Скачать Р 061-2017 Методические рекомендации. Применение современных видов модуляции и организация обмена информацией в радикальных системах передачи извещенийДата актуализации: 01.01.2021
|
| Обозначение: | Р 061-2017 |
| Обозначение англ: | R 061-2017 |
| Статус: | действует |
| Название рус.: | Методические рекомендации. Применение современных видов модуляции и организация обмена информацией в радикальных системах передачи извещений |
| Дата добавления в базу: | 01.02.2020 |
| Дата актуализации: | 01.01.2021 |
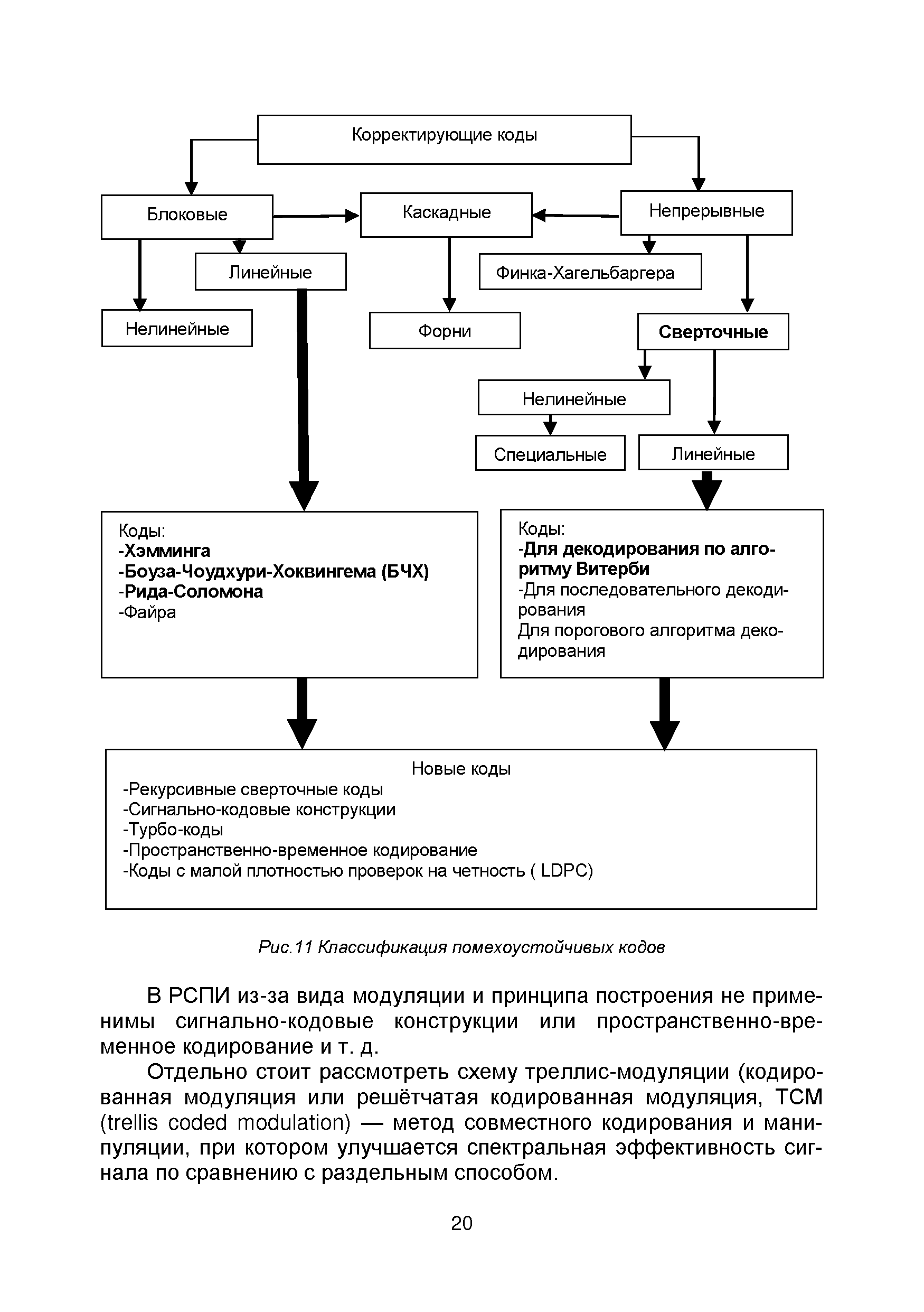
| Область применения: | Методические рекомендации предназначены для оказания методической помощи в практической деятельности инженерно-техническому персоналу подразделений вневедомственной охраны Федеральной службы войск национальной гвардии Российской Федерации. Рекомендации предназначены для инженерно-технического персонала ПЦО, обслуживающего объектовое, ретрансляционное и пультовое оборудование РСПИ, а также специалистов предприятий — изготовителей РСПИ. В данных рекомендациях дан обзор алгоритмов обмена информацией и методов модуляции в радиоканальных системах передачи извещений, применяемых подразделениями вневедомственной охраны Росгвардии, представлен анализ и сравнительные характеристики современных перспективных видов модуляции. |
| Оглавление: | 1 Термины и сокращения 2 Введение 3 Алгоритмы и методы модуляции, применяемые в РСПИ 4 Многопозиционные и комбинированные методы модуляции 5 Современные методы организации радиосвязи 6 Сравнительный анализ различных методов модуляции 7 Обзор и анализ элементной базы для реализации современных методов модуляции в РСПИ на отечественном и зарубежном рынке 8 Заключение. Критерии оценки и выбор оптимального метода модуляции 9 Список использованной литературы |
| Разработан: | ФКУ НИЦ Охрана Росгвардии |
| Утверждён: | 26.05.2017 ГУВО Росгвардии |
| Издан: | ФКУ НИЦ Охрана Росгвардии (2017 г. ) |
















































