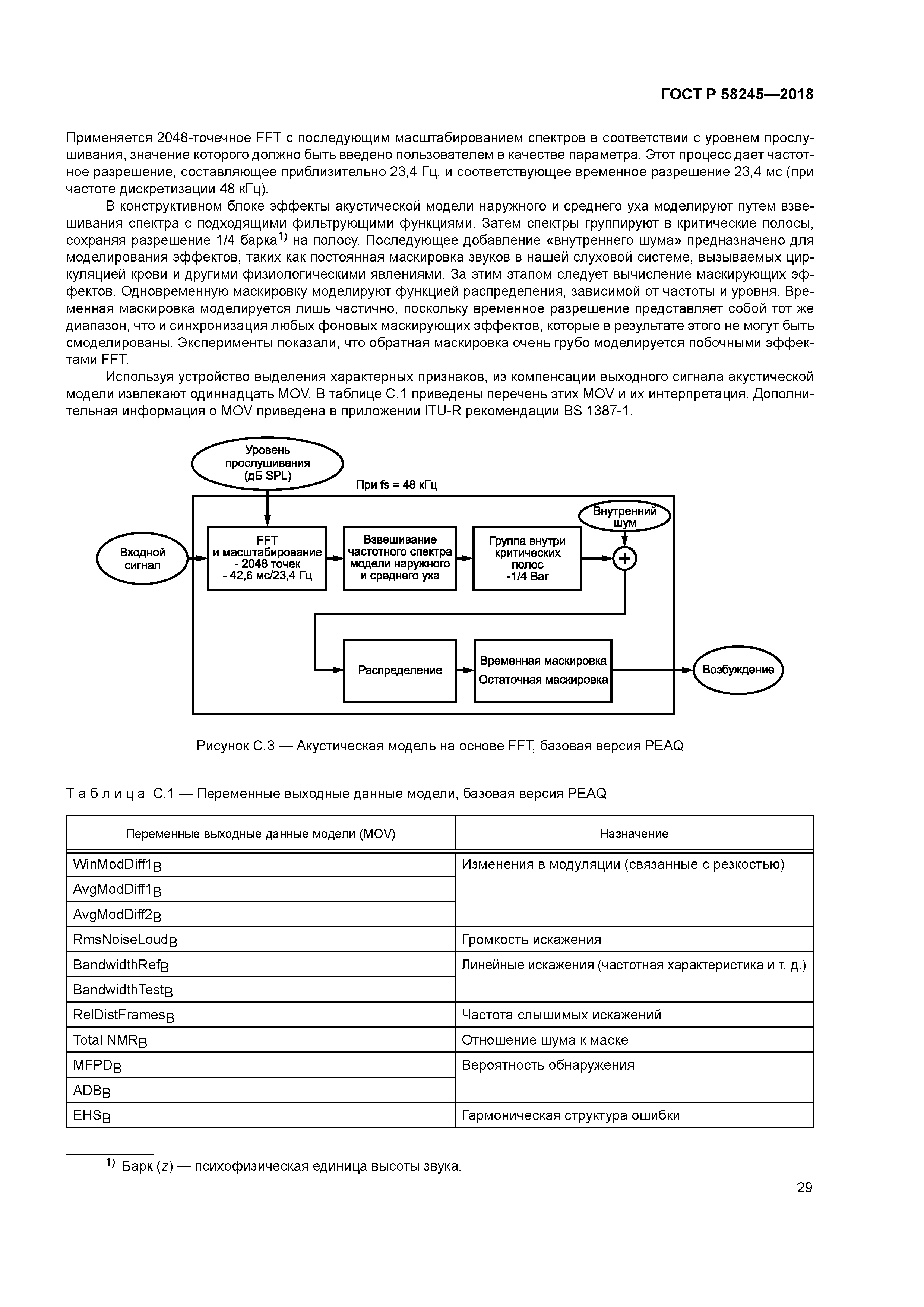
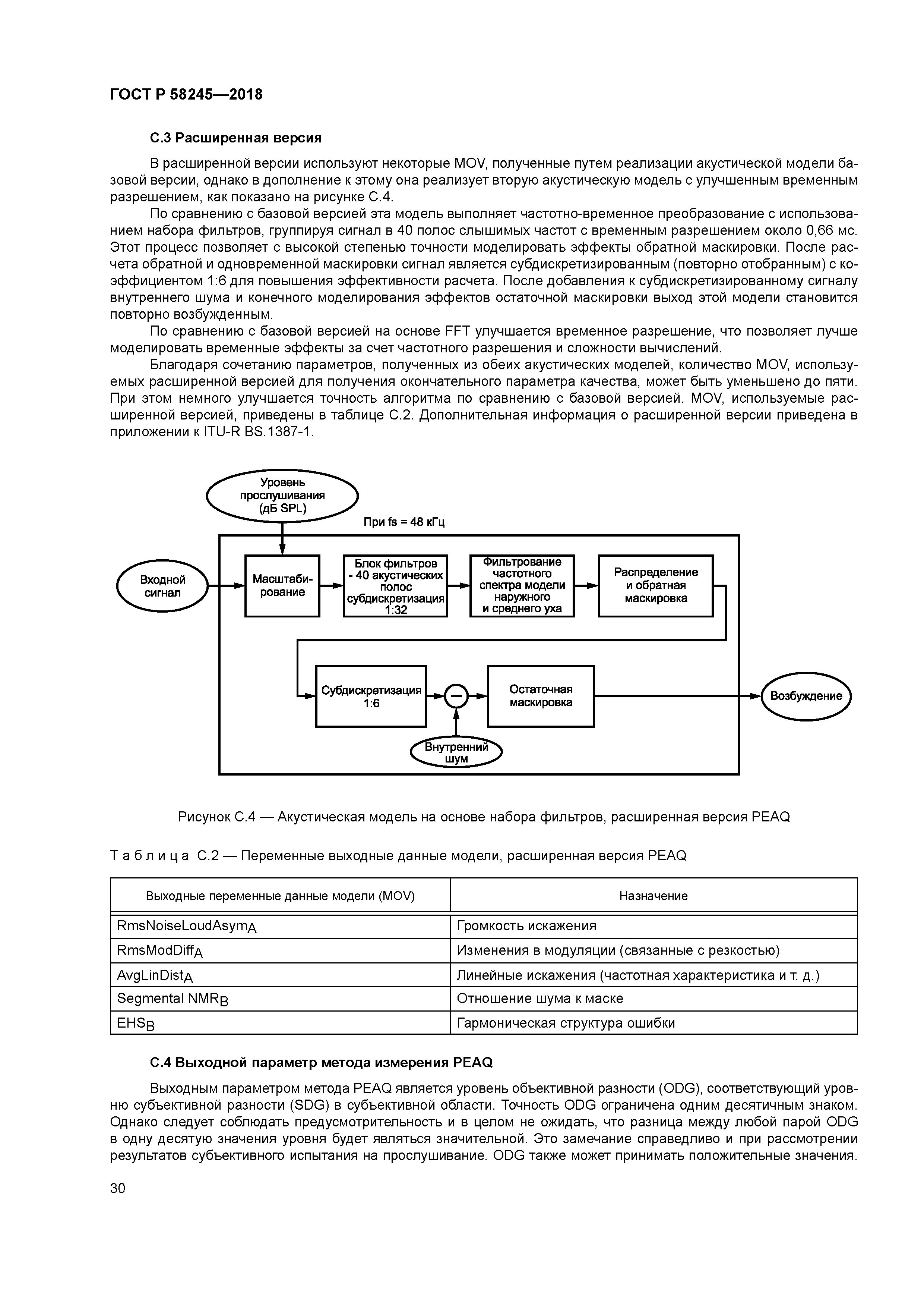
Скачать ГОСТ Р 58245-2018 Системы и оборудование мультимедиа. Оценка качества. Системы аудио-, видеосвязиДата актуализации: 01.01.2021
|
| Обозначение: | ГОСТ Р 58245-2018 |
| Обозначение англ: | GOST R 58245-2018 |
| Статус: | введен впервые |
| Название рус.: | Системы и оборудование мультимедиа. Оценка качества. Системы аудио-, видеосвязи |
| Название англ.: | Multimedia systems and equipment. Quality assessment. Audio-video communication systems |
| Дата добавления в базу: | 01.02.2020 |
| Дата актуализации: | 01.01.2021 |
| Дата введения: | 01.04.2019 |
| Область применения: | Стандарт устанавливает параметры, которые должны быть измерены объективными методами, а также методы и условия измерений, процедуры обработки измеренных данных и представления полученной информации для объективной сквозной (здесь и далее по тексту термин «сквозной» обозначает «от начала и до конца») оценки качества систем аудио-, видеосвязи, осуществляемой посредством цифровых сетей. Измерения следует проводить при двухстороннем и полном эталонном сигнале. Предполагается, что системы обеспечены каналами электрических интерфейсов на входе и выходе аудио-, видеосигналов для объективной оценки. Дополнительные требования для систем, не обеспеченных такими каналами, оставлены для дальнейшего изучения. |
| Оглавление: | 1 Область применения 2 Нормативные ссылки 3 Термины и определения 4 Конфигурация для оценки качества 4.1 Входные и выходные каналы 4.2 Точки входных и выходных оконечных устройств 5 Качество видеосигнала 5.1 Введение 5.2 Сквозное воспроизведение тонов 5.3 Сквозное воспроизведение цвета 5.4 Сквозные цветовые разности 5.5 Сквозное отношение максимального сигнала к шуму (PSNR) 5.6 Сквозная объективная оценка качества видеосигнала 6 Качество аудиосигнала 6.1 Воспринимаемое качество аудиосигнала по отношению к полным эталонным сигналам 6.2 Частота дискретизации и разрешение квантования 6.3 Задержка 7 Качество видео- и аудиосигналов в целом 7.1 Синхронизация аудио- и видеосигнала (синхронизация изображения и речевых сигналов) 7.2 Масштабируемость 7.3 Общее качество испытуемых сигналов Приложение А (справочное) PSNR, определенные в трехмерных пространствах, применяемые к гипотетическому ухудшению испытуемых сигналов по отношению к исходным эталонным видеосигналам Приложение В (справочное) Сквозная объективная оценка качества видеосигнала в пространственно-частотной области Приложение С (справочное) Описание метода объективного измерения PEAQ Приложение ДА (справочное) Сведения о соответствии ссылочных международных стандартов национальным стандартам Библиография |
| Разработан: | АНО НТЦ СЭ ИСЭП |
| Утверждён: | 17.10.2018 Федеральное агентство по техническому регулированию и метрологии (801-ст) |
| Издан: | Стандартинформ (2018 г. ) |






































