Скачать ГОСТ Р 54411-2018 Информационные технологии. Биометрия. Мультимодальные и другие мультибиометрические технологииДата актуализации: 01.01.2021
|
| Обозначение: | ГОСТ Р 54411-2018 |
| Обозначение англ: | GOST R 54411-2018 |
| Статус: | взамен |
| Название рус.: | Информационные технологии. Биометрия. Мультимодальные и другие мультибиометрические технологии |
| Название англ.: | Information technology. Biometrics. Multimodal and other multibiometric fusion |
| Дата добавления в базу: | 01.02.2020 |
| Дата актуализации: | 01.01.2021 |
| Дата введения: | 01.08.2019 |
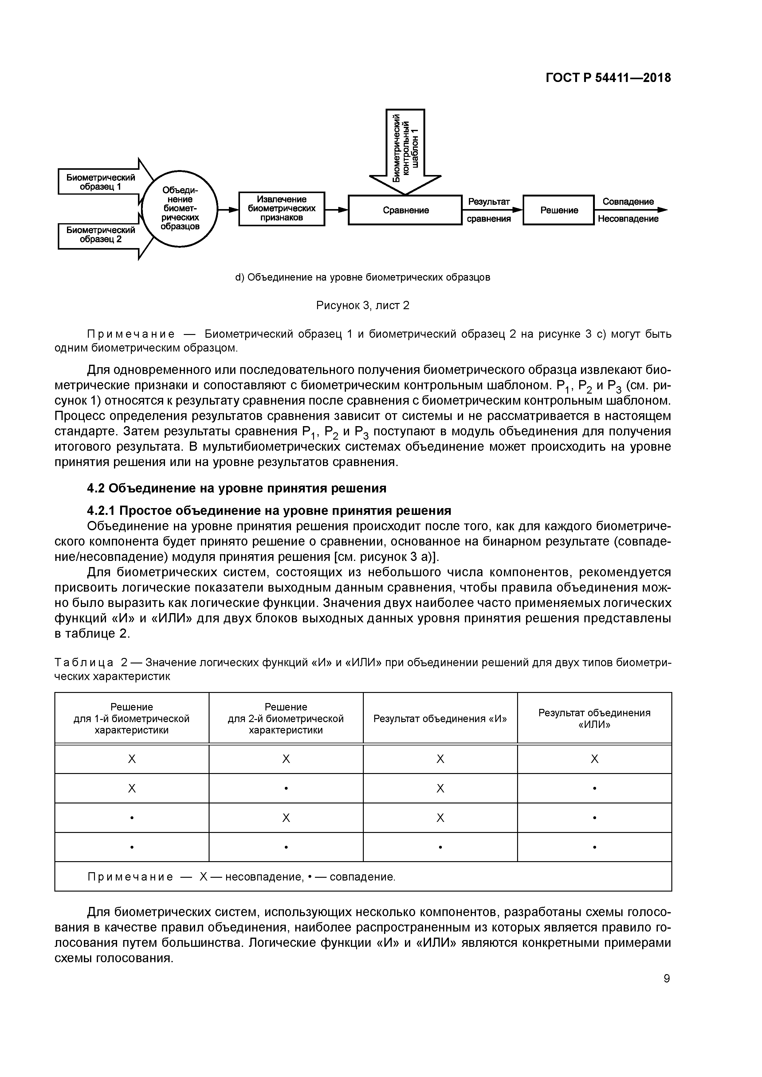
| Область применения: | Стандарт распространяется на современные разработки в области мультимодальных и других мультибиометрических технологий. Стандарт устанавливает требования к описанию общих понятий методов мультибиометрических объединений, включая мультихарактеристиковое, мультиэкземплярное, мультидатчиковое, мультиалгоритмическое объединения, мультипредъявление, логику на уровне принятия решения и логику на уровне результатов сравнения. |
| Оглавление: | 1 Область применения 2 Термины и определения 3 Обзор мультимодальных и других мультибиометрических систем. 3.1 Общие положения 3.2 Одновременное и последовательное предъявления 3.3 Взаимосвязь данных 4 Уровни комбинации 4.1 Общие положения 4.2 Объединение на уровне принятия решения 4.3 Объединение на уровне результатов сравнения 4.4 Объединение на уровне биометрических признаков 5 Данные характеризации для мультибиометрических систем 5.1 Общие положения 5.2 Применение данных характеризации при нормализации и объединении Библиография |
| Разработан: | ФГУП ВНИИНМАШ НП Русское биометрическое общество |
| Утверждён: | 30.11.2018 Федеральное агентство по техническому регулированию и метрологии (1045-ст) |
| Издан: | Стандартинформ (2018 г. ) |
| Заменяет собой: | |
| Нормативные ссылки: |


























