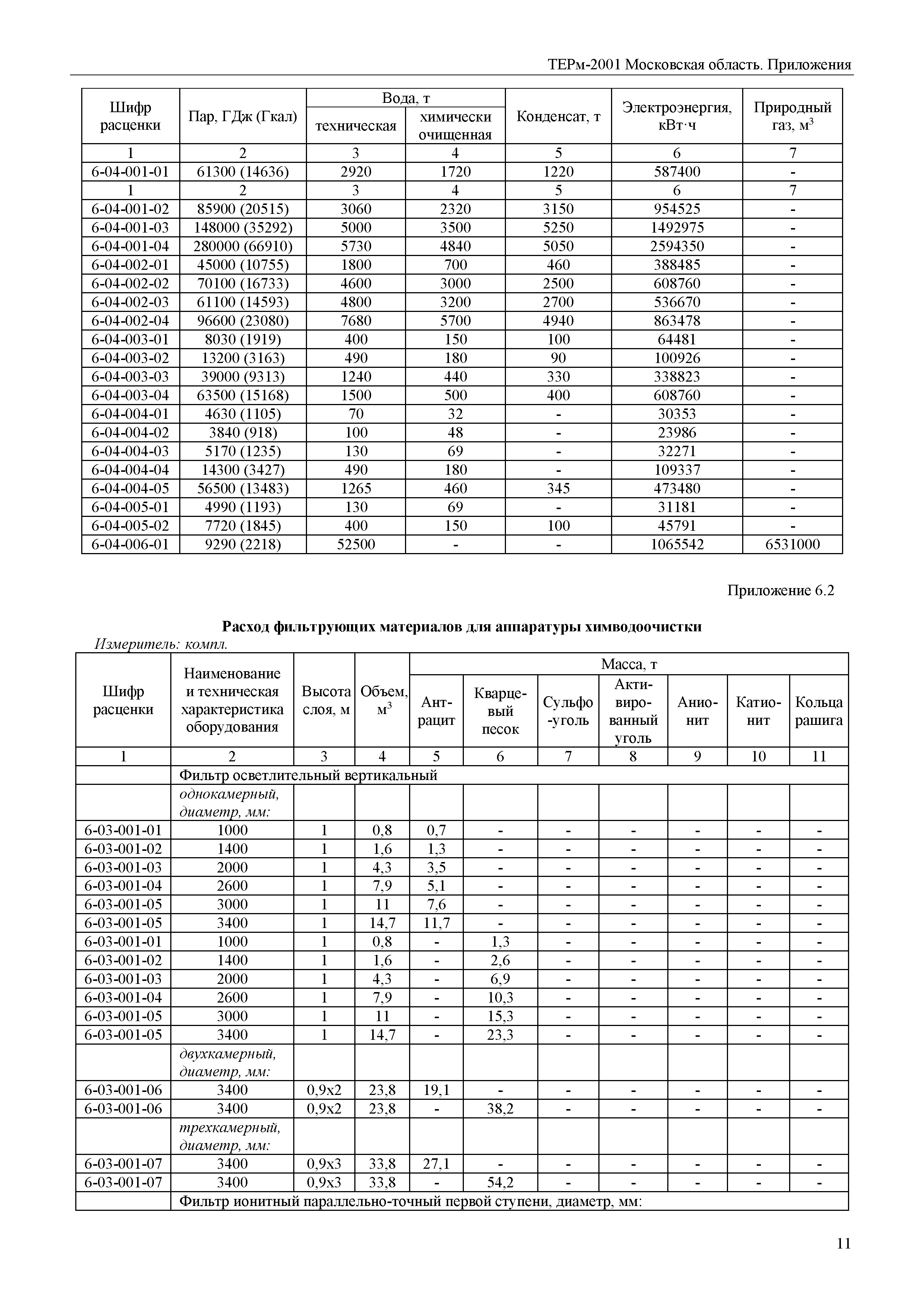
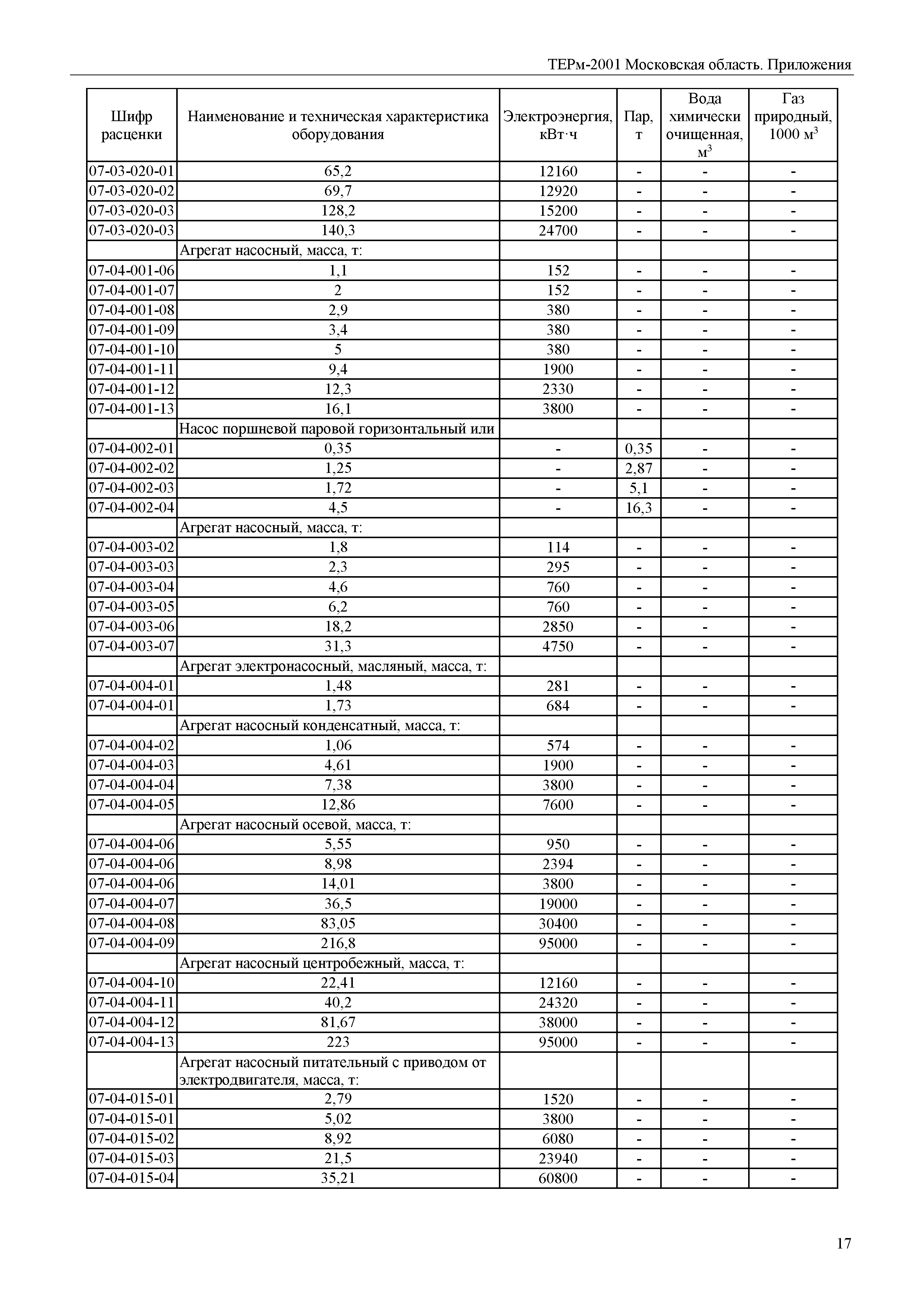
| Оглавление: | IV. Приложения Подъемно -транспортное оборудование Приложение 3.5 Перечень материальных ресурсов, не учтенных в расценках на монтаж оборудования Приложение 3.6 Расход материальных ресурсов, необходимых для индивидуального испытания оборудования Теплосиловое оборудование Приложение 6.1 Расход материальных ресурсов на сушку обмуровки, щелочение, испытание оборудования (в том числе на газовую и паровую плотность), химическую очистку, промывку и регенерацию Приложение 6.2 Расход фильтрующих материалов для аппаратуры химводоочистки Приложение 6.3 Расход материальных ресурсов для заполнения агрегатов паротурбинных и газотурбинных Компрессорные установки, насосы и вентиляторы Приложение 7.1 Перечень материальных ресурсов, не учтенных в расценках на монтаж оборудования Приложение 7.2 Расход материальных ресурсов, необходимых для индивидуального испытания оборудования Электротехнические установки Приложение 8.3 Нормы расхода электроэнергии на контрольный прогрев и подсушку электрооборудования Приложение 8.4 Нормы отхода материальных ресурсов, не учтенных в расценках Оборудование связи Приложение 10.1 Расстояния перемещения оборудования и материальных ресурсов, учтенные ТЕРм части 10 Приложение 10.2 Расход и стоимость электроэнергии для настройки станций телефонных автоматических квазиэлектронных ТЕРм отдела 2 раздела 4 Приложение 10.3 Коэффициент, применяемый при монтаже оборудования в кабинах на мачтах или башнях Приложение 10.4 Коэффициент, применяемый при производстве работ на смежных путях Приложение 10.5 Расход электроэнергии для настройки станций интегральных квазиэлектронных ТЕРм 10 отдела 2 раздела 5 Приложение 10.6 Перечень материальных ресурсов, не учтенных в части 10 ТЕРм Приложение 10.7 Условные (сокращенные) обозначения наименований оборудования и видов работ Приложение 10.8 Показатели часовой оплаты труда специалистов Приборы, средства автоматизации и вычислительной техники Приложение 11.1 Ввод систем автоматизации Приложение 11.2 Перечень материальных ресурсов, не учтенных в ТЕРм, расход которых зависит от проектных решений Технологические трубопроводы Приложение 12.1 Высотные коэффициенты Приложение 12.2 Коэффициенты к расценкам части 12, учитывающие условия производства работ Приложение 12.3 Нормы расхода кислоты для протравки труб и трубных деталей Приложение 12.4 Перечень материальных ресурсов, не учтенных в расценках на монтаж оборудования Приложение 12.5 Нормы отходов труб Оборудование общего назначения Приложение 37.1 Поправочные коэффициенты при монтаже оборудования на отметке свыше 1 м Контроль монтажных сварных соединений Приложение 39.1 Коэффициенты к расценкам, учитывающие условия применения ТЕРм части 39 Приложение 40 Показатели часовой оплаты труда рабочих-монтажников в зависимости от среднего разряда работ Приложение 41 Сметные расценки на эксплуатацию строительных машин и механизмов в базисных ценах по состоянию на 01.01.2000 года Приложение 42 Сметные цены на материалы, изделия и конструкции в базисных ценах на 01.01 2000г Приложение 43 Таблицы замены ресурсов ТЕРм |
| Разработан: | Управление ценообразования в строительстве Государственного автономного учреждения Московской области Мособлгосэкспертиза |
| Утверждён: | 21.09.2015 Министерство строительства и жилищно-коммунального хозяйства Российской Федерации (675/пр) |

































































